Номер 33.53, страница 164 - гдз по алгебре 7-9 класс сборник задач Арефьева, Пирютко

Алгебра, 7-9 класс Сборник задач, авторы: Арефьева Ирина Глебовна, Пирютко Ольга Николаевна, издательство Народная асвета, Минск, 2020

Авторы: Арефьева И. Г., Пирютко О. Н.

Тип: Сборник задач

Издательство: Народная асвета

Год издания: 2020 - 2026

Цвет обложки: синий с графиками

Допущено Министерством образования Республики Беларусь

Популярные ГДЗ в 7 классе

9 класс. Параграф 33. Действия с рациональными дробями - номер 33.53, страница 164.

№33.53 (с. 164)
Условие. №33.53 (с. 164)
скриншот условия
Алгебра, 7-9 класс Сборник задач, авторы: Арефьева Ирина Глебовна, Пирютко Ольга Николаевна, издательство Народная асвета, Минск, 2020, страница 164, номер 33.53, Условие

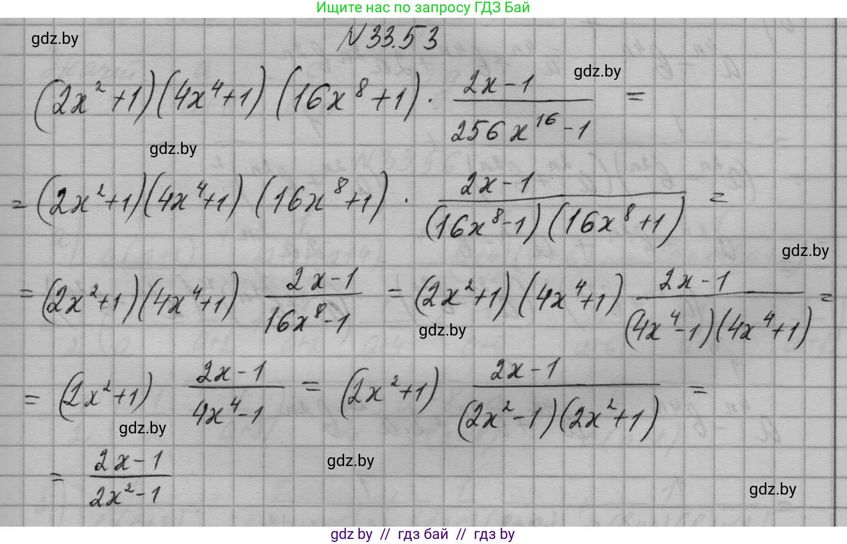
33.53*. Упростите выражение

$(2x^2 + 1)(4x^4 + 1)(16x^8 + 1) \cdot \frac{2x - 1}{256x^{16} - 1}$

Решение. №33.53 (с. 164)
Алгебра, 7-9 класс Сборник задач, авторы: Арефьева Ирина Глебовна, Пирютко Ольга Николаевна, издательство Народная асвета, Минск, 2020, страница 164, номер 33.53, Решение
Решение 2. №33.53 (с. 164)

Чтобы упростить данное выражение, $(2x^2 + 1)(4x^4 + 1)(16x^8 + 1) \cdot \frac{2x - 1}{256x^{16} - 1}$, мы воспользуемся формулой разности квадратов $a^2 - b^2 = (a-b)(a+b)$ несколько раз.

Сначала рассмотрим произведение многочленов: $P = (2x^2 + 1)(4x^4 + 1)(16x^8 + 1)$. Это выражение похоже на часть телескопического произведения. Чтобы "свернуть" его, нам не хватает множителя $(2x^2 - 1)$. Домножим и разделим произведение $P$ на $(2x^2 - 1)$ (при условии, что $2x^2 - 1 \neq 0$):

$P = \frac{(2x^2 - 1)(2x^2 + 1)(4x^4 + 1)(16x^8 + 1)}{2x^2 - 1}$

Теперь последовательно применяем формулу разности квадратов к числителю:

1. $(2x^2 - 1)(2x^2 + 1) = (2x^2)^2 - 1^2 = 4x^4 - 1$.
После этого числитель становится: $(4x^4 - 1)(4x^4 + 1)(16x^8 + 1)$.

2. $(4x^4 - 1)(4x^4 + 1) = (4x^4)^2 - 1^2 = 16x^8 - 1$.
Теперь числитель равен: $(16x^8 - 1)(16x^8 + 1)$.

3. $(16x^8 - 1)(16x^8 + 1) = (16x^8)^2 - 1^2 = 256x^{16} - 1$.

Таким образом, мы получили, что $P = (2x^2 + 1)(4x^4 + 1)(16x^8 + 1) = \frac{256x^{16} - 1}{2x^2 - 1}$.

Теперь подставим это в исходное выражение:

$\frac{256x^{16} - 1}{2x^2 - 1} \cdot \frac{2x - 1}{256x^{16} - 1}$

Сократим общий множитель $(256x^{16} - 1)$ в числителе и знаменателе (при условии, что он не равен нулю):

$\frac{1}{2x^2 - 1} \cdot (2x - 1) = \frac{2x - 1}{2x^2 - 1}$

Ответ: $\frac{2x - 1}{2x^2 - 1}$

Помогло решение? Оставьте отзыв в комментариях ниже.

Присоединяйтесь к Телеграм-группе @gdz_by_belarus

Присоединиться

Мы подготовили для вас ответ c подробным объяснением домашего задания по алгебре за 7-9 класс, для упражнения номер 33.53 расположенного на странице 164 к сборнику задач 2020 года издания для учащихся школ и гимназий.

Теперь на нашем сайте ГДЗ.ТОП вы всегда легко и бесплатно найдёте условие с правильным ответом на вопрос «Как решить ДЗ» и «Как сделать» задание по алгебре к упражнению №33.53 (с. 164), авторов: Арефьева (Ирина Глебовна), Пирютко (Ольга Николаевна), учебного пособия издательства Народная асвета.