Номер 17, страница 25 - гдз по математике 6 класс сборник задач Пирютко, Терешко

Математика, 6 класс Сборник задач, авторы: Пирютко Ольга Николаевна, Терешко Оксана Александровна, издательство Адукацыя i выхаванне, Минск, 2020, салатового цвета

Авторы: Пирютко О. Н., Терешко О. А.

Тип: Сборник задач

Издательство: Адукацыя i выхаванне

Год издания: 2020 - 2026

Цвет обложки: салатовый, белый, красный с учениками

ISBN: 978-985-599-225-8

Допущено Министерством образования Республики Беларусь

Популярные ГДЗ в 6 классе

Глава 1. Десятичные дроби. Параграф 10. Преобразования числовых выражений с обыкновенными и десятичными дробями - номер 17, страница 25.

№17 (с. 25)
Условие. №17 (с. 25)
скриншот условия
Математика, 6 класс Сборник задач, авторы: Пирютко Ольга Николаевна, Терешко Оксана Александровна, издательство Адукацыя i выхаванне, Минск, 2020, салатового цвета, страница 25, номер 17, Условие Математика, 6 класс Сборник задач, авторы: Пирютко Ольга Николаевна, Терешко Оксана Александровна, издательство Адукацыя i выхаванне, Минск, 2020, салатового цвета, страница 25, номер 17, Условие (продолжение 2)

17. Выполните действия, соблюдая их порядок:

a) $(0,4 \cdot 1,25 + 2,25) : 0,5 - \frac{1}{2}$;

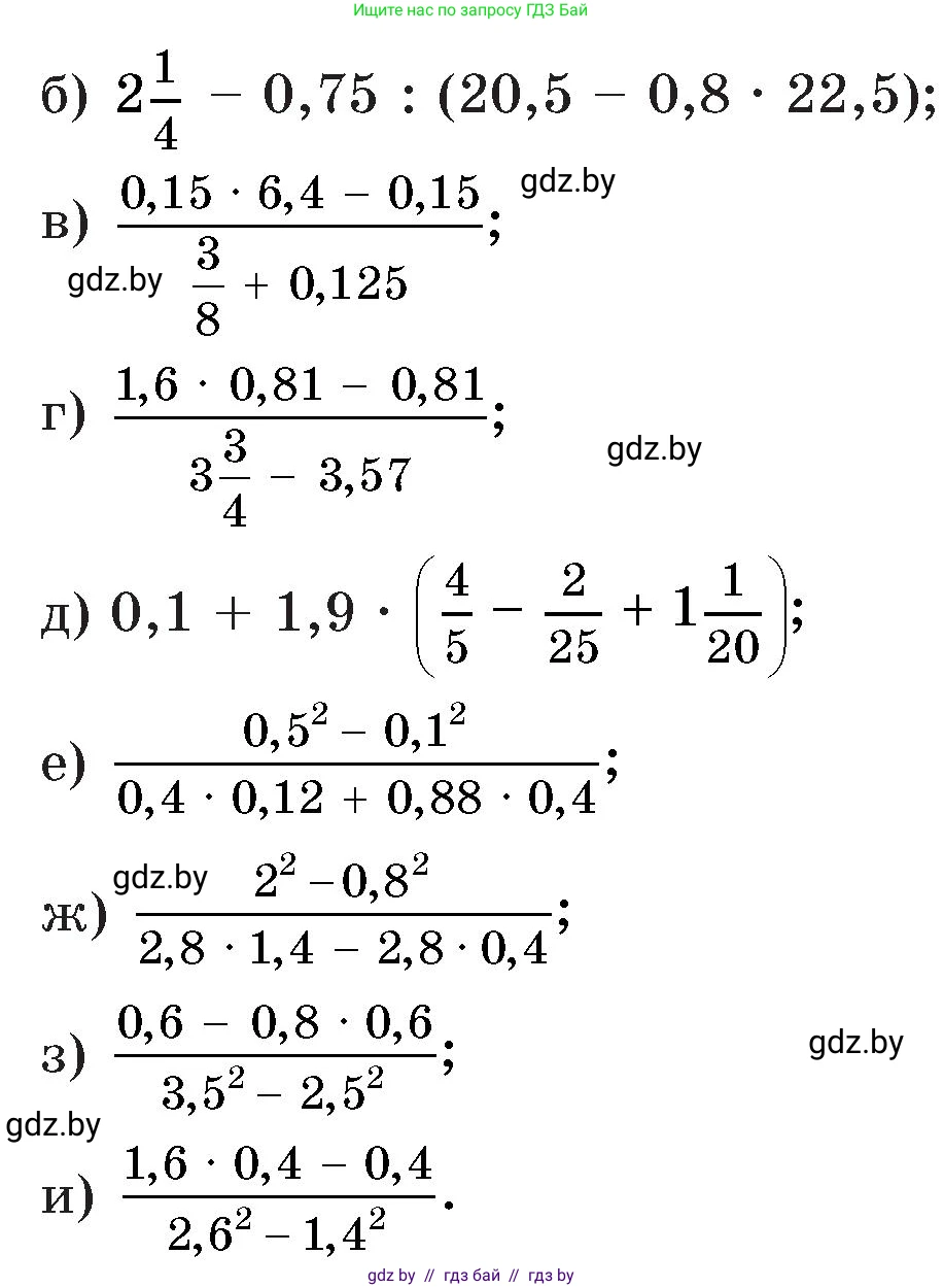
б) $2\frac{1}{4} - 0,75 : (20,5 - 0,8 \cdot 22,5)$;

в) $\frac{0,15 \cdot 6,4 - 0,15}{\frac{3}{8} + 0,125}$;

г) $\frac{1,6 \cdot 0,81 - 0,81}{3\frac{3}{4} - 3,57}$;

д) $0,1 + 1,9 \cdot \left(\frac{4}{5} - \frac{2}{25} + 1\frac{1}{20}\right)$;

е) $\frac{0,5^2 - 0,1^2}{0,4 \cdot 0,12 + 0,88 \cdot 0,4}$;

ж) $\frac{2^2 - 0,8^2}{2,8 \cdot 1,4 - 2,8 \cdot 0,4}$;

з) $\frac{0,6 - 0,8 \cdot 0,6}{3,5^2 - 2,5^2}$;

и) $\frac{1,6 \cdot 0,4 - 0,4}{2,6^2 - 1,4^2}$.

Решение. №17 (с. 25)
Математика, 6 класс Сборник задач, авторы: Пирютко Ольга Николаевна, Терешко Оксана Александровна, издательство Адукацыя i выхаванне, Минск, 2020, салатового цвета, страница 25, номер 17, Решение Математика, 6 класс Сборник задач, авторы: Пирютко Ольга Николаевна, Терешко Оксана Александровна, издательство Адукацыя i выхаванне, Минск, 2020, салатового цвета, страница 25, номер 17, Решение (продолжение 2)
Решение 2. №17 (с. 25)

а) $(0,4 \cdot 1,25 + 2,25) : 0,5 - \frac{1}{2}$

Решим по действиям, соблюдая порядок:

  1. Выполняем умножение в скобках: $0,4 \cdot 1,25 = 0,5$.
  2. Выполняем сложение в скобках: $0,5 + 2,25 = 2,75$.
  3. Выполняем деление: $2,75 : 0,5 = 5,5$.
  4. Выполняем вычитание, предварительно представив дробь $\frac{1}{2}$ в виде десятичной: $5,5 - 0,5 = 5$.

Ответ: 5

б) $2\frac{1}{4} - 0,75 : (20,5 - 0,8 \cdot 22,5)$

Решим по действиям, соблюдая порядок:

  1. Выполняем умножение в скобках: $0,8 \cdot 22,5 = 18$.
  2. Выполняем вычитание в скобках: $20,5 - 18 = 2,5$.
  3. Выполняем деление: $0,75 : 2,5 = 0,3$.
  4. Выполняем вычитание, предварительно представив смешанное число $2\frac{1}{4}$ в виде десятичной дроби $2,25$: $2,25 - 0,3 = 1,95$.

Ответ: 1,95

в) $\frac{0,15 \cdot 6,4 - 0,15}{\frac{3}{8} + 0,125}$

1. Упростим числитель, вынеся общий множитель $0,15$ за скобки:

$0,15 \cdot 6,4 - 0,15 = 0,15 \cdot (6,4 - 1) = 0,15 \cdot 5,4 = 0,81$

2. Упростим знаменатель, представив обыкновенную дробь $\frac{3}{8}$ в виде десятичной $0,375$:

$\frac{3}{8} + 0,125 = 0,375 + 0,125 = 0,5$

3. Разделим числитель на знаменатель:

$\frac{0,81}{0,5} = 1,62$

Ответ: 1,62

г) $\frac{1,6 \cdot 0,81 - 0,81}{3\frac{3}{4} - 3,57}$

1. Упростим числитель, вынеся общий множитель $0,81$ за скобки:

$1,6 \cdot 0,81 - 0,81 = 0,81 \cdot (1,6 - 1) = 0,81 \cdot 0,6 = 0,486$

2. Упростим знаменатель, представив смешанное число $3\frac{3}{4}$ в виде десятичной дроби $3,75$:

$3\frac{3}{4} - 3,57 = 3,75 - 3,57 = 0,18$

3. Разделим числитель на знаменатель:

$\frac{0,486}{0,18} = \frac{48,6}{18} = 2,7$

Ответ: 2,7

д) $0,1 + 1,9 \cdot (\frac{4}{5} - \frac{2}{25} + 1\frac{1}{20})$

Решим по действиям:

  1. Вычислим значение в скобках. Для удобства переведем все дроби в десятичные:
    $\frac{4}{5} = 0,8$; $\frac{2}{25} = 0,08$; $1\frac{1}{20} = 1,05$.
    $0,8 - 0,08 + 1,05 = 0,72 + 1,05 = 1,77$.
  2. Выполним умножение: $1,9 \cdot 1,77 = 3,363$.
  3. Выполним сложение: $0,1 + 3,363 = 3,463$.

Ответ: 3,463

е) $\frac{0,5^2 - 0,1^2}{0,4 \cdot 0,12 + 0,88 \cdot 0,4}$

1. В числителе применим формулу разности квадратов $a^2 - b^2 = (a-b)(a+b)$:

$0,5^2 - 0,1^2 = (0,5 - 0,1)(0,5 + 0,1) = 0,4 \cdot 0,6 = 0,24$

2. В знаменателе вынесем общий множитель $0,4$ за скобки:

$0,4 \cdot 0,12 + 0,88 \cdot 0,4 = 0,4 \cdot (0,12 + 0,88) = 0,4 \cdot 1 = 0,4$

3. Разделим числитель на знаменатель:

$\frac{0,24}{0,4} = 0,6$

Ответ: 0,6

ж) $\frac{2^2 - 0,8^2}{2,8 \cdot 1,4 - 2,8 \cdot 0,4}$

1. В числителе применим формулу разности квадратов $a^2 - b^2 = (a-b)(a+b)$:

$2^2 - 0,8^2 = (2 - 0,8)(2 + 0,8) = 1,2 \cdot 2,8$

2. В знаменателе вынесем общий множитель $2,8$ за скобки:

$2,8 \cdot 1,4 - 2,8 \cdot 0,4 = 2,8 \cdot (1,4 - 0,4) = 2,8 \cdot 1 = 2,8$

3. Разделим числитель на знаменатель, сократив дробь на $2,8$:

$\frac{1,2 \cdot 2,8}{2,8} = 1,2$

Ответ: 1,2

з) $\frac{0,6 - 0,8 \cdot 0,6}{3,5^2 - 2,5^2}$

1. В числителе вынесем общий множитель $0,6$ за скобки:

$0,6 - 0,8 \cdot 0,6 = 0,6 \cdot (1 - 0,8) = 0,6 \cdot 0,2 = 0,12$

2. В знаменателе применим формулу разности квадратов $a^2 - b^2 = (a-b)(a+b)$:

$3,5^2 - 2,5^2 = (3,5 - 2,5)(3,5 + 2,5) = 1 \cdot 6 = 6$

3. Разделим числитель на знаменатель:

$\frac{0,12}{6} = 0,02$

Ответ: 0,02

и) $\frac{1,6 \cdot 0,4 - 0,4}{2,6^2 - 1,4^2}$

1. В числителе вынесем общий множитель $0,4$ за скобки:

$1,6 \cdot 0,4 - 0,4 = 0,4 \cdot (1,6 - 1) = 0,4 \cdot 0,6 = 0,24$

2. В знаменателе применим формулу разности квадратов $a^2 - b^2 = (a-b)(a+b)$:

$2,6^2 - 1,4^2 = (2,6 - 1,4)(2,6 + 1,4) = 1,2 \cdot 4 = 4,8$

3. Разделим числитель на знаменатель:

$\frac{0,24}{4,8} = \frac{24}{480} = \frac{1}{20} = 0,05$

Ответ: 0,05

Помогло решение? Оставьте отзыв в комментариях ниже.

Присоединяйтесь к Телеграм-группе @gdz_by_belarus

Присоединиться

Мы подготовили для вас ответ c подробным объяснением домашего задания по математике за 6 класс, для упражнения номер 17 расположенного на странице 25 к сборнику задач 2020 года издания для учащихся школ и гимназий.

Теперь на нашем сайте ГДЗ.ТОП вы всегда легко и бесплатно найдёте условие с правильным ответом на вопрос «Как решить ДЗ» и «Как сделать» задание по математике к упражнению №17 (с. 25), авторов: Пирютко (Ольга Николаевна), Терешко (Оксана Александровна), учебного пособия издательства Адукацыя i выхаванне.