Номер 36.31, страница 182 - гдз по алгебре 7-9 класс сборник задач Арефьева, Пирютко

Алгебра, 7-9 класс Сборник задач, авторы: Арефьева Ирина Глебовна, Пирютко Ольга Николаевна, издательство Народная асвета, Минск, 2020

Авторы: Арефьева И. Г., Пирютко О. Н.

Тип: Сборник задач

Издательство: Народная асвета

Год издания: 2020 - 2026

Цвет обложки: синий с графиками

Допущено Министерством образования Республики Беларусь

Популярные ГДЗ в 7 классе

9 класс. Параграф 36. Дробно-рациональные уравнения - номер 36.31, страница 182.

№36.31 (с. 182)
Условие. №36.31 (с. 182)
скриншот условия
Алгебра, 7-9 класс Сборник задач, авторы: Арефьева Ирина Глебовна, Пирютко Ольга Николаевна, издательство Народная асвета, Минск, 2020, страница 182, номер 36.31, Условие

36.31. Решите уравнение:

а) $ \frac{2x}{x+4} + \frac{27}{2x^2+7x-4} = \frac{6}{2x-1} + 1; $

б) $ \frac{x+4}{2x^2+13x-45} + \frac{3}{2x^2-13x+20} = \frac{1}{x-4}. $

Решение. №36.31 (с. 182)
Алгебра, 7-9 класс Сборник задач, авторы: Арефьева Ирина Глебовна, Пирютко Ольга Николаевна, издательство Народная асвета, Минск, 2020, страница 182, номер 36.31, Решение Алгебра, 7-9 класс Сборник задач, авторы: Арефьева Ирина Глебовна, Пирютко Ольга Николаевна, издательство Народная асвета, Минск, 2020, страница 182, номер 36.31, Решение (продолжение 2)
Решение 2. №36.31 (с. 182)

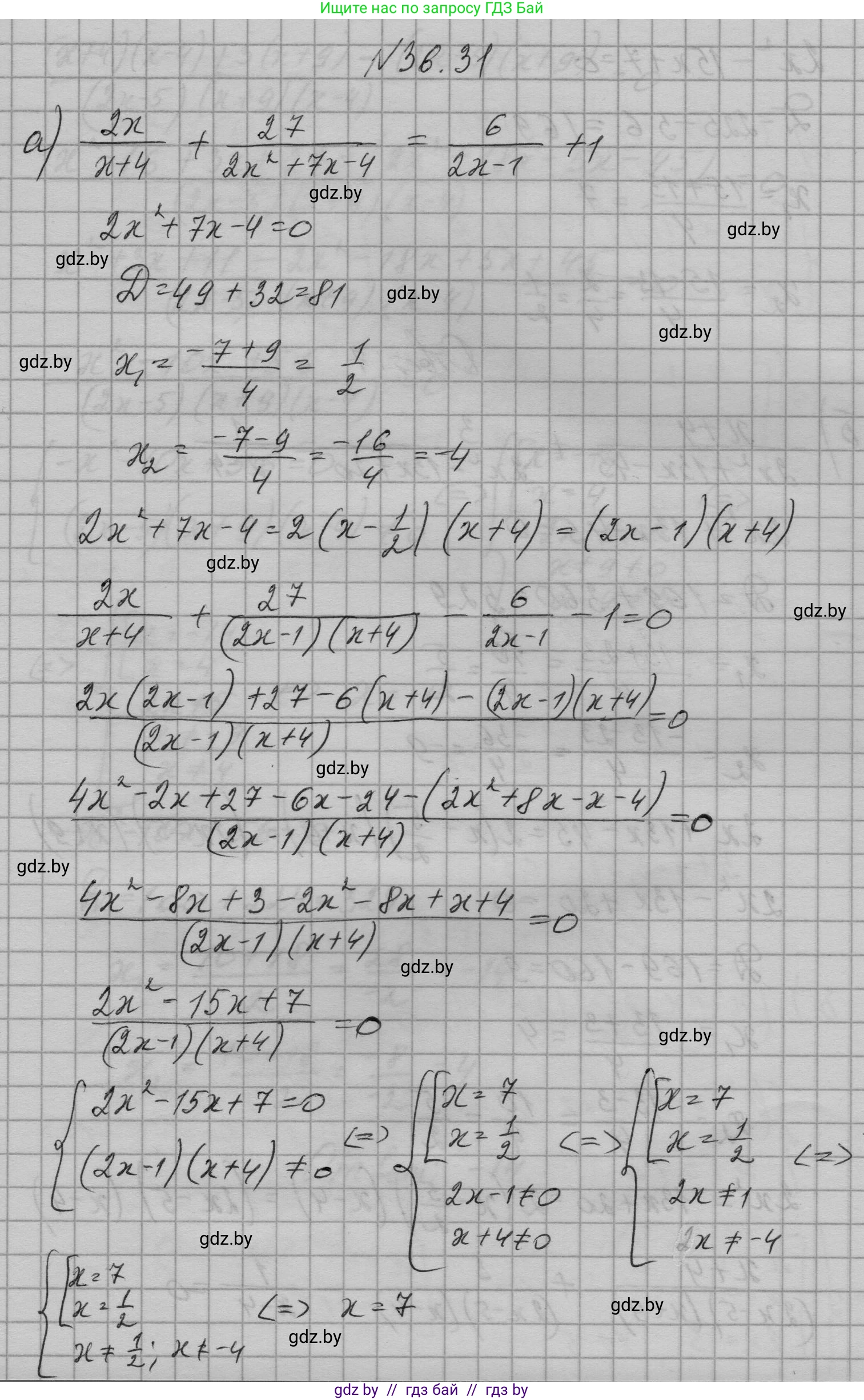
а) $\frac{2x}{x+4} + \frac{27}{2x^2+7x-4} = \frac{6}{2x-1} + 1;$

Сначала найдем область допустимых значений (ОДЗ). Знаменатели не должны равняться нулю.

1. $x+4 \ne 0 \Rightarrow x \ne -4$.
2. $2x-1 \ne 0 \Rightarrow x \ne \frac{1}{2}$.
3. $2x^2+7x-4 \ne 0$. Найдем корни этого квадратного трехчлена, чтобы разложить его на множители.
$D = 7^2 - 4 \cdot 2 \cdot (-4) = 49 + 32 = 81 = 9^2$.
$x_{1,2} = \frac{-7 \pm 9}{2 \cdot 2} = \frac{-7 \pm 9}{4}$.
$x_1 = \frac{-7-9}{4} = -4$.
$x_2 = \frac{-7+9}{4} = \frac{2}{4} = \frac{1}{2}$.
Следовательно, $2x^2+7x-4 = 2(x+4)(x-\frac{1}{2}) = (x+4)(2x-1)$. Условия для этого знаменателя совпадают с первыми двумя: $x \ne -4$ и $x \ne \frac{1}{2}$.

Таким образом, ОДЗ: $x \ne -4$ и $x \ne \frac{1}{2}$.

Перепишем уравнение, используя разложенный на множители знаменатель, и перенесем все слагаемые в левую часть:

$\frac{2x}{x+4} + \frac{27}{(x+4)(2x-1)} - \frac{6}{2x-1} - 1 = 0$

Приведем все дроби к общему знаменателю $(x+4)(2x-1)$:

$\frac{2x(2x-1)}{(x+4)(2x-1)} + \frac{27}{(x+4)(2x-1)} - \frac{6(x+4)}{(x+4)(2x-1)} - \frac{(x+4)(2x-1)}{(x+4)(2x-1)} = 0$

Так как $x$ принадлежит ОДЗ, мы можем приравнять числитель к нулю:

$2x(2x-1) + 27 - 6(x+4) - (x+4)(2x-1) = 0$

Раскроем скобки и упростим выражение:

$4x^2 - 2x + 27 - 6x - 24 - (2x^2 - x + 8x - 4) = 0$

$4x^2 - 8x + 3 - (2x^2 + 7x - 4) = 0$

$4x^2 - 8x + 3 - 2x^2 - 7x + 4 = 0$

$2x^2 - 15x + 7 = 0$

Решим полученное квадратное уравнение:

$D = (-15)^2 - 4 \cdot 2 \cdot 7 = 225 - 56 = 169 = 13^2$

$x_{1,2} = \frac{15 \pm 13}{2 \cdot 2} = \frac{15 \pm 13}{4}$

$x_1 = \frac{15+13}{4} = \frac{28}{4} = 7$

$x_2 = \frac{15-13}{4} = \frac{2}{4} = \frac{1}{2}$

Проверим корни на соответствие ОДЗ ($x \ne -4$, $x \ne \frac{1}{2}$). Корень $x_2 = \frac{1}{2}$ является посторонним, так как не входит в ОДЗ. Корень $x_1 = 7$ удовлетворяет ОДЗ.

Ответ: 7

б) $\frac{x+4}{2x^2+13x-45} + \frac{3}{2x^2-13x+20} = \frac{1}{x-4};$

Найдем ОДЗ, для этого разложим знаменатели на множители.

1. $2x^2+13x-45 = 0$
$D = 13^2 - 4 \cdot 2 \cdot (-45) = 169 + 360 = 529 = 23^2$
$x_{1,2} = \frac{-13 \pm 23}{4}$
$x_1 = \frac{-13-23}{4} = -9$
$x_2 = \frac{-13+23}{4} = \frac{10}{4} = \frac{5}{2}$
$2x^2+13x-45 = 2(x+9)(x-\frac{5}{2}) = (x+9)(2x-5)$.

2. $2x^2-13x+20 = 0$
$D = (-13)^2 - 4 \cdot 2 \cdot 20 = 169 - 160 = 9 = 3^2$
$x_{1,2} = \frac{13 \pm 3}{4}$
$x_1 = \frac{13-3}{4} = \frac{10}{4} = \frac{5}{2}$
$x_2 = \frac{13+3}{4} = \frac{16}{4} = 4$
$2x^2-13x+20 = 2(x-\frac{5}{2})(x-4) = (2x-5)(x-4)$.

3. $x-4 \ne 0 \Rightarrow x \ne 4$.

Объединяя все условия, получаем ОДЗ: $x \ne -9$, $x \ne \frac{5}{2}$ и $x \ne 4$.

Перепишем уравнение с разложенными знаменателями:

$\frac{x+4}{(x+9)(2x-5)} + \frac{3}{(2x-5)(x-4)} = \frac{1}{x-4}$

Перенесем все слагаемые в левую часть и приведем к общему знаменателю $(x+9)(2x-5)(x-4)$:

$\frac{(x+4)(x-4)}{(x+9)(2x-5)(x-4)} + \frac{3(x+9)}{(x+9)(2x-5)(x-4)} - \frac{1(x+9)(2x-5)}{(x+9)(2x-5)(x-4)} = 0$

Приравняем числитель к нулю:

$(x+4)(x-4) + 3(x+9) - (x+9)(2x-5) = 0$

Раскроем скобки:

$x^2 - 16 + 3x + 27 - (2x^2 - 5x + 18x - 45) = 0$

$x^2 + 3x + 11 - (2x^2 + 13x - 45) = 0$

$x^2 + 3x + 11 - 2x^2 - 13x + 45 = 0$

$-x^2 - 10x + 56 = 0$

Умножим уравнение на -1:

$x^2 + 10x - 56 = 0$

Решим квадратное уравнение:

$D = 10^2 - 4 \cdot 1 \cdot (-56) = 100 + 224 = 324 = 18^2$

$x_{1,2} = \frac{-10 \pm 18}{2}$

$x_1 = \frac{-10 - 18}{2} = \frac{-28}{2} = -14$

$x_2 = \frac{-10 + 18}{2} = \frac{8}{2} = 4$

Проверим корни на соответствие ОДЗ ($x \ne -9, x \ne \frac{5}{2}, x \ne 4$). Корень $x_2 = 4$ является посторонним. Корень $x_1 = -14$ удовлетворяет ОДЗ.

Ответ: -14

Помогло решение? Оставьте отзыв в комментариях ниже.

Присоединяйтесь к Телеграм-группе @gdz_by_belarus

Присоединиться

Мы подготовили для вас ответ c подробным объяснением домашего задания по алгебре за 7-9 класс, для упражнения номер 36.31 расположенного на странице 182 к сборнику задач 2020 года издания для учащихся школ и гимназий.

Теперь на нашем сайте ГДЗ.ТОП вы всегда легко и бесплатно найдёте условие с правильным ответом на вопрос «Как решить ДЗ» и «Как сделать» задание по алгебре к упражнению №36.31 (с. 182), авторов: Арефьева (Ирина Глебовна), Пирютко (Ольга Николаевна), учебного пособия издательства Народная асвета.