Номер 35.34, страница 177 - гдз по алгебре 7-9 класс сборник задач Арефьева, Пирютко

Алгебра, 7-9 класс Сборник задач, авторы: Арефьева Ирина Глебовна, Пирютко Ольга Николаевна, издательство Народная асвета, Минск, 2020

Авторы: Арефьева И. Г., Пирютко О. Н.

Тип: Сборник задач

Издательство: Народная асвета

Год издания: 2020 - 2026

Цвет обложки: синий с графиками

Допущено Министерством образования Республики Беларусь

Популярные ГДЗ в 7 классе

9 класс. Параграф 35. Функции - номер 35.34, страница 177.

№35.34 (с. 177)
Условие. №35.34 (с. 177)
скриншот условия
Алгебра, 7-9 класс Сборник задач, авторы: Арефьева Ирина Глебовна, Пирютко Ольга Николаевна, издательство Народная асвета, Минск, 2020, страница 177, номер 35.34, Условие

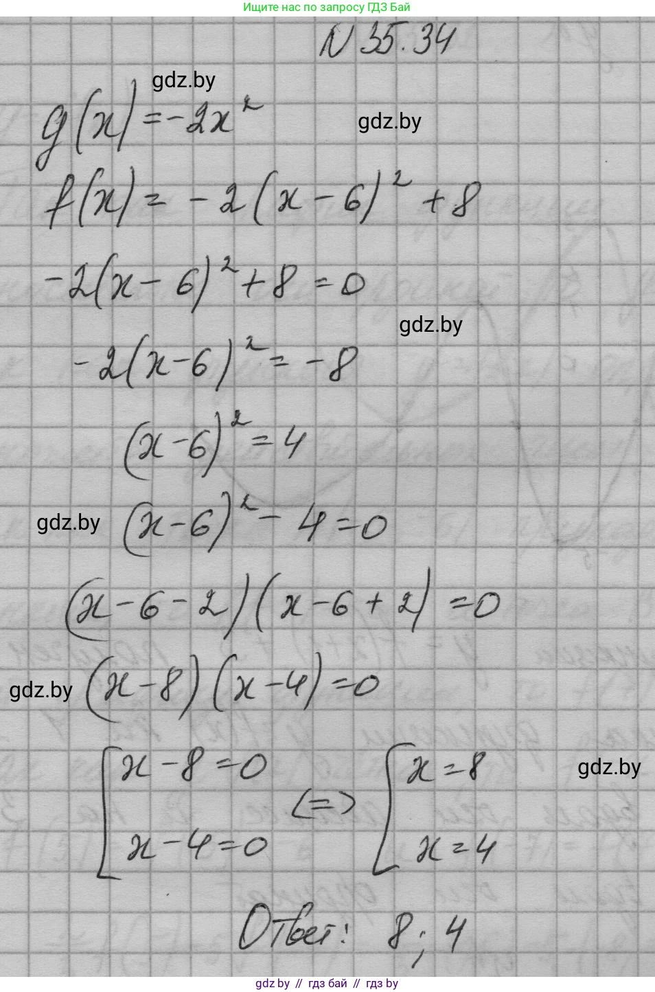
35.34. График функции $y = f(x)$ получен из графика функции $g(x) = -2x^2$ сдвигом его вдоль оси абсцисс на 6 единиц вправо и вдоль оси ординат на 8 единиц вверх. Найдите нули функции $y = f(x)$.

Решение. №35.34 (с. 177)
Алгебра, 7-9 класс Сборник задач, авторы: Арефьева Ирина Глебовна, Пирютко Ольга Николаевна, издательство Народная асвета, Минск, 2020, страница 177, номер 35.34, Решение
Решение 2. №35.34 (с. 177)

Чтобы найти формулу для функции $y = f(x)$, необходимо выполнить последовательные преобразования графика функции $g(x) = -2x^2$.

1. Сдвиг вдоль оси абсцисс на 6 единиц вправо.
Общее правило гласит, что сдвиг графика функции на $a$ единиц вправо по оси $Ox$ достигается заменой $x$ на $(x-a)$ в формуле функции. В нашем случае $a=6$.
После этого преобразования функция примет вид:
$y = g(x-6) = -2(x-6)^2$.

2. Сдвиг вдоль оси ординат на 8 единиц вверх.
Общее правило гласит, что сдвиг графика функции на $b$ единиц вверх по оси $Oy$ достигается прибавлением $b$ ко всей функции. В нашем случае $b=8$.
Применив это преобразование к результату первого шага, мы получим итоговую функцию $f(x)$:
$f(x) = -2(x-6)^2 + 8$.

Теперь найдем нули функции $y=f(x)$. Нули функции – это значения аргумента $x$, при которых значение функции равно нулю. Для этого необходимо решить уравнение $f(x) = 0$.

$-2(x-6)^2 + 8 = 0$

Перенесем 8 в правую часть уравнения:

$-2(x-6)^2 = -8$

Разделим обе части уравнения на -2:

$(x-6)^2 = \frac{-8}{-2}$

$(x-6)^2 = 4$

Извлечем квадратный корень из обеих частей уравнения:

$x-6 = \pm\sqrt{4}$

$x-6 = \pm 2$

Это уравнение дает два решения:

$x_1 - 6 = 2 \implies x_1 = 6 + 2 = 8$

$x_2 - 6 = -2 \implies x_2 = 6 - 2 = 4$

Таким образом, нулями функции являются $x=4$ и $x=8$.

Ответ: 4; 8.

Помогло решение? Оставьте отзыв в комментариях ниже.

Присоединяйтесь к Телеграм-группе @gdz_by_belarus

Присоединиться

Мы подготовили для вас ответ c подробным объяснением домашего задания по алгебре за 7-9 класс, для упражнения номер 35.34 расположенного на странице 177 к сборнику задач 2020 года издания для учащихся школ и гимназий.

Теперь на нашем сайте ГДЗ.ТОП вы всегда легко и бесплатно найдёте условие с правильным ответом на вопрос «Как решить ДЗ» и «Как сделать» задание по алгебре к упражнению №35.34 (с. 177), авторов: Арефьева (Ирина Глебовна), Пирютко (Ольга Николаевна), учебного пособия издательства Народная асвета.