Вариант 3, страница 22, часть 1 - гдз по химии 9 класс тетрадь для практических работ Борушко

Химия, 9 класс Тетрадь для практических работ, автор: Борушко Ирина Ивановна, издательство Сэр-Вит, Минск, 2022, бирюзового цвета

Авторы: Борушко И. И.

Тип: Тетрадь для практических работ

Издательство: Сэр-Вит

Год издания: 2022 - 2026

Часть: 1

Цвет обложки: бирюзовый, сиреневый

ISBN: 978-985-597-608-1

Рекомендовано Научно-методическим учреждением «Национальный институт образования» Министерства образования Республики Беларусь

Популярные ГДЗ в 9 классе

Часть 1. Практические работы. Практическая работа 4. Решение экспериментальных задач по теме «Металлы» - страница 22.

Вариант 3 (с. 22)
Условие. Вариант 3 (с. 22)
Химия, 9 класс Тетрадь для практических работ, автор: Борушко Ирина Ивановна, издательство Сэр-Вит, Минск, 2022, бирюзового цвета, Часть 1, страница 22, Условие Химия, 9 класс Тетрадь для практических работ, автор: Борушко Ирина Ивановна, издательство Сэр-Вит, Минск, 2022, бирюзового цвета, Часть 1, страница 22, Условие (продолжение 2)
Решение. Вариант 3 (с. 22)
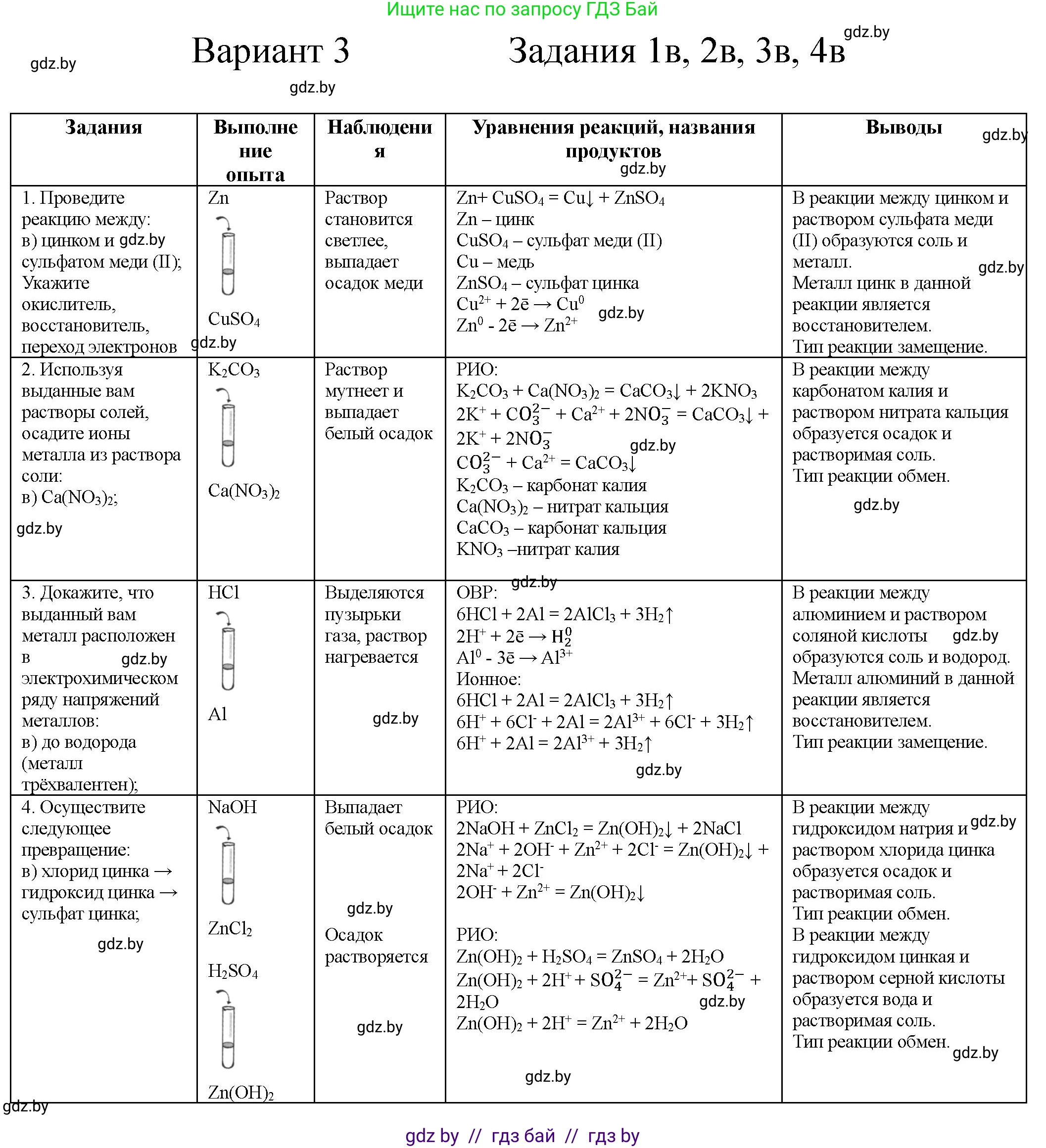
Химия, 9 класс Тетрадь для практических работ, автор: Борушко Ирина Ивановна, издательство Сэр-Вит, Минск, 2022, бирюзового цвета, Часть 1, страница 22, Решение

Помогло решение? Оставьте отзыв в комментариях ниже.

Присоединяйтесь к Телеграм-группе @gdz_by_belarus

Присоединиться

Мы подготовили для вас ответ c подробным объяснением домашего задания по химии за 9 класс, для упражнения Вариант 3 расположенного на странице 22 для 1-й части к тетради для практических работ 2022 года издания для учащихся школ и гимназий.

Теперь на нашем сайте ГДЗ.ТОП вы всегда легко и бесплатно найдёте условие с правильным ответом на вопрос «Как решить ДЗ» и «Как сделать» задание по химии к упражнению Вариант 3 (с. 22), автора: Борушко (Ирина Ивановна), 1-й части учебного пособия издательства Сэр-Вит.