Номер 3, страница 198 - гдз по геометрии 8 класс учебник Казаков, Казакова

Геометрия, 8 класс Учебник, авторы: Казаков Валерий Владимирович, Казакова Ольга Олеговна, издательство Адукацыя i выхаванне, Минск, 2024, оранжевого цвета

Авторы: Казаков В. В., Казакова О. О.

Тип: Учебник

Издательство: Адукацыя i выхаванне

Год издания: 2024 - 2026

Цвет обложки: оранжевый

Допущено Министерством образования Республики Беларусь

Популярные ГДЗ в 8 классе

Глава 4. Окружность. Подготовка к контрольной работе 4 - номер 3, страница 198.

№3 (с. 198)
Условие. №3 (с. 198)
скриншот условия
Геометрия, 8 класс Учебник, авторы: Казаков Валерий Владимирович, Казакова Ольга Олеговна, издательство Адукацыя i выхаванне, Минск, 2024, оранжевого цвета, страница 198, номер 3, Условие

3. Найдите $\angle KBD$, где $B$ — точка касания.

а) $\angle KBD = 40^\circ$

б) $\angle KBD = 80^\circ$

в) $\angle KBD = 72^\circ$

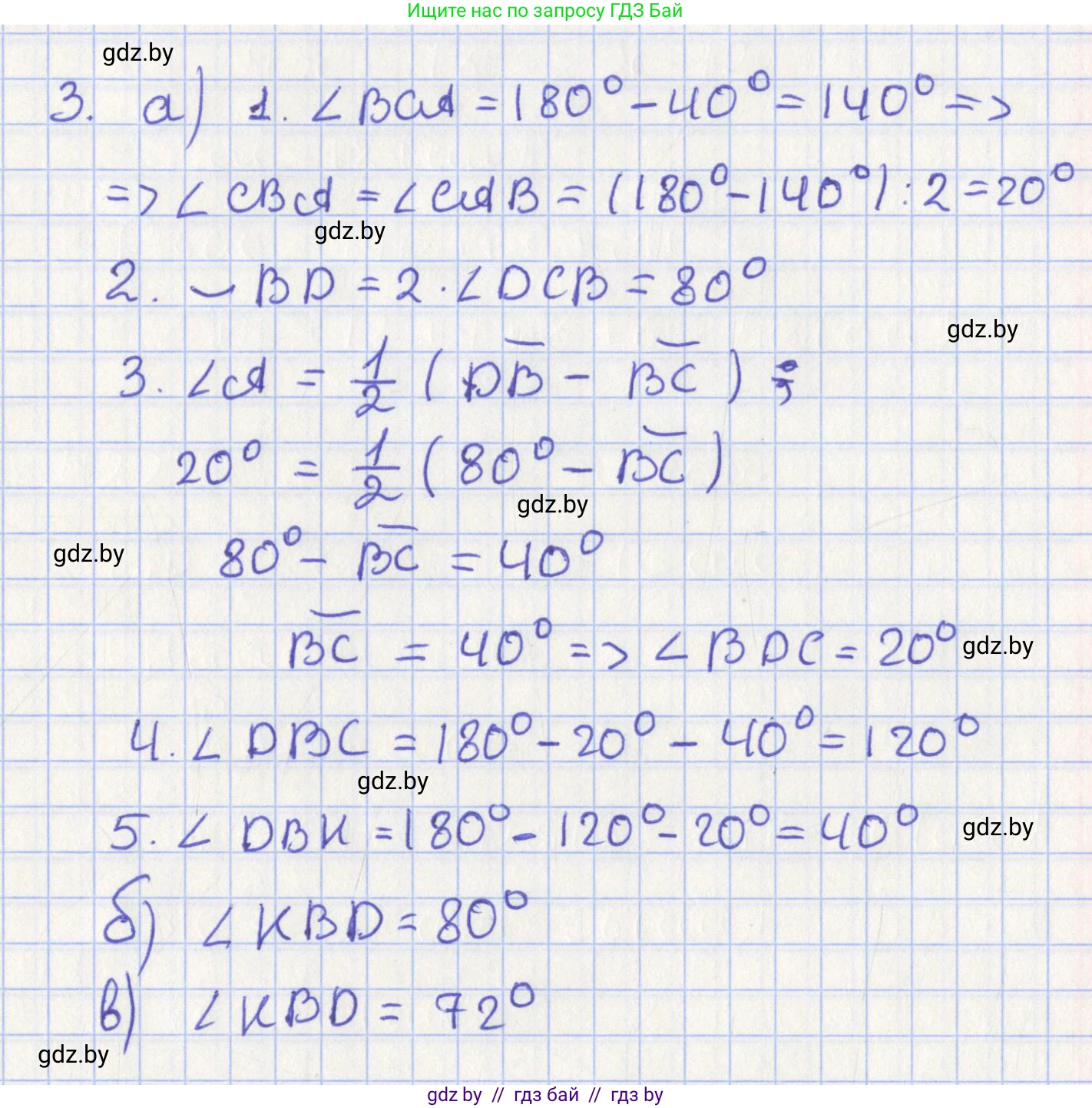
Решение. №3 (с. 198)
Геометрия, 8 класс Учебник, авторы: Казаков Валерий Владимирович, Казакова Ольга Олеговна, издательство Адукацыя i выхаванне, Минск, 2024, оранжевого цвета, страница 198, номер 3, Решение
Решение 2. №3 (с. 198)
Геометрия, 8 класс Учебник, авторы: Казаков Валерий Владимирович, Казакова Ольга Олеговна, издательство Адукацыя i выхаванне, Минск, 2024, оранжевого цвета, страница 198, номер 3, Решение 2
Решение 3. №3 (с. 198)
а)

Для решения этой задачи используется теорема об угле между касательной и хордой. Согласно этой теореме, угол, образованный касательной и хордой, проведенной через точку касания, равен любому вписанному углу, опирающемуся на дугу, которую стягивает эта хорда.

В данном случае, у нас есть касательная $KA$, которая касается окружности в точке $B$, и хорда $BD$. Угол между ними — это $\angle KBD$. Хорда $BD$ стягивает дугу $BD$. Вписанный угол, который опирается на эту же дугу $BD$, — это $\angle BCD$.

Следовательно, по теореме:

$\angle KBD = \angle BCD$

По условию задачи, нам дано значение угла $\angle BCD = 40^{\circ}$.

Таким образом, $\angle KBD = 40^{\circ}$.

Ответ: $40^{\circ}$

б)

В этом случае прямая $KA$ является касательной к окружности в точке $B$, а прямая, проходящая через точки $D$, $C$ и $A$, является секущей. Искомый угол — $\angle KBD$.

Применяя ту же теорему об угле между касательной и хордой, мы знаем, что $\angle KBD$ равен вписанному углу, опирающемуся на хорду $BD$. Таким вписанным углом является $\angle BCD$.

$\angle KBD = \angle BCD$

Из рисунка видно, что точки $D$, $C$ и $A$ лежат на одной прямой. Это означает, что углы $\angle BCD$ и $\angle BCA$ являются смежными. Сумма смежных углов равна $180^{\circ}$.

$\angle BCD + \angle BCA = 180^{\circ}$

Нам дан угол $\angle BCA = 80^{\circ}$. Найдем угол $\angle BCD$:

$\angle BCD = 180^{\circ} - \angle BCA = 180^{\circ} - 80^{\circ} = 100^{\circ}$

Следовательно, искомый угол $\angle KBD$ также равен $100^{\circ}$.

$\angle KBD = 100^{\circ}$

Ответ: $100^{\circ}$

в)

В данной задаче, как и в предыдущих, мы ищем угол $\angle KBD$, образованный касательной $KA$ в точке $B$ и хордой $BD$.

По теореме об угле между касательной и хордой, этот угол равен вписанному углу, опирающемуся на дугу $BD$, то есть углу $\angle BCD$.

$\angle KBD = \angle BCD$

Из рисунка видно, что нам дан именно угол $\angle BCD$. Его вершина находится в точке $C$, а стороны проходят через точки $B$ и $D$. Величина этого угла составляет $72^{\circ}$.

$\angle BCD = 72^{\circ}$

Следовательно, искомый угол $\angle KBD$ равен этому значению.

$\angle KBD = 72^{\circ}$

(Точка $A$ и отрезки, связанные с ней, являются дополнительной информацией, не требующейся для нахождения угла $\angle KBD$ при данной интерпретации рисунка).

Ответ: $72^{\circ}$

Помогло решение? Оставьте отзыв в комментариях ниже.

Присоединяйтесь к Телеграм-группе @gdz_by_belarus

Присоединиться

Мы подготовили для вас ответ c подробным объяснением домашего задания по геометрии за 8 класс, для упражнения номер 3 расположенного на странице 198 к учебнику 2024 года издания для учащихся школ и гимназий.

Теперь на нашем сайте ГДЗ.ТОП вы всегда легко и бесплатно найдёте условие с правильным ответом на вопрос «Как решить ДЗ» и «Как сделать» задание по геометрии к упражнению №3 (с. 198), авторов: Казаков (Валерий Владимирович), Казакова (Ольга Олеговна), учебного пособия издательства Адукацыя i выхаванне.