Номер 36.14, страница 180 - гдз по алгебре 7-9 класс сборник задач Арефьева, Пирютко

Алгебра, 7-9 класс Сборник задач, авторы: Арефьева Ирина Глебовна, Пирютко Ольга Николаевна, издательство Народная асвета, Минск, 2020

Авторы: Арефьева И. Г., Пирютко О. Н.

Тип: Сборник задач

Издательство: Народная асвета

Год издания: 2020 - 2026

Цвет обложки: синий с графиками

Допущено Министерством образования Республики Беларусь

Популярные ГДЗ в 7 классе

9 класс. Параграф 36. Дробно-рациональные уравнения - номер 36.14, страница 180.

№36.14 (с. 180)
Условие. №36.14 (с. 180)
скриншот условия
Алгебра, 7-9 класс Сборник задач, авторы: Арефьева Ирина Глебовна, Пирютко Ольга Николаевна, издательство Народная асвета, Минск, 2020, страница 180, номер 36.14, Условие

36.14. Найдите корни уравнения:

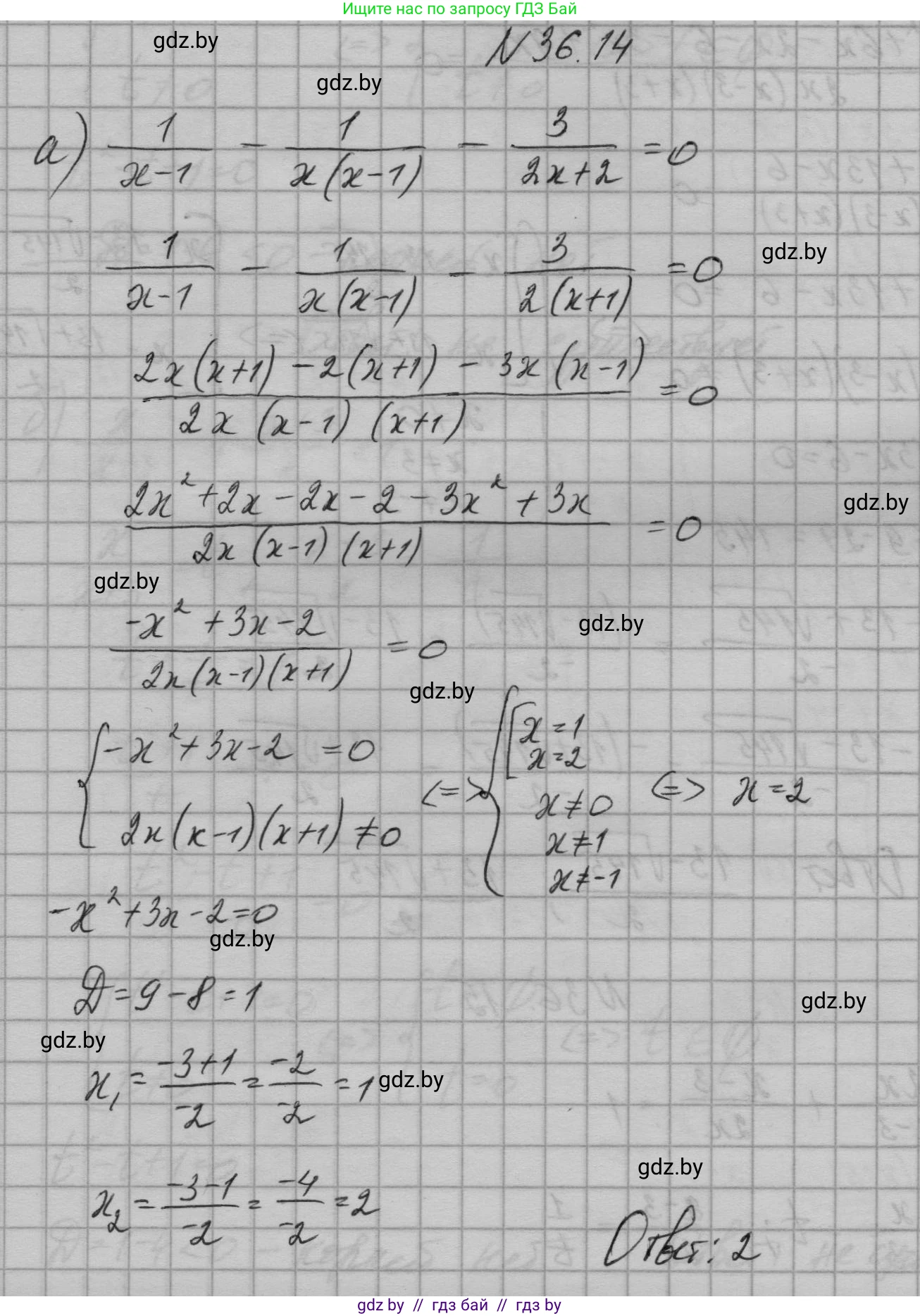
a) $ \frac{1}{x-1} - \frac{1}{x(x-1)} - \frac{3}{2x+2} = 0; $

б) $ \frac{1}{x-3} - \frac{1}{x(x-3)} - \frac{3}{2x+6} = 0. $

Решение. №36.14 (с. 180)
Алгебра, 7-9 класс Сборник задач, авторы: Арефьева Ирина Глебовна, Пирютко Ольга Николаевна, издательство Народная асвета, Минск, 2020, страница 180, номер 36.14, Решение Алгебра, 7-9 класс Сборник задач, авторы: Арефьева Ирина Глебовна, Пирютко Ольга Николаевна, издательство Народная асвета, Минск, 2020, страница 180, номер 36.14, Решение (продолжение 2)
Решение 2. №36.14 (с. 180)

а)

Исходное уравнение:

$$ \frac{1}{x-1} - \frac{1}{x(x-1)} - \frac{3}{2x+2} = 0 $$

Сначала определим область допустимых значений (ОДЗ). Знаменатели дробей не могут быть равны нулю:

$x-1 \neq 0 \implies x \neq 1$

$x(x-1) \neq 0 \implies x \neq 0$ и $x \neq 1$

$2x+2 \neq 0 \implies 2(x+1) \neq 0 \implies x \neq -1$

Таким образом, ОДЗ: $x \neq -1$, $x \neq 0$, $x \neq 1$.

Приведем все дроби к общему знаменателю. Сначала преобразуем знаменатель третьей дроби: $2x+2 = 2(x+1)$.

Общий знаменатель для дробей $\frac{1}{x-1}$, $\frac{1}{x(x-1)}$ и $\frac{3}{2(x+1)}$ равен $2x(x-1)(x+1)$.

Умножим обе части уравнения на общий знаменатель, чтобы избавиться от дробей:

$$ \frac{1 \cdot 2x(x+1)}{2x(x-1)(x+1)} - \frac{1 \cdot 2(x+1)}{2x(x-1)(x+1)} - \frac{3 \cdot x(x-1)}{2x(x-1)(x+1)} = 0 $$

Это равносильно решению уравнения с числителями при условии соблюдения ОДЗ:

$$ 2x(x+1) - 2(x+1) - 3x(x-1) = 0 $$

Раскроем скобки:

$$ 2x^2 + 2x - 2x - 2 - 3x^2 + 3x = 0 $$

Приведем подобные слагаемые:

$$ -x^2 + 3x - 2 = 0 $$

Умножим уравнение на -1 для удобства:

$$ x^2 - 3x + 2 = 0 $$

Это квадратное уравнение. Решим его. По теореме Виета, сумма корней равна 3, а произведение равно 2. Отсюда находим корни: $x_1=1$, $x_2=2$.

Также можно решить через дискриминант:

$D = b^2 - 4ac = (-3)^2 - 4 \cdot 1 \cdot 2 = 9 - 8 = 1$

$x_{1,2} = \frac{-b \pm \sqrt{D}}{2a} = \frac{3 \pm \sqrt{1}}{2}$

$x_1 = \frac{3+1}{2} = 2$

$x_2 = \frac{3-1}{2} = 1$

Теперь проверим, принадлежат ли найденные корни ОДЗ ($x \neq -1$, $x \neq 0$, $x \neq 1$).

Корень $x_1 = 2$ удовлетворяет ОДЗ.

Корень $x_2 = 1$ не удовлетворяет ОДЗ, так как при $x=1$ знаменатели $x-1$ и $x(x-1)$ обращаются в ноль. Следовательно, $x=1$ является посторонним корнем.

Таким образом, у уравнения только один корень.

Ответ: $2$.

б)

Исходное уравнение:

$$ \frac{1}{x-3} - \frac{1}{x(x-3)} - \frac{3}{2x+6} = 0 $$

Определим область допустимых значений (ОДЗ):

$x-3 \neq 0 \implies x \neq 3$

$x(x-3) \neq 0 \implies x \neq 0$ и $x \neq 3$

$2x+6 \neq 0 \implies 2(x+3) \neq 0 \implies x \neq -3$

ОДЗ: $x \neq -3$, $x \neq 0$, $x \neq 3$.

Преобразуем знаменатель третьей дроби $2x+6=2(x+3)$ и приведем уравнение к общему знаменателю $2x(x-3)(x+3)$:

$$ \frac{1 \cdot 2x(x+3)}{2x(x-3)(x+3)} - \frac{1 \cdot 2(x+3)}{2x(x-3)(x+3)} - \frac{3 \cdot x(x-3)}{2x(x-3)(x+3)} = 0 $$

Переходим к уравнению числителей с учетом ОДЗ:

$$ 2x(x+3) - 2(x+3) - 3x(x-3) = 0 $$

Раскрываем скобки:

$$ 2x^2 + 6x - 2x - 6 - 3x^2 + 9x = 0 $$

Приводим подобные слагаемые:

$$ -x^2 + 13x - 6 = 0 $$

Умножим на -1:

$$ x^2 - 13x + 6 = 0 $$

Решим это квадратное уравнение с помощью дискриминанта:

$D = b^2 - 4ac = (-13)^2 - 4 \cdot 1 \cdot 6 = 169 - 24 = 145$

Так как $D > 0$, уравнение имеет два действительных корня.

$x_{1,2} = \frac{-b \pm \sqrt{D}}{2a} = \frac{13 \pm \sqrt{145}}{2}$

Получаем два корня: $x_1 = \frac{13 + \sqrt{145}}{2}$ и $x_2 = \frac{13 - \sqrt{145}}{2}$.

Проверим, входят ли эти корни в ОДЗ ($x \neq -3, x \neq 0, x \neq 3$).

Поскольку $\sqrt{145}$ является иррациональным числом, очевидно, что оба корня не равны $-3$, $0$ или $3$.

Следовательно, оба корня являются решениями исходного уравнения.

Ответ: $\frac{13 \pm \sqrt{145}}{2}$.

Помогло решение? Оставьте отзыв в комментариях ниже.

Присоединяйтесь к Телеграм-группе @gdz_by_belarus

Присоединиться

Мы подготовили для вас ответ c подробным объяснением домашего задания по алгебре за 7-9 класс, для упражнения номер 36.14 расположенного на странице 180 к сборнику задач 2020 года издания для учащихся школ и гимназий.

Теперь на нашем сайте ГДЗ.ТОП вы всегда легко и бесплатно найдёте условие с правильным ответом на вопрос «Как решить ДЗ» и «Как сделать» задание по алгебре к упражнению №36.14 (с. 180), авторов: Арефьева (Ирина Глебовна), Пирютко (Ольга Николаевна), учебного пособия издательства Народная асвета.