Номер 34.9, страница 166 - гдз по алгебре 7-9 класс сборник задач Арефьева, Пирютко

Алгебра, 7-9 класс Сборник задач, авторы: Арефьева Ирина Глебовна, Пирютко Ольга Николаевна, издательство Народная асвета, Минск, 2020

Авторы: Арефьева И. Г., Пирютко О. Н.

Тип: Сборник задач

Издательство: Народная асвета

Год издания: 2020 - 2026

Цвет обложки: синий с графиками

Допущено Министерством образования Республики Беларусь

Популярные ГДЗ в 7 классе

9 класс. Параграф 34. Преобразования рациональных выражений - номер 34.9, страница 166.

№34.9 (с. 166)
Условие. №34.9 (с. 166)
скриншот условия
Алгебра, 7-9 класс Сборник задач, авторы: Арефьева Ирина Глебовна, Пирютко Ольга Николаевна, издательство Народная асвета, Минск, 2020, страница 166, номер 34.9, Условие

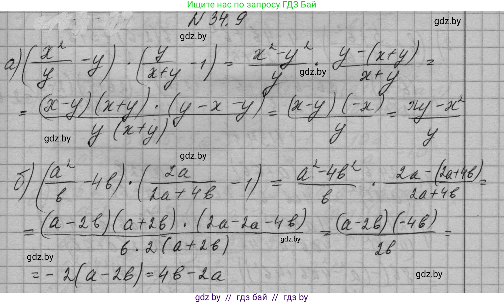
34.9. Упростите выражение:

а) $(\frac{x^2}{y} - y) \cdot (\frac{y}{x+y} - 1)$;

б) $(\frac{a^2}{b} - 4b) \cdot (\frac{2a}{2a+4b} - 1)$.

Решение. №34.9 (с. 166)
Алгебра, 7-9 класс Сборник задач, авторы: Арефьева Ирина Глебовна, Пирютко Ольга Николаевна, издательство Народная асвета, Минск, 2020, страница 166, номер 34.9, Решение
Решение 2. №34.9 (с. 166)

а)

Для упрощения выражения выполним действия поочередно. Сначала преобразуем выражения в каждой из скобок.

1. Преобразуем первую скобку, приведя слагаемые к общему знаменателю $y$:
$ \left(\frac{x^2}{y} - y\right) = \frac{x^2}{y} - \frac{y \cdot y}{y} = \frac{x^2 - y^2}{y} $
В числителе получили разность квадратов, которую можно разложить на множители по формуле $a^2 - b^2 = (a-b)(a+b)$:
$ \frac{x^2 - y^2}{y} = \frac{(x-y)(x+y)}{y} $

2. Преобразуем вторую скобку, приведя слагаемые к общему знаменателю $(x+y)$:
$ \left(\frac{y}{x+y} - 1\right) = \frac{y}{x+y} - \frac{x+y}{x+y} = \frac{y - (x+y)}{x+y} = \frac{y - x - y}{x+y} = \frac{-x}{x+y} $

3. Теперь перемножим результаты преобразований:
$ \frac{(x-y)(x+y)}{y} \cdot \left(\frac{-x}{x+y}\right) $
Сократим общий множитель $(x+y)$ в числителе первого выражения и знаменателе второго:
$ \frac{(x-y)\cancel{(x+y)}}{y} \cdot \frac{-x}{\cancel{x+y}} = \frac{x-y}{y} \cdot (-x) = \frac{-x(x-y)}{y} $

Раскроем скобки в числителе для получения окончательного вида:
$ \frac{-x^2 + xy}{y} = \frac{xy - x^2}{y} $

Ответ: $ \frac{xy - x^2}{y} $

б)

Упростим данное выражение, выполнив действия в скобках, а затем умножение.

1. Упростим выражение в первой скобке, приведя к общему знаменателю $b$:
$ \left(\frac{a^2}{b} - 4b\right) = \frac{a^2}{b} - \frac{4b \cdot b}{b} = \frac{a^2 - 4b^2}{b} $
В числителе используем формулу разности квадратов $x^2 - y^2 = (x-y)(x+y)$, где $x=a$ и $y=2b$:
$ \frac{a^2 - (2b)^2}{b} = \frac{(a-2b)(a+2b)}{b} $

2. Упростим выражение во второй скобке. Сначала можно упростить дробь, вынеся общий множитель $2$ в знаменателе:
$ \frac{2a}{2a+4b} = \frac{2a}{2(a+2b)} = \frac{a}{a+2b} $
Теперь выполним вычитание в скобках, приведя к общему знаменателю $(a+2b)$:
$ \left(\frac{a}{a+2b} - 1\right) = \frac{a}{a+2b} - \frac{a+2b}{a+2b} = \frac{a - (a+2b)}{a+2b} = \frac{a - a - 2b}{a+2b} = \frac{-2b}{a+2b} $

3. Перемножим полученные упрощенные выражения:
$ \frac{(a-2b)(a+2b)}{b} \cdot \frac{-2b}{a+2b} $
Сократим общие множители $(a+2b)$ и $b$:
$ \frac{(a-2b)\cancel{(a+2b)}}{\cancel{b}} \cdot \frac{-2\cancel{b}}{\cancel{a+2b}} = (a-2b) \cdot (-2) $

Раскроем скобки:
$ (a-2b) \cdot (-2) = -2a + 4b = 4b - 2a $

Ответ: $ 4b - 2a $

Помогло решение? Оставьте отзыв в комментариях ниже.

Присоединяйтесь к Телеграм-группе @gdz_by_belarus

Присоединиться

Мы подготовили для вас ответ c подробным объяснением домашего задания по алгебре за 7-9 класс, для упражнения номер 34.9 расположенного на странице 166 к сборнику задач 2020 года издания для учащихся школ и гимназий.

Теперь на нашем сайте ГДЗ.ТОП вы всегда легко и бесплатно найдёте условие с правильным ответом на вопрос «Как решить ДЗ» и «Как сделать» задание по алгебре к упражнению №34.9 (с. 166), авторов: Арефьева (Ирина Глебовна), Пирютко (Ольга Николаевна), учебного пособия издательства Народная асвета.