Номер 1, страница 90, часть 1 - гдз по математике 3 класс учебник Муравьева, Урбан

Математика, 3 класс Учебник, авторы: Муравьева Галина Леонидовна, Урбан Мария Анатольевна, издательство Национальный институт образования, Минск, 2021, оранжевого цвета, часть 1

Авторы: Муравьева Г. Л., Урбан М. А.

Тип: Учебник

Издательство: Национальный институт образования

Год издания: 2021 - 2026

Часть: 1

Цвет обложки: оранжевый, жёлтый с учениками

ISBN: 978-985-594-794-4 (общ.), 978-985-594-795-1 (ч. 1), 978-985-594-796-8 (ч. 2)

Допущено Министерством образования Республики Беларусь

Часть 1. Умножение и деление. Урок 45 - номер 1, страница 90.

№1 (с. 90)
Условие. №1 (с. 90)
скриншот условия
Математика, 3 класс Учебник, авторы: Муравьева Галина Леонидовна, Урбан Мария Анатольевна, издательство Национальный институт образования, Минск, 2021, оранжевого цвета, Часть 1, страница 90, номер 1, Условие

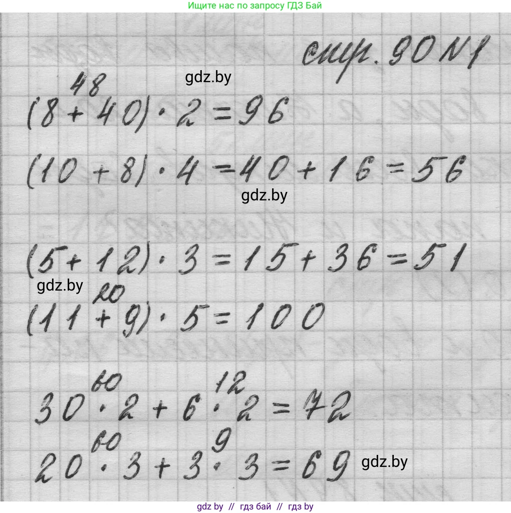
1. Вычисли.

$(8 + 40) \cdot 2$

$(10 + 8) \cdot 4$

$(5 + 12) \cdot 3$

$(11 + 9) \cdot 5$

$30 \cdot 2 + 6 \cdot 2$

$20 \cdot 3 + 3 \cdot 3$

Решение 1. №1 (с. 90)
Математика, 3 класс Учебник, авторы: Муравьева Галина Леонидовна, Урбан Мария Анатольевна, издательство Национальный институт образования, Минск, 2021, оранжевого цвета, Часть 1, страница 90, номер 1, Решение 1
Решение 2. №1 (с. 90)
Математика, 3 класс Учебник, авторы: Муравьева Галина Леонидовна, Урбан Мария Анатольевна, издательство Национальный институт образования, Минск, 2021, оранжевого цвета, Часть 1, страница 90, номер 1, Решение 2
Решение 3. №1 (с. 90)
Математика, 3 класс Учебник, авторы: Муравьева Галина Леонидовна, Урбан Мария Анатольевна, издательство Национальный институт образования, Минск, 2021, оранжевого цвета, Часть 1, страница 90, номер 1, Решение 3
Решение 4. №1 (с. 90)

(8 + 40) ⋅ 2

В соответствии с порядком выполнения арифметических действий, сначала находим сумму в скобках, а затем умножаем результат на 2.

1. Сложение в скобках: $8 + 40 = 48$.

2. Умножение: $48 \cdot 2 = 96$.

Ответ: 96

(10 + 8) ⋅ 4

Сначала выполняем действие в скобках, затем умножение.

1. Сложение в скобках: $10 + 8 = 18$.

2. Умножение: $18 \cdot 4 = 72$.

Ответ: 72

(5 + 12) ⋅ 3

Сначала выполняем действие в скобках, затем умножение.

1. Сложение в скобках: $5 + 12 = 17$.

2. Умножение: $17 \cdot 3 = 51$.

Ответ: 51

(11 + 9) ⋅ 5

Сначала выполняем действие в скобках, затем умножение.

1. Сложение в скобках: $11 + 9 = 20$.

2. Умножение: $20 \cdot 5 = 100$.

Ответ: 100

30 ⋅ 2 + 6 ⋅ 2

В выражении без скобок сначала выполняются умножение и деление, а затем сложение и вычитание в порядке их следования.

1. Первое умножение: $30 \cdot 2 = 60$.

2. Второе умножение: $6 \cdot 2 = 12$.

3. Сложение: $60 + 12 = 72$.

Ответ: 72

20 ⋅ 3 + 3 ⋅ 3

Сначала выполняем действия умножения, затем сложение.

1. Первое умножение: $20 \cdot 3 = 60$.

2. Второе умножение: $3 \cdot 3 = 9$.

3. Сложение: $60 + 9 = 69$.

Ответ: 69

Помогло решение? Оставьте отзыв в комментариях ниже.

Присоединяйтесь к Телеграм-группе @gdz_by_belarus

Присоединиться

Мы подготовили для вас ответ c подробным объяснением домашего задания по математике за 3 класс, для упражнения номер 1 расположенного на странице 90 для 1-й части к учебнику 2021 года издания для учащихся школ и гимназий.

Теперь на нашем сайте ГДЗ.ТОП вы всегда легко и бесплатно найдёте условие с правильным ответом на вопрос «Как решить ДЗ» и «Как сделать» задание по математике к упражнению №1 (с. 90), авторов: Муравьева (Галина Леонидовна), Урбан (Мария Анатольевна), 1-й части учебного пособия издательства Национальный институт образования.