Номер 5, страница 117 - гдз по геометрии 8 класс учебник Казаков, Казакова

Геометрия, 8 класс Учебник, авторы: Казаков Валерий Владимирович, Казакова Ольга Олеговна, издательство Адукацыя i выхаванне, Минск, 2024, оранжевого цвета

Авторы: Казаков В. В., Казакова О. О.

Тип: Учебник

Издательство: Адукацыя i выхаванне

Год издания: 2024 - 2026

Цвет обложки: оранжевый

Допущено Министерством образования Республики Беларусь

Популярные ГДЗ в 8 классе

Глава 2. Площади многоугольников. Подготовка к контрольной работе 2 - номер 5, страница 117.

№5 (с. 117)
Условие. №5 (с. 117)
скриншот условия
Геометрия, 8 класс Учебник, авторы: Казаков Валерий Владимирович, Казакова Ольга Олеговна, издательство Адукацыя i выхаванне, Минск, 2024, оранжевого цвета, страница 117, номер 5, Условие

5. Найдите площадь трапеции ABCD.

a) Дано: трапеция $ABCD$. $BM \perp AD$, $CK \perp AD$. $MK = 8$, $KD = 5$, $CD = 13$. $AB = CD$.

б) Дано: трапеция $ABCD$. $BM \perp AD$, $CK \perp AD$. $AM = 3$, $BC = 6$, $CD = 5$. $AB = CD$.

в) Дано: трапеция $ABCD$. $CK \perp AD$. $AB = 17$, $AK = 28$, $KD = 8$. $\angle A = \angle D$.

Решение. №5 (с. 117)
Геометрия, 8 класс Учебник, авторы: Казаков Валерий Владимирович, Казакова Ольга Олеговна, издательство Адукацыя i выхаванне, Минск, 2024, оранжевого цвета, страница 117, номер 5, Решение Геометрия, 8 класс Учебник, авторы: Казаков Валерий Владимирович, Казакова Ольга Олеговна, издательство Адукацыя i выхаванне, Минск, 2024, оранжевого цвета, страница 117, номер 5, Решение (продолжение 2)
Решение 2. №5 (с. 117)
Геометрия, 8 класс Учебник, авторы: Казаков Валерий Владимирович, Казакова Ольга Олеговна, издательство Адукацыя i выхаванне, Минск, 2024, оранжевого цвета, страница 117, номер 5, Решение 2 Геометрия, 8 класс Учебник, авторы: Казаков Валерий Владимирович, Казакова Ольга Олеговна, издательство Адукацыя i выхаванне, Минск, 2024, оранжевого цвета, страница 117, номер 5, Решение 2 (продолжение 2)
Решение 3. №5 (с. 117)

а)

1. По условию, трапеция $ABCD$ является равнобедренной, так как ее боковые стороны равны ($AB = CD = 13$, что обозначено штрихами на рисунке). $BM$ и $CK$ — высоты трапеции. В равнобедренной трапеции отрезки, отсекаемые высотами от большего основания, равны. Следовательно, $AM = KD = 5$.

2. Четырехугольник $BCKM$ является прямоугольником, так как $BM$ и $CK$ — перпендикуляры к $AD$, а $BC$ параллельно $AD$. Значит, верхнее основание $BC = MK = 8$.

3. Найдем длину нижнего основания $AD$:
$AD = AM + MK + KD = 5 + 8 + 5 = 18$.

4. Рассмотрим прямоугольный треугольник $CKD$. По теореме Пифагора найдем высоту $CK$:
$CD^2 = CK^2 + KD^2$
$13^2 = CK^2 + 5^2$
$169 = CK^2 + 25$
$CK^2 = 169 - 25 = 144$
$CK = \sqrt{144} = 12$.
Высота трапеции $h = 12$.

5. Площадь трапеции вычисляется по формуле $S = \frac{a+b}{2} \cdot h$, где $a$ и $b$ — основания, а $h$ — высота.
$S = \frac{BC + AD}{2} \cdot CK = \frac{8 + 18}{2} \cdot 12 = \frac{26}{2} \cdot 12 = 13 \cdot 12 = 156$.

Ответ: 156

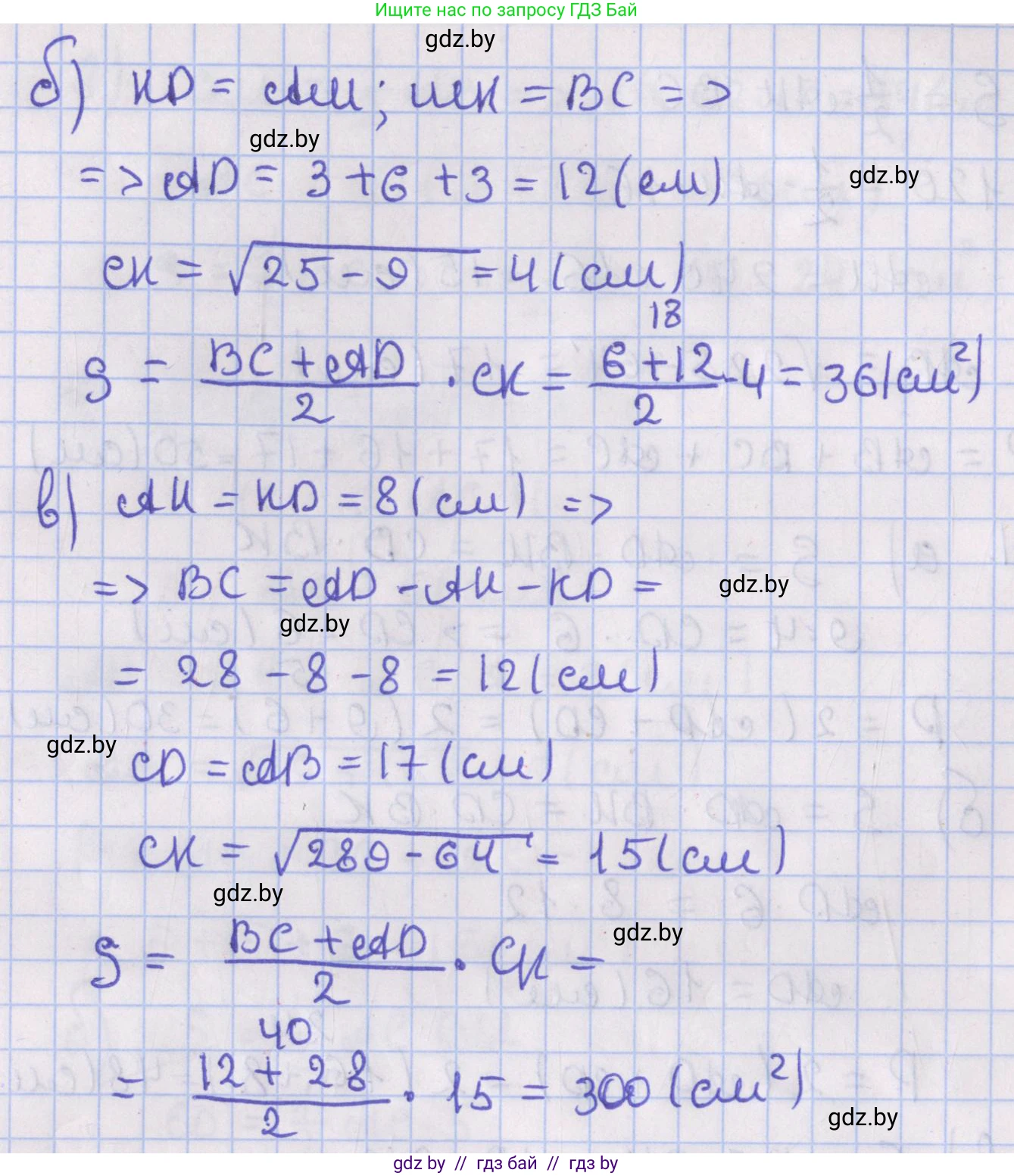
б)

1. Трапеция $ABCD$ является равнобедренной, так как боковые стороны $AB$ и $CD$ отмечены как равные. Из условия $CD = 5$, следовательно, $AB = 5$. Верхнее основание $BC = 6$.

2. $BM$ и $CK$ — высоты трапеции. Четырехугольник $BCKM$ — прямоугольник, поэтому $MK = BC = 6$. В равнобедренной трапеции отрезки $AM$ и $KD$ равны. Из условия $AM = 3$, значит, $KD = 3$.

3. Найдем длину нижнего основания $AD$:
$AD = AM + MK + KD = 3 + 6 + 3 = 12$.

4. Рассмотрим прямоугольный треугольник $ABM$. По теореме Пифагора найдем высоту $BM$:
$AB^2 = AM^2 + BM^2$
$5^2 = 3^2 + BM^2$
$25 = 9 + BM^2$
$BM^2 = 25 - 9 = 16$
$BM = \sqrt{16} = 4$.
Высота трапеции $h = 4$.

5. Вычислим площадь трапеции:
$S = \frac{BC + AD}{2} \cdot BM = \frac{6 + 12}{2} \cdot 4 = \frac{18}{2} \cdot 4 = 9 \cdot 4 = 36$.

Ответ: 36

в)

1. На рисунке отмечены равные углы при основании $AD$ ($\angle A = \angle D$), следовательно, трапеция $ABCD$ является равнобедренной. Это означает, что ее боковые стороны равны: $CD = AB = 17$.

2. $CK$ — высота трапеции. Рассмотрим прямоугольный треугольник $CKD$. По теореме Пифагора найдем высоту $CK$:
$CD^2 = CK^2 + KD^2$
$17^2 = CK^2 + 8^2$
$289 = CK^2 + 64$
$CK^2 = 289 - 64 = 225$
$CK = \sqrt{225} = 15$.
Высота трапеции $h = 15$.

3. Найдем длины оснований. Длина нижнего основания $AD$ равна сумме отрезков $AK$ и $KD$:
$AD = AK + KD = 28 + 8 = 36$.

4. Проведем вторую высоту $BM$ из вершины $B$ на основание $AD$. Так как трапеция равнобедренная, $AM = KD = 8$. Четырехугольник $BCKM$ является прямоугольником, поэтому $BC = MK$. Длину отрезка $MK$ можно найти из длины $AK$:
$AK = AM + MK$
$28 = 8 + MK$
$MK = 28 - 8 = 20$.
Следовательно, верхнее основание $BC = 20$.

5. Вычислим площадь трапеции:
$S = \frac{BC + AD}{2} \cdot CK = \frac{20 + 36}{2} \cdot 15 = \frac{56}{2} \cdot 15 = 28 \cdot 15 = 420$.
Примечание: для равнобедренной трапеции полусумма оснований равна длине отрезка $AK$. $\frac{BC+AD}{2} = \frac{20+36}{2} = 28 = AK$. Поэтому площадь можно было найти как $S = AK \cdot h = 28 \cdot 15 = 420$.

Ответ: 420

Помогло решение? Оставьте отзыв в комментариях ниже.

Присоединяйтесь к Телеграм-группе @gdz_by_belarus

Присоединиться

Мы подготовили для вас ответ c подробным объяснением домашего задания по геометрии за 8 класс, для упражнения номер 5 расположенного на странице 117 к учебнику 2024 года издания для учащихся школ и гимназий.

Теперь на нашем сайте ГДЗ.ТОП вы всегда легко и бесплатно найдёте условие с правильным ответом на вопрос «Как решить ДЗ» и «Как сделать» задание по геометрии к упражнению №5 (с. 117), авторов: Казаков (Валерий Владимирович), Казакова (Ольга Олеговна), учебного пособия издательства Адукацыя i выхаванне.