Номер 1, страница 116 - гдз по математике 6 класс сборник задач Пирютко, Терешко

Математика, 6 класс Сборник задач, авторы: Пирютко Ольга Николаевна, Терешко Оксана Александровна, издательство Адукацыя i выхаванне, Минск, 2020, салатового цвета

Авторы: Пирютко О. Н., Терешко О. А.

Тип: Сборник задач

Издательство: Адукацыя i выхаванне

Год издания: 2020 - 2026

Цвет обложки: салатовый, белый, красный с учениками

ISBN: 978-985-599-225-8

Допущено Министерством образования Республики Беларусь

Популярные ГДЗ в 6 классе

Глава 4. Рациональные числа. Параграф 9. Задачи на все действия с рациональными числами - номер 1, страница 116.

№1 (с. 116)
Условие. №1 (с. 116)
скриншот условия
Математика, 6 класс Сборник задач, авторы: Пирютко Ольга Николаевна, Терешко Оксана Александровна, издательство Адукацыя i выхаванне, Минск, 2020, салатового цвета, страница 116, номер 1, Условие

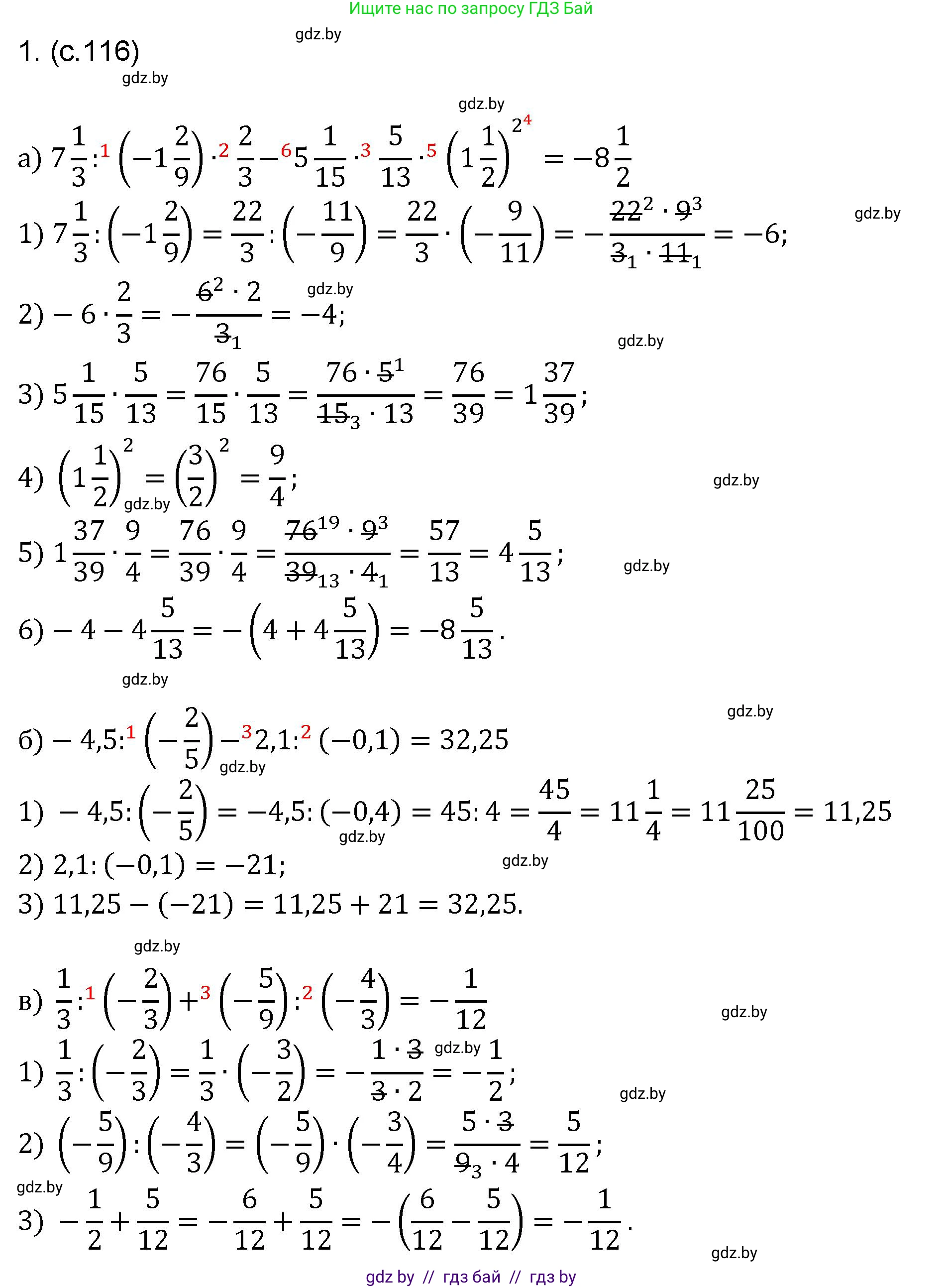
1. Найдите значение выражения:

а) $7\frac{1}{3} : \left(-1\frac{2}{9}\right) \cdot \frac{2}{3} - 5\frac{1}{15} \cdot \frac{5}{13} \cdot \left(1\frac{1}{2}\right)^2;$

б) $-4,5 : \left(-\frac{2}{5}\right) - 2,1 : (-0,1);$

в) $\frac{1}{3} : \left(-\frac{2}{3}\right) + \left(-\frac{5}{9}\right) : \left(-\frac{4}{3}\right).$

Решение. №1 (с. 116)
Математика, 6 класс Сборник задач, авторы: Пирютко Ольга Николаевна, Терешко Оксана Александровна, издательство Адукацыя i выхаванне, Минск, 2020, салатового цвета, страница 116, номер 1, Решение
Решение 2. №1 (с. 116)

a)

Чтобы найти значение выражения $7\frac{1}{3} : (-1\frac{2}{9}) \cdot \frac{2}{3} - 5\frac{1}{15} \cdot \frac{5}{13} \cdot (1\frac{1}{2})^2$, выполним решение по действиям, соблюдая порядок операций.

  1. Сначала выполним деление и умножение в первом члене. Для этого преобразуем смешанные числа в неправильные дроби:
    $7\frac{1}{3} = \frac{22}{3}$; $-1\frac{2}{9} = -\frac{11}{9}$.
    $7\frac{1}{3} : (-1\frac{2}{9}) \cdot \frac{2}{3} = \frac{22}{3} : (-\frac{11}{9}) \cdot \frac{2}{3} = \frac{22}{3} \cdot (-\frac{9}{11}) \cdot \frac{2}{3} = -(\frac{22 \cdot 9 \cdot 2}{3 \cdot 11 \cdot 3}) = -(\frac{2 \cdot 11 \cdot 3 \cdot 3 \cdot 2}{3 \cdot 11 \cdot 3}) = -4$.
  2. Теперь вычислим второй член. Сначала преобразуем смешанные числа и возведем в степень:
    $5\frac{1}{15} = \frac{76}{15}$; $(1\frac{1}{2})^2 = (\frac{3}{2})^2 = \frac{9}{4}$.
    $5\frac{1}{15} \cdot \frac{5}{13} \cdot (1\frac{1}{2})^2 = \frac{76}{15} \cdot \frac{5}{13} \cdot \frac{9}{4} = \frac{76 \cdot 5 \cdot 9}{15 \cdot 13 \cdot 4} = \frac{(19 \cdot 4) \cdot 5 \cdot 9}{(3 \cdot 5) \cdot 13 \cdot 4} = \frac{19 \cdot 9}{3 \cdot 13} = \frac{19 \cdot 3}{13} = \frac{57}{13}$.
  3. Выполним вычитание результатов:
    $-4 - \frac{57}{13} = -\frac{4 \cdot 13}{13} - \frac{57}{13} = -\frac{52}{13} - \frac{57}{13} = -\frac{52 + 57}{13} = -\frac{109}{13}$.
  4. Выделим целую часть из полученной неправильной дроби:
    $-\frac{109}{13} = -8\frac{5}{13}$.

a) Ответ: -8

б)

Чтобы найти значение выражения $-4,5 : (-\frac{2}{5}) - 2,1 : (-0,1)$, выполним решение по действиям.

  1. Выполним первое деление. Для удобства можно перевести дробь $-\frac{2}{5}$ в десятичную: $-\frac{2}{5} = -0,4$.
    $-4,5 : (-0,4) = 4,5 : 0,4 = 45 : 4 = 11,25$.
  2. Выполним второе деление:
    $2,1 : (-0,1) = -(2,1 : 0,1) = -(21 : 1) = -21$.
  3. Выполним вычитание:
    $11,25 - (-21) = 11,25 + 21 = 32,25$.
  4. Представим результат в виде неправильной дроби и выделим целую часть:
    $32,25 = 32\frac{25}{100} = 32\frac{1}{4} = \frac{129}{4}$.

б) Ответ: 32

в)

Чтобы найти значение выражения $\frac{1}{3} : (-\frac{2}{3}) + (-\frac{5}{9}) : (-\frac{4}{3})$, выполним решение по действиям.

  1. Выполним первое деление:
    $\frac{1}{3} : (-\frac{2}{3}) = \frac{1}{3} \cdot (-\frac{3}{2}) = -\frac{1 \cdot 3}{3 \cdot 2} = -\frac{1}{2}$.
  2. Выполним второе деление:
    $(-\frac{5}{9}) : (-\frac{4}{3}) = \frac{5}{9} \cdot \frac{3}{4} = \frac{5 \cdot 3}{9 \cdot 4} = \frac{5}{3 \cdot 4} = \frac{5}{12}$.
  3. Выполним сложение. Для этого приведем дроби к общему знаменателю 12:
    $-\frac{1}{2} + \frac{5}{12} = -\frac{1 \cdot 6}{2 \cdot 6} + \frac{5}{12} = -\frac{6}{12} + \frac{5}{12} = \frac{-6 + 5}{12} = -\frac{1}{12}$.
  4. Результат $-\frac{1}{12}$ является правильной дробью, а не неправильной. Целая часть правильной дроби равна 0.

в) Ответ: 0

Помогло решение? Оставьте отзыв в комментариях ниже.

Присоединяйтесь к Телеграм-группе @gdz_by_belarus

Присоединиться

Мы подготовили для вас ответ c подробным объяснением домашего задания по математике за 6 класс, для упражнения номер 1 расположенного на странице 116 к сборнику задач 2020 года издания для учащихся школ и гимназий.

Теперь на нашем сайте ГДЗ.ТОП вы всегда легко и бесплатно найдёте условие с правильным ответом на вопрос «Как решить ДЗ» и «Как сделать» задание по математике к упражнению №1 (с. 116), авторов: Пирютко (Ольга Николаевна), Терешко (Оксана Александровна), учебного пособия издательства Адукацыя i выхаванне.