Номер 34.17, страница 167 - гдз по алгебре 7-9 класс сборник задач Арефьева, Пирютко

Алгебра, 7-9 класс Сборник задач, авторы: Арефьева Ирина Глебовна, Пирютко Ольга Николаевна, издательство Народная асвета, Минск, 2020

Авторы: Арефьева И. Г., Пирютко О. Н.

Тип: Сборник задач

Издательство: Народная асвета

Год издания: 2020 - 2026

Цвет обложки: синий с графиками

Допущено Министерством образования Республики Беларусь

Популярные ГДЗ в 7 классе

9 класс. Параграф 34. Преобразования рациональных выражений - номер 34.17, страница 167.

№34.17 (с. 167)
Условие. №34.17 (с. 167)
скриншот условия
Алгебра, 7-9 класс Сборник задач, авторы: Арефьева Ирина Глебовна, Пирютко Ольга Николаевна, издательство Народная асвета, Минск, 2020, страница 167, номер 34.17, Условие

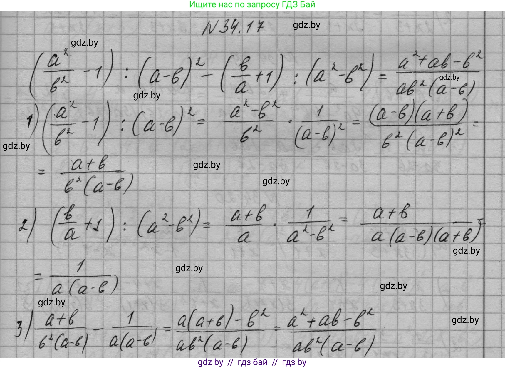
34.17. Представьте выражение $\left(\frac{a^2}{b^2}-1\right):(a-b)^2-\left(\frac{b}{a}+1\right):\left(a^2-b^2\right)$ в виде дроби.

Решение. №34.17 (с. 167)
Алгебра, 7-9 класс Сборник задач, авторы: Арефьева Ирина Глебовна, Пирютко Ольга Николаевна, издательство Народная асвета, Минск, 2020, страница 167, номер 34.17, Решение
Решение 2. №34.17 (с. 167)

Чтобы представить данное выражение в виде дроби, необходимо последовательно выполнить все алгебраические операции, соблюдая их порядок: сначала действия в скобках, затем деление и умножение, и в конце сложение и вычитание.

Исходное выражение:

$ (\frac{a^2}{b^2} - 1) : \left((a-b)^2 - \left(\frac{b}{a}+1\right):\left(a^2-b^2\right)\right) $

1. Упростим первое выражение в скобках (делимое).

Приведем разность к общему знаменателю $b^2$:

$ \frac{a^2}{b^2} - 1 = \frac{a^2}{b^2} - \frac{b^2}{b^2} = \frac{a^2 - b^2}{b^2} $

Используем формулу разности квадратов $a^2 - b^2 = (a-b)(a+b)$ для числителя:

$ \frac{a^2 - b^2}{b^2} = \frac{(a-b)(a+b)}{b^2} $

2. Упростим второе большое выражение в скобках (делитель).

Выражение: $ (a-b)^2 - (\frac{b}{a}+1):(a^2-b^2) $

В этом выражении, согласно порядку действий, сначала необходимо выполнить деление $ (\frac{b}{a}+1):(a^2-b^2) $.

2.1. Преобразуем части этого деления.

Приведем к общему знаменателю выражение в первой скобке:

$ \frac{b}{a}+1 = \frac{b}{a} + \frac{a}{a} = \frac{a+b}{a} $

Разложим на множители выражение во второй скобке:

$ a^2-b^2 = (a-b)(a+b) $

2.2. Выполним деление.

$ (\frac{b}{a}+1):(a^2-b^2) = \frac{a+b}{a} : ((a-b)(a+b)) $

Заменим деление умножением на обратную величину:

$ \frac{a+b}{a} \cdot \frac{1}{(a-b)(a+b)} $

Сократим общий множитель $ (a+b) $:

$ \frac{1}{a(a-b)} $

2.3. Выполним вычитание в делителе.

Подставим полученный результат обратно в выражение для делителя:

$ (a-b)^2 - \frac{1}{a(a-b)} $

Приведем к общему знаменателю $ a(a-b) $:

$ \frac{(a-b)^2 \cdot a(a-b)}{a(a-b)} - \frac{1}{a(a-b)} = \frac{a(a-b)^3 - 1}{a(a-b)} $

3. Выполним основное деление.

Теперь разделим результат, полученный в шаге 1, на результат, полученный в шаге 2:

$ \frac{(a-b)(a+b)}{b^2} : \frac{a(a-b)^3 - 1}{a(a-b)} $

Заменим деление умножением на обратную дробь:

$ \frac{(a-b)(a+b)}{b^2} \cdot \frac{a(a-b)}{a(a-b)^3 - 1} $

Перемножим числители и знаменатели соответственно:

$ \frac{a(a-b)(a+b)(a-b)}{b^2(a(a-b)^3 - 1)} $

Сгруппируем множители в числителе:

$ \frac{a(a-b)^2(a+b)}{b^2(a(a-b)^3 - 1)} $

Дальнейшее упрощение невозможно. Это и есть итоговое выражение в виде дроби.

Ответ: $ \frac{a(a-b)^2(a+b)}{b^2(a(a-b)^3 - 1)} $

Помогло решение? Оставьте отзыв в комментариях ниже.

Присоединяйтесь к Телеграм-группе @gdz_by_belarus

Присоединиться

Мы подготовили для вас ответ c подробным объяснением домашего задания по алгебре за 7-9 класс, для упражнения номер 34.17 расположенного на странице 167 к сборнику задач 2020 года издания для учащихся школ и гимназий.

Теперь на нашем сайте ГДЗ.ТОП вы всегда легко и бесплатно найдёте условие с правильным ответом на вопрос «Как решить ДЗ» и «Как сделать» задание по алгебре к упражнению №34.17 (с. 167), авторов: Арефьева (Ирина Глебовна), Пирютко (Ольга Николаевна), учебного пособия издательства Народная асвета.