Номер 36.22, страница 181 - гдз по алгебре 7-9 класс сборник задач Арефьева, Пирютко

Алгебра, 7-9 класс Сборник задач, авторы: Арефьева Ирина Глебовна, Пирютко Ольга Николаевна, издательство Народная асвета, Минск, 2020

Авторы: Арефьева И. Г., Пирютко О. Н.

Тип: Сборник задач

Издательство: Народная асвета

Год издания: 2020 - 2026

Цвет обложки: синий с графиками

Допущено Министерством образования Республики Беларусь

9 класс. Параграф 36. Дробно-рациональные уравнения - номер 36.22, страница 181.

№36.22 (с. 181)
Условие. №36.22 (с. 181)
скриншот условия
Алгебра, 7-9 класс Сборник задач, авторы: Арефьева Ирина Глебовна, Пирютко Ольга Николаевна, издательство Народная асвета, Минск, 2020, страница 181, номер 36.22, Условие

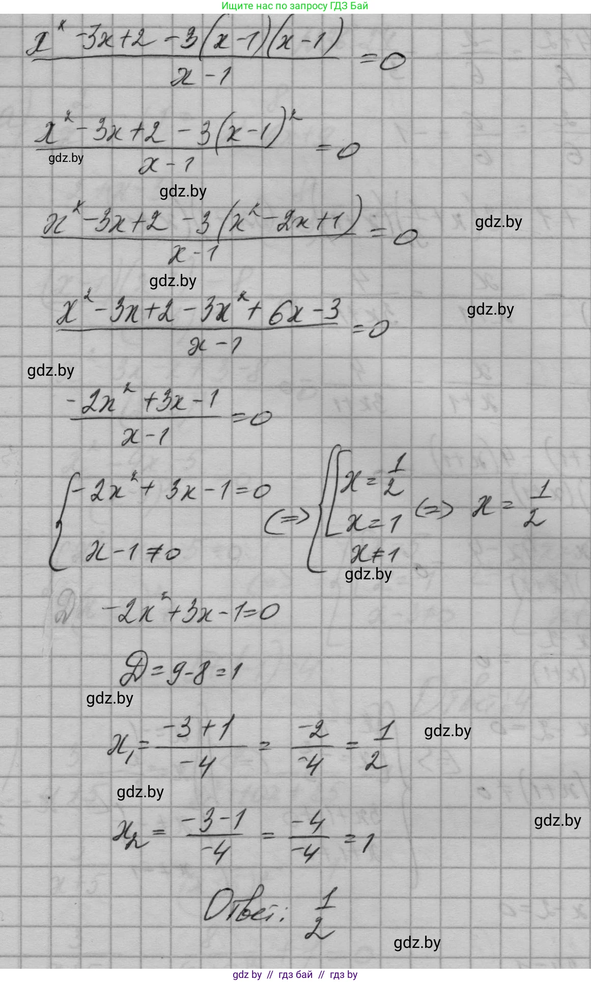
36.22. Найдите абсциссы точек пересечения графиков функций $f(x) = \frac{x^2 - 3x + 2}{x - 1}$ и $g(x) = 3(x - 1)$.

Решение. №36.22 (с. 181)
Алгебра, 7-9 класс Сборник задач, авторы: Арефьева Ирина Глебовна, Пирютко Ольга Николаевна, издательство Народная асвета, Минск, 2020, страница 181, номер 36.22, Решение Алгебра, 7-9 класс Сборник задач, авторы: Арефьева Ирина Глебовна, Пирютко Ольга Николаевна, издательство Народная асвета, Минск, 2020, страница 181, номер 36.22, Решение (продолжение 2)
Решение 2. №36.22 (с. 181)

Чтобы найти абсциссы точек пересечения графиков функций, нужно приравнять правые части их уравнений, то есть решить уравнение $f(x) = g(x)$.

$f(x) = \frac{x^2 - 3x + 2}{x - 1}$

$g(x) = 3(x - 1)$

Приравниваем функции:

$\frac{x^2 - 3x + 2}{x - 1} = 3(x - 1)$

Первым шагом найдем область допустимых значений (ОДЗ). Знаменатель дроби не может быть равен нулю:

$x - 1 \neq 0 \implies x \neq 1$

Теперь приступим к решению уравнения. Разложим числитель дроби $x^2 - 3x + 2$ на множители. Для этого найдем корни квадратного уравнения $x^2 - 3x + 2 = 0$. Используя теорему Виета, получаем, что сумма корней равна 3, а их произведение равно 2. Отсюда корни: $x_1 = 1$ и $x_2 = 2$.

Таким образом, числитель можно представить в виде $(x-1)(x-2)$.

Подставим разложенный на множители числитель обратно в уравнение:

$\frac{(x-1)(x-2)}{x-1} = 3(x-1)$

Так как $x \neq 1$ (согласно ОДЗ), мы можем сократить дробь на $(x-1)$:

$x - 2 = 3(x-1)$

Раскроем скобки и решим полученное линейное уравнение:

$x - 2 = 3x - 3$

Перенесем слагаемые с $x$ в одну сторону, а числовые значения — в другую:

$3 - 2 = 3x - x$

$1 = 2x$

$x = \frac{1}{2}$ или $x = 0.5$

Полученное значение $x = 0.5$ не противоречит ОДЗ ($x \neq 1$), следовательно, оно является решением.

Ответ: $0.5$

Помогло решение? Оставьте отзыв в комментариях ниже.

Присоединяйтесь к Телеграм-группе @gdz_by_belarus

Присоединиться

Мы подготовили для вас ответ c подробным объяснением домашего задания по алгебре за 7-9 класс, для упражнения номер 36.22 расположенного на странице 181 к сборнику задач 2020 года издания для учащихся школ и гимназий.

Теперь на нашем сайте ГДЗ.ТОП вы всегда легко и бесплатно найдёте условие с правильным ответом на вопрос «Как решить ДЗ» и «Как сделать» задание по алгебре к упражнению №36.22 (с. 181), авторов: Арефьева (Ирина Глебовна), Пирютко (Ольга Николаевна), учебного пособия издательства Народная асвета.