Номер 32.35, страница 156 - гдз по алгебре 7-9 класс сборник задач Арефьева, Пирютко

Алгебра, 7-9 класс Сборник задач, авторы: Арефьева Ирина Глебовна, Пирютко Ольга Николаевна, издательство Народная асвета, Минск, 2020

Авторы: Арефьева И. Г., Пирютко О. Н.

Тип: Сборник задач

Издательство: Народная асвета

Год издания: 2020 - 2026

Цвет обложки: синий с графиками

Допущено Министерством образования Республики Беларусь

Популярные ГДЗ в 7 классе

9 класс. Параграф 32. Рациональная дробь. Сокращение рациональных дробей - номер 32.35, страница 156.

№32.35 (с. 156)
Условие. №32.35 (с. 156)
скриншот условия
Алгебра, 7-9 класс Сборник задач, авторы: Арефьева Ирина Глебовна, Пирютко Ольга Николаевна, издательство Народная асвета, Минск, 2020, страница 156, номер 32.35, Условие

32.35. Представьте в виде несократимой дроби выражение:

а) $ \frac{x^2 - 4x + 4}{(x+5)^2 - 49} $

б) $ \frac{y^2 + 14y + 49}{(y+3)^2 - 16} $

Решение. №32.35 (с. 156)
Алгебра, 7-9 класс Сборник задач, авторы: Арефьева Ирина Глебовна, Пирютко Ольга Николаевна, издательство Народная асвета, Минск, 2020, страница 156, номер 32.35, Решение
Решение 2. №32.35 (с. 156)

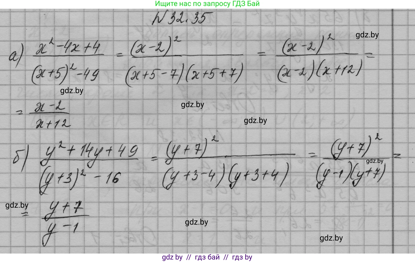
а)

Чтобы представить данное выражение в виде несократимой дроби, необходимо разложить на множители числитель и знаменатель, а затем сократить общие множители.

Рассмотрим числитель дроби: $x^2 - 4x + 4$. Это выражение является полным квадратом разности, так как соответствует формуле $a^2 - 2ab + b^2 = (a-b)^2$. В нашем случае $a=x$ и $b=2$.

$x^2 - 4x + 4 = x^2 - 2 \cdot x \cdot 2 + 2^2 = (x-2)^2$.

Рассмотрим знаменатель дроби: $(x+5)^2 - 49$. Это выражение является разностью квадратов, так как соответствует формуле $A^2 - B^2 = (A-B)(A+B)$. В нашем случае $A = (x+5)$ и $B = \sqrt{49} = 7$.

$(x+5)^2 - 49 = (x+5)^2 - 7^2 = ((x+5) - 7)((x+5) + 7) = (x-2)(x+12)$.

Теперь подставим разложенные на множители числитель и знаменатель обратно в исходную дробь:

$\frac{x^2 - 4x + 4}{(x+5)^2 - 49} = \frac{(x-2)^2}{(x-2)(x+12)}$.

Сократим дробь на общий множитель $(x-2)$:

$\frac{(x-2)\cdot(x-2)}{(x-2)\cdot(x+12)} = \frac{x-2}{x+12}$.

Ответ: $\frac{x-2}{x+12}$

б)

Аналогично пункту а), разложим на множители числитель и знаменатель дроби.

Рассмотрим числитель: $y^2 + 14y + 49$. Это выражение является полным квадратом суммы, так как соответствует формуле $a^2 + 2ab + b^2 = (a+b)^2$. В нашем случае $a=y$ и $b=7$.

$y^2 + 14y + 49 = y^2 + 2 \cdot y \cdot 7 + 7^2 = (y+7)^2$.

Рассмотрим знаменатель: $(y+3)^2 - 16$. Это выражение является разностью квадратов, так как соответствует формуле $A^2 - B^2 = (A-B)(A+B)$. В нашем случае $A = (y+3)$ и $B = \sqrt{16} = 4$.

$(y+3)^2 - 16 = (y+3)^2 - 4^2 = ((y+3) - 4)((y+3) + 4) = (y-1)(y+7)$.

Теперь подставим разложенные на множители числитель и знаменатель обратно в исходную дробь:

$\frac{y^2 + 14y + 49}{(y+3)^2 - 16} = \frac{(y+7)^2}{(y-1)(y+7)}$.

Сократим дробь на общий множитель $(y+7)$:

$\frac{(y+7)\cdot(y+7)}{(y-1)\cdot(y+7)} = \frac{y+7}{y-1}$.

Ответ: $\frac{y+7}{y-1}$

Помогло решение? Оставьте отзыв в комментариях ниже.

Присоединяйтесь к Телеграм-группе @gdz_by_belarus

Присоединиться

Мы подготовили для вас ответ c подробным объяснением домашего задания по алгебре за 7-9 класс, для упражнения номер 32.35 расположенного на странице 156 к сборнику задач 2020 года издания для учащихся школ и гимназий.

Теперь на нашем сайте ГДЗ.ТОП вы всегда легко и бесплатно найдёте условие с правильным ответом на вопрос «Как решить ДЗ» и «Как сделать» задание по алгебре к упражнению №32.35 (с. 156), авторов: Арефьева (Ирина Глебовна), Пирютко (Ольга Николаевна), учебного пособия издательства Народная асвета.