Номер 32.26, страница 154 - гдз по алгебре 7-9 класс сборник задач Арефьева, Пирютко

Алгебра, 7-9 класс Сборник задач, авторы: Арефьева Ирина Глебовна, Пирютко Ольга Николаевна, издательство Народная асвета, Минск, 2020

Авторы: Арефьева И. Г., Пирютко О. Н.

Тип: Сборник задач

Издательство: Народная асвета

Год издания: 2020 - 2026

Цвет обложки: синий с графиками

Допущено Министерством образования Республики Беларусь

Популярные ГДЗ в 7 классе

9 класс. Параграф 32. Рациональная дробь. Сокращение рациональных дробей - номер 32.26, страница 154.

№32.26 (с. 154)
Условие. №32.26 (с. 154)
скриншот условия
Алгебра, 7-9 класс Сборник задач, авторы: Арефьева Ирина Глебовна, Пирютко Ольга Николаевна, издательство Народная асвета, Минск, 2020, страница 154, номер 32.26, Условие

32.26. Сократите дробь:

а) $\frac{a^2 - 16}{ax - 4x}$;

б) $\frac{81 - a^2}{ab^2 + 9b^2}$;

в) $\frac{x^2 - 2xy + y^2}{3x^2 - 3y^2}$;

г) $\frac{4a^2 + 8ab + 4b^2}{14a^2 - 14b^2}$;

д) $\frac{3a^3 - a^2b}{b^2 - 6ab + 9a^2}$;

е) $\frac{x^4 - 16y^4}{x^2 + 4y^2}$.

Решение. №32.26 (с. 154)
Алгебра, 7-9 класс Сборник задач, авторы: Арефьева Ирина Глебовна, Пирютко Ольга Николаевна, издательство Народная асвета, Минск, 2020, страница 154, номер 32.26, Решение Алгебра, 7-9 класс Сборник задач, авторы: Арефьева Ирина Глебовна, Пирютко Ольга Николаевна, издательство Народная асвета, Минск, 2020, страница 154, номер 32.26, Решение (продолжение 2)
Решение 2. №32.26 (с. 154)

а)

Исходная дробь: $\frac{a^2 - 16}{ax - 4x}$.

Чтобы сократить дробь, необходимо разложить на множители числитель и знаменатель.

1. Разложим на множители числитель $a^2 - 16$. Это выражение представляет собой разность квадратов $a^2 - 4^2$. Воспользуемся формулой разности квадратов: $x^2 - y^2 = (x-y)(x+y)$.
$a^2 - 16 = (a-4)(a+4)$.

2. Разложим на множители знаменатель $ax - 4x$. Вынесем общий множитель $x$ за скобки:
$ax - 4x = x(a-4)$.

3. Подставим полученные выражения в дробь:
$\frac{a^2 - 16}{ax - 4x} = \frac{(a-4)(a+4)}{x(a-4)}$.

4. Сократим общий множитель $(a-4)$ в числителе и знаменателе (при условии, что $a-4 \neq 0$):
$\frac{\cancel{(a-4)}(a+4)}{x\cancel{(a-4)}} = \frac{a+4}{x}$.

Ответ: $\frac{a+4}{x}$.


б)

Исходная дробь: $\frac{81 - a^2}{ab^2 + 9b^2}$.

1. Разложим на множители числитель $81 - a^2$. Это разность квадратов $9^2 - a^2$.
$81 - a^2 = (9-a)(9+a)$.

2. Разложим на множители знаменатель $ab^2 + 9b^2$. Вынесем общий множитель $b^2$ за скобки:
$ab^2 + 9b^2 = b^2(a+9)$.

3. Подставим полученные выражения в дробь. Заметим, что $(9+a) = (a+9)$.
$\frac{81 - a^2}{ab^2 + 9b^2} = \frac{(9-a)(9+a)}{b^2(a+9)}$.

4. Сократим общий множитель $(a+9)$ (при условии, что $a+9 \neq 0$):
$\frac{(9-a)\cancel{(a+9)}}{b^2\cancel{(a+9)}} = \frac{9-a}{b^2}$.

Ответ: $\frac{9-a}{b^2}$.


в)

Исходная дробь: $\frac{x^2 - 2xy + y^2}{3x^2 - 3y^2}$.

1. Разложим на множители числитель $x^2 - 2xy + y^2$. Это формула квадрата разности: $(a-b)^2 = a^2 - 2ab + b^2$.
$x^2 - 2xy + y^2 = (x-y)^2$.

2. Разложим на множители знаменатель $3x^2 - 3y^2$. Сначала вынесем общий множитель 3, а затем применим формулу разности квадратов:
$3x^2 - 3y^2 = 3(x^2 - y^2) = 3(x-y)(x+y)$.

3. Подставим полученные выражения в дробь:
$\frac{x^2 - 2xy + y^2}{3x^2 - 3y^2} = \frac{(x-y)^2}{3(x-y)(x+y)}$.

4. Сократим общий множитель $(x-y)$ (при условии, что $x-y \neq 0$):
$\frac{(x-y)\cancel{^2}}{3\cancel{(x-y)}(x+y)} = \frac{x-y}{3(x+y)}$.

Ответ: $\frac{x-y}{3(x+y)}$.


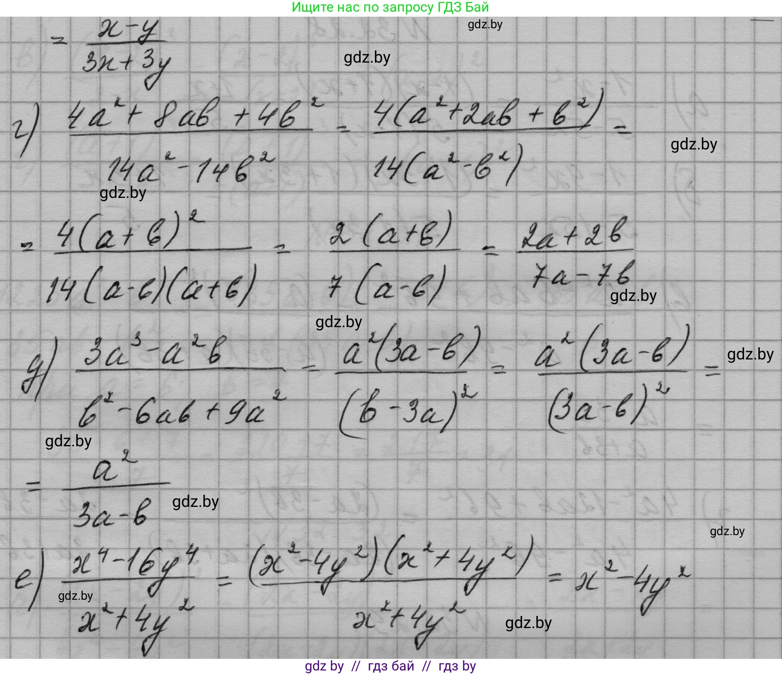
г)

Исходная дробь: $\frac{4a^2 + 8ab + 4b^2}{14a^2 - 14b^2}$.

1. Разложим на множители числитель $4a^2 + 8ab + 4b^2$. Вынесем общий множитель 4, затем применим формулу квадрата суммы $(x+y)^2 = x^2+2xy+y^2$:
$4a^2 + 8ab + 4b^2 = 4(a^2 + 2ab + b^2) = 4(a+b)^2$.

2. Разложим на множители знаменатель $14a^2 - 14b^2$. Вынесем общий множитель 14, затем применим формулу разности квадратов:
$14a^2 - 14b^2 = 14(a^2 - b^2) = 14(a-b)(a+b)$.

3. Подставим полученные выражения в дробь:
$\frac{4a^2 + 8ab + 4b^2}{14a^2 - 14b^2} = \frac{4(a+b)^2}{14(a-b)(a+b)}$.

4. Сократим числовые коэффициенты ($\frac{4}{14} = \frac{2}{7}$) и общий множитель $(a+b)$ (при условии, что $a+b \neq 0$):
$\frac{2 \cdot \cancel{2}(a+b)\cancel{^2}}{7 \cdot \cancel{2}(a-b)\cancel{(a+b)}} = \frac{2(a+b)}{7(a-b)}$.

Ответ: $\frac{2(a+b)}{7(a-b)}$.


д)

Исходная дробь: $\frac{3a^3 - a^2b}{b^2 - 6ab + 9a^2}$.

1. Разложим на множители числитель $3a^3 - a^2b$. Вынесем общий множитель $a^2$ за скобки:
$3a^3 - a^2b = a^2(3a - b)$.

2. Разложим на множители знаменатель $b^2 - 6ab + 9a^2$. Перепишем его в стандартном виде $9a^2 - 6ab + b^2$. Это формула квадрата разности $(x-y)^2 = x^2-2xy+y^2$:
$9a^2 - 6ab + b^2 = (3a-b)^2$.

3. Подставим полученные выражения в дробь:
$\frac{3a^3 - a^2b}{b^2 - 6ab + 9a^2} = \frac{a^2(3a-b)}{(3a-b)^2}$.

4. Сократим общий множитель $(3a-b)$ (при условии, что $3a-b \neq 0$):
$\frac{a^2\cancel{(3a-b)}}{(3a-b)\cancel{^2}} = \frac{a^2}{3a-b}$.

Ответ: $\frac{a^2}{3a-b}$.


е)

Исходная дробь: $\frac{x^4 - 16y^4}{x^2 + 4y^2}$.

1. Разложим на множители числитель $x^4 - 16y^4$. Это разность квадратов $(x^2)^2 - (4y^2)^2$.
$x^4 - 16y^4 = (x^2 - 4y^2)(x^2 + 4y^2)$.

2. Знаменатель $x^2 + 4y^2$ является суммой квадратов и далее не раскладывается на множители с действительными коэффициентами.

3. Подставим разложенный числитель в дробь:
$\frac{x^4 - 16y^4}{x^2 + 4y^2} = \frac{(x^2 - 4y^2)(x^2 + 4y^2)}{x^2 + 4y^2}$.

4. Сократим общий множитель $(x^2 + 4y^2)$ (он не равен нулю, если $x$ и $y$ не равны нулю одновременно):
$\frac{(x^2 - 4y^2)\cancel{(x^2 + 4y^2)}}{\cancel{x^2 + 4y^2}} = x^2 - 4y^2$.

Полученное выражение $x^2 - 4y^2$ также является разностью квадратов и может быть записано как $(x-2y)(x+2y)$. Оба варианта являются правильными.

Ответ: $x^2 - 4y^2$.

Помогло решение? Оставьте отзыв в комментариях ниже.

Присоединяйтесь к Телеграм-группе @gdz_by_belarus

Присоединиться

Мы подготовили для вас ответ c подробным объяснением домашего задания по алгебре за 7-9 класс, для упражнения номер 32.26 расположенного на странице 154 к сборнику задач 2020 года издания для учащихся школ и гимназий.

Теперь на нашем сайте ГДЗ.ТОП вы всегда легко и бесплатно найдёте условие с правильным ответом на вопрос «Как решить ДЗ» и «Как сделать» задание по алгебре к упражнению №32.26 (с. 154), авторов: Арефьева (Ирина Глебовна), Пирютко (Ольга Николаевна), учебного пособия издательства Народная асвета.