Номер 6, страница 116 - гдз по математике 5 класс сборник задач Пирютко, Терешко

Математика, 5 класс Сборник задач, авторы: Пирютко Ольга Николаевна, Терешко Оксана Александровна, Герасимов Валерий Дмитриевич, издательство Адукацыя i выхаванне, Минск, 2019, белого цвета

Авторы: Пирютко О. Н., Терешко О. А., Герасимов В. Д.

Тип: Сборник задач

Издательство: Адукацыя i выхаванне

Год издания: 2019 - 2026

Цвет обложки: белый, салатовый, оранжевый с учениками

ISBN: 978-985-599-035-3

Допущено Министерством образования Республики Беларусь

Популярные ГДЗ в 5 классе

Глава 3. Обыкновенные дроби. Параграф 6. Сложение и вычитание смешанных чисел - номер 6, страница 116.

№6 (с. 116)
Условие. №6 (с. 116)
скриншот условия
Математика, 5 класс Сборник задач, авторы: Пирютко Ольга Николаевна, Терешко Оксана Александровна, Герасимов Валерий Дмитриевич, издательство Адукацыя i выхаванне, Минск, 2019, белого цвета, страница 116, номер 6, Условие

6. Найдите значение числового выражения:

а) $ (18\frac{2}{3} + 2\frac{1}{8}) - (13 - 8\frac{5}{9}) $;

б) $ (30\frac{5}{7} - 3\frac{2}{5}) - (16 - 9\frac{11}{14}) $.

Решение. №6 (с. 116)
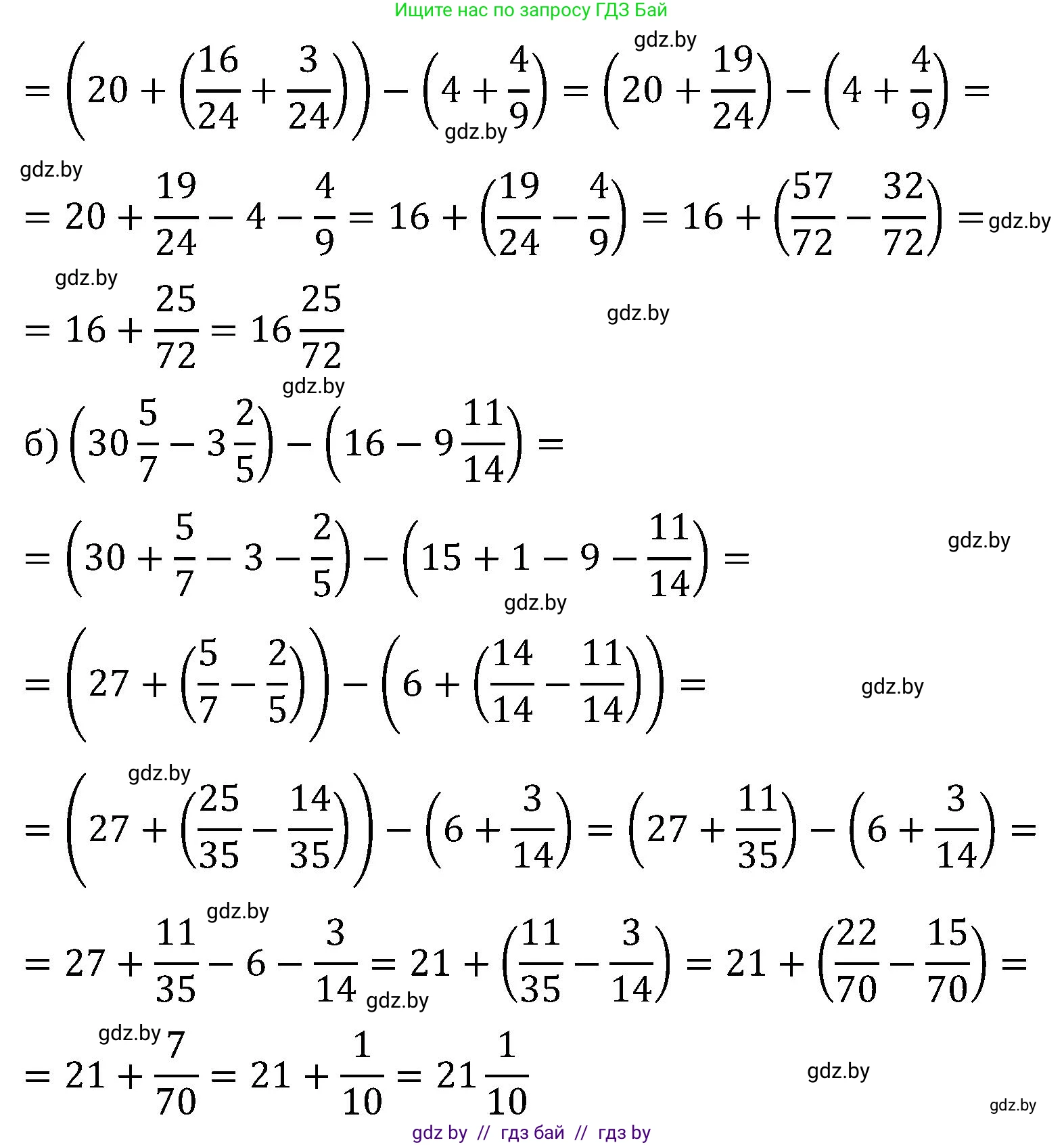
Математика, 5 класс Сборник задач, авторы: Пирютко Ольга Николаевна, Терешко Оксана Александровна, Герасимов Валерий Дмитриевич, издательство Адукацыя i выхаванне, Минск, 2019, белого цвета, страница 116, номер 6, Решение Математика, 5 класс Сборник задач, авторы: Пирютко Ольга Николаевна, Терешко Оксана Александровна, Герасимов Валерий Дмитриевич, издательство Адукацыя i выхаванне, Минск, 2019, белого цвета, страница 116, номер 6, Решение (продолжение 2)
Решение 2. №6 (с. 116)

а) $(18\frac{2}{3} + 2\frac{1}{8}) - (13 - 8\frac{5}{9})$

Решим данное выражение по действиям.

1. Сначала выполним сложение в первой скобке:

$18\frac{2}{3} + 2\frac{1}{8}$

Сложим целые части: $18 + 2 = 20$.

Сложим дробные части, приведя их к общему знаменателю 24 (наименьшее общее кратное чисел 3 и 8):

$\frac{2}{3} + \frac{1}{8} = \frac{2 \cdot 8}{3 \cdot 8} + \frac{1 \cdot 3}{8 \cdot 3} = \frac{16}{24} + \frac{3}{24} = \frac{19}{24}$

Результат первого действия: $20 + \frac{19}{24} = 20\frac{19}{24}$.

2. Теперь выполним вычитание во второй скобке:

$13 - 8\frac{5}{9}$

Чтобы вычесть смешанное число из целого, представим 13 как $12 + 1 = 12\frac{9}{9}$:

$12\frac{9}{9} - 8\frac{5}{9}$

Вычтем целые части: $12 - 8 = 4$.

Вычтем дробные части: $\frac{9}{9} - \frac{5}{9} = \frac{4}{9}$.

Результат второго действия: $4\frac{4}{9}$.

3. Выполним вычитание результатов первого и второго действий:

$20\frac{19}{24} - 4\frac{4}{9}$

Вычтем целые части: $20 - 4 = 16$.

Вычтем дробные части, приведя их к общему знаменателю 72 (наименьшее общее кратное чисел 24 и 9):

$\frac{19}{24} - \frac{4}{9} = \frac{19 \cdot 3}{24 \cdot 3} - \frac{4 \cdot 8}{9 \cdot 8} = \frac{57}{72} - \frac{32}{72} = \frac{25}{72}$

Итоговый результат: $16 + \frac{25}{72} = 16\frac{25}{72}$.

Ответ: $16\frac{25}{72}$.

б) $(30\frac{5}{7} - 3\frac{2}{5}) - (16 - 9\frac{11}{14})$

Решим данное выражение по действиям.

1. Сначала выполним вычитание в первой скобке:

$30\frac{5}{7} - 3\frac{2}{5}$

Вычтем целые части: $30 - 3 = 27$.

Вычтем дробные части, приведя их к общему знаменателю 35 (наименьшее общее кратное чисел 7 и 5):

$\frac{5}{7} - \frac{2}{5} = \frac{5 \cdot 5}{7 \cdot 5} - \frac{2 \cdot 7}{5 \cdot 7} = \frac{25}{35} - \frac{14}{35} = \frac{11}{35}$

Результат первого действия: $27 + \frac{11}{35} = 27\frac{11}{35}$.

2. Теперь выполним вычитание во второй скобке:

$16 - 9\frac{11}{14}$

Представим 16 как $15 + 1 = 15\frac{14}{14}$:

$15\frac{14}{14} - 9\frac{11}{14}$

Вычтем целые части: $15 - 9 = 6$.

Вычтем дробные части: $\frac{14}{14} - \frac{11}{14} = \frac{3}{14}$.

Результат второго действия: $6\frac{3}{14}$.

3. Выполним вычитание результатов первого и второго действий:

$27\frac{11}{35} - 6\frac{3}{14}$

Вычтем целые части: $27 - 6 = 21$.

Вычтем дробные части, приведя их к общему знаменателю 70 (наименьшее общее кратное чисел 35 и 14):

$\frac{11}{35} - \frac{3}{14} = \frac{11 \cdot 2}{35 \cdot 2} - \frac{3 \cdot 5}{14 \cdot 5} = \frac{22}{70} - \frac{15}{70} = \frac{7}{70}$

Сократим полученную дробь: $\frac{7}{70} = \frac{1}{10}$.

Итоговый результат: $21 + \frac{1}{10} = 21\frac{1}{10}$.

Ответ: $21\frac{1}{10}$.

Помогло решение? Оставьте отзыв в комментариях ниже.

Присоединяйтесь к Телеграм-группе @gdz_by_belarus

Присоединиться

Мы подготовили для вас ответ c подробным объяснением домашего задания по математике за 5 класс, для упражнения номер 6 расположенного на странице 116 к сборнику задач 2019 года издания для учащихся школ и гимназий.

Теперь на нашем сайте ГДЗ.ТОП вы всегда легко и бесплатно найдёте условие с правильным ответом на вопрос «Как решить ДЗ» и «Как сделать» задание по математике к упражнению №6 (с. 116), авторов: Пирютко (Ольга Николаевна), Терешко (Оксана Александровна), Герасимов (Валерий Дмитриевич), учебного пособия издательства Адукацыя i выхаванне.