Номер 38.4, страница 191 - гдз по алгебре 7-9 класс сборник задач Арефьева, Пирютко

Алгебра, 7-9 класс Сборник задач, авторы: Арефьева Ирина Глебовна, Пирютко Ольга Николаевна, издательство Народная асвета, Минск, 2020

Авторы: Арефьева И. Г., Пирютко О. Н.

Тип: Сборник задач

Издательство: Народная асвета

Год издания: 2020 - 2026

Цвет обложки: синий с графиками

Допущено Министерством образования Республики Беларусь

Популярные ГДЗ в 7 классе

9 класс. Параграф 38. Дробно-рациональные неравенства. Метод интервалов для решения рациональных неравенств - номер 38.4, страница 191.

№38.4 (с. 191)
Условие. №38.4 (с. 191)
скриншот условия
Алгебра, 7-9 класс Сборник задач, авторы: Арефьева Ирина Глебовна, Пирютко Ольга Николаевна, издательство Народная асвета, Минск, 2020, страница 191, номер 38.4, Условие

38.4. Решите неравенство методом интервалов:

а) $\frac{(x+5)(x-3)}{x+7} > 0$

б) $\frac{7x-1}{(x-8)(x+3)} < 0$

в) $\frac{x(x-2)}{4x-1} \ge 0$

г) $\frac{2x(x-3)}{(x+4)(5x-1)} \le 0$

д) $\frac{(7-x)(x+9)}{x+6} < 0$

е) $\frac{(x-1)(x+7)}{6-5x} > 0$

ж) $\frac{x(4-9x)}{(5-x)(x+3)} \le 0$

з) $\frac{(6-x)(1-x)}{(8-3x)(x+2)} \ge 0$

Решение. №38.4 (с. 191)
Алгебра, 7-9 класс Сборник задач, авторы: Арефьева Ирина Глебовна, Пирютко Ольга Николаевна, издательство Народная асвета, Минск, 2020, страница 191, номер 38.4, Решение Алгебра, 7-9 класс Сборник задач, авторы: Арефьева Ирина Глебовна, Пирютко Ольга Николаевна, издательство Народная асвета, Минск, 2020, страница 191, номер 38.4, Решение (продолжение 2)
Решение 2. №38.4 (с. 191)

Метод интервалов для решения дробно-рациональных неравенств заключается в следующем:

  1. Перенести все члены неравенства в одну часть, чтобы с другой стороны был 0.
  2. Найти все значения переменной, при которых числитель или знаменатель дроби обращаются в нуль (нули функции).
  3. Отметить найденные точки на числовой прямой. Точки, в которых знаменатель равен нулю, всегда "выколотые" (не включаются в решение), так как на ноль делить нельзя. Точки, в которых числитель равен нулю, "закрашенные" (включаются в решение) для нестрогих неравенств (≤, ≥) и "выколотые" для строгих неравенств (<, >).
  4. Определить знак выражения в каждом из полученных интервалов, подставив любое значение из этого интервала в исходное выражение.
  5. Выбрать интервалы, которые удовлетворяют знаку неравенства, и записать ответ.

а) $ \frac{(x+5)(x-3)}{x+7} > 0 $

Найдем нули числителя и знаменателя. Нули числителя: $x+5=0 \implies x=-5$; $x-3=0 \implies x=3$. Нуль знаменателя: $x+7=0 \implies x=-7$.

Отметим точки -7, -5, 3 на числовой прямой. Так как неравенство строгое (>), все точки будут выколотыми. Эти точки разбивают прямую на интервалы: $(-\infty; -7)$, $(-7; -5)$, $(-5; 3)$, $(3; +\infty)$.

Определим знак выражения на каждом интервале. Возьмем точку $x=4$ из крайнего правого интервала: $ \frac{(4+5)(4-3)}{4+7} = \frac{9 \cdot 1}{11} > 0 $. Знаки в интервалах чередуются: $ (+, -, +, -) $ справа налево. Интервалы и знаки: $(-\infty; -7) \to -$; $(-7; -5) \to +$; $(-5; 3) \to -$; $(3; +\infty) \to +$.

Нам нужны интервалы, где выражение больше нуля (знак "+"). Это интервалы $(-7; -5)$ и $(3; +\infty)$.

Ответ: $ x \in (-7; -5) \cup (3; +\infty) $

б) $ \frac{7x-1}{(x-8)(x+3)} < 0 $

Нули числителя: $7x-1=0 \implies x=1/7$. Нули знаменателя: $x-8=0 \implies x=8$; $x+3=0 \implies x=-3$.

Отметим точки -3, 1/7, 8 на числовой прямой. Неравенство строгое (<), все точки выколотые. Интервалы: $(-\infty; -3)$, $(-3; 1/7)$, $(1/7; 8)$, $(8; +\infty)$.

Проверим знак в интервале $(8; +\infty)$, взяв $x=10$: $ \frac{7(10)-1}{(10-8)(10+3)} = \frac{69}{2 \cdot 13} > 0 $. Знаки в интервалах: $(-\infty; -3) \to -$; $(-3; 1/7) \to +$; $(1/7; 8) \to -$; $(8; +\infty) \to +$.

Нам нужны интервалы, где выражение меньше нуля (знак "-"). Это интервалы $(-\infty; -3)$ и $(1/7; 8)$.

Ответ: $ x \in (-\infty; -3) \cup (1/7; 8) $

в) $ \frac{x(x-2)}{4x-1} \ge 0 $

Нули числителя: $x=0$; $x-2=0 \implies x=2$. Нуль знаменателя: $4x-1=0 \implies x=1/4$.

Отметим точки 0, 1/4, 2 на числовой прямой. Неравенство нестрогое (≥), поэтому нули числителя (0 и 2) будут закрашенными, а нуль знаменателя (1/4) — выколотым. Интервалы: $(-\infty; 0]$, $[0; 1/4)$, $(1/4; 2]$, $[2; +\infty)$.

Проверим знак в интервале $[2; +\infty)$, взяв $x=3$: $ \frac{3(3-2)}{4(3)-1} = \frac{3}{11} > 0 $. Знаки в интервалах: $(-\infty; 0] \to -$; $[0; 1/4) \to +$; $(1/4; 2] \to -$; $[2; +\infty) \to +$.

Нам нужны интервалы, где выражение больше или равно нулю (знак "+", включая закрашенные точки). Это интервалы $[0; 1/4)$ и $[2; +\infty)$.

Ответ: $ x \in [0; 1/4) \cup [2; +\infty) $

г) $ \frac{2x(x-3)}{(x+4)(5x-1)} \le 0 $

Нули числителя: $2x=0 \implies x=0$; $x-3=0 \implies x=3$. Нули знаменателя: $x+4=0 \implies x=-4$; $5x-1=0 \implies x=1/5$.

Отметим точки -4, 0, 1/5, 3 на прямой. Нули числителя (0 и 3) — закрашенные, нули знаменателя (-4 и 1/5) — выколотые. Интервалы: $(-\infty; -4)$, $(-4; 0]$, $[0; 1/5)$, $(1/5; 3]$, $[3; +\infty)$.

Проверим знак в интервале $[3; +\infty)$, взяв $x=4$: $ \frac{2(4)(4-3)}{(4+4)(5(4)-1)} = \frac{8}{8 \cdot 19} > 0 $. Знаки в интервалах: $(-\infty; -4) \to +$; $(-4; 0] \to -$; $[0; 1/5) \to +$; $(1/5; 3] \to -$; $[3; +\infty) \to +$.

Нам нужны интервалы, где выражение меньше или равно нулю (знак "-", включая закрашенные точки). Это интервалы $(-4; 0]$ и $(1/5; 3]$.

Ответ: $ x \in (-4; 0] \cup (1/5; 3] $

д) $ \frac{(7-x)(x+9)}{x+6} < 0 $

Преобразуем множитель $(7-x)$ к стандартному виду: $(7-x) = -(x-7)$. Неравенство примет вид: $ \frac{-(x-7)(x+9)}{x+6} < 0 $. Умножим обе части на -1, изменив знак неравенства на противоположный: $ \frac{(x-7)(x+9)}{x+6} > 0 $.

Нули числителя: $x-7=0 \implies x=7$; $x+9=0 \implies x=-9$. Нуль знаменателя: $x+6=0 \implies x=-6$.

Отметим точки -9, -6, 7 на прямой. Все точки выколотые. Интервалы: $(-\infty; -9)$, $(-9; -6)$, $(-6; 7)$, $(7; +\infty)$.

Проверим знак в интервале $(7; +\infty)$, взяв $x=8$: $ \frac{(8-7)(8+9)}{8+6} > 0 $. Знаки: $(-\infty; -9) \to -$; $(-9; -6) \to +$; $(-6; 7) \to -$; $(7; +\infty) \to +$.

Для преобразованного неравенства $ > 0 $ нам нужны интервалы со знаком "+". Это интервалы $(-9; -6)$ и $(7; +\infty)$.

Ответ: $ x \in (-9; -6) \cup (7; +\infty) $

е) $ \frac{(x-1)(x+7)}{6-5x} > 0 $

Преобразуем знаменатель: $6-5x = -5(x - 6/5)$. Неравенство: $ \frac{(x-1)(x+7)}{-5(x - 6/5)} > 0 $. Разделим обе части на -5, изменив знак неравенства: $ \frac{(x-1)(x+7)}{x - 6/5} < 0 $.

Нули числителя: $x-1=0 \implies x=1$; $x+7=0 \implies x=-7$. Нуль знаменателя: $x - 6/5=0 \implies x=1.2$.

Отметим точки -7, 1, 1.2 на прямой. Все точки выколотые. Интервалы: $(-\infty; -7)$, $(-7; 1)$, $(1; 1.2)$, $(1.2; +\infty)$.

Проверим знак для преобразованного неравенства в $(1.2; +\infty)$, взяв $x=2$: $ \frac{(2-1)(2+7)}{2 - 1.2} > 0 $. Знаки: $(-\infty; -7) \to -$; $(-7; 1) \to +$; $(1; 1.2) \to -$; $(1.2; +\infty) \to +$.

Для преобразованного неравенства $ < 0 $ нам нужны интервалы со знаком "-". Это интервалы $(-\infty; -7)$ и $(1; 1.2)$.

Ответ: $ x \in (-\infty; -7) \cup (1; 1.2) $

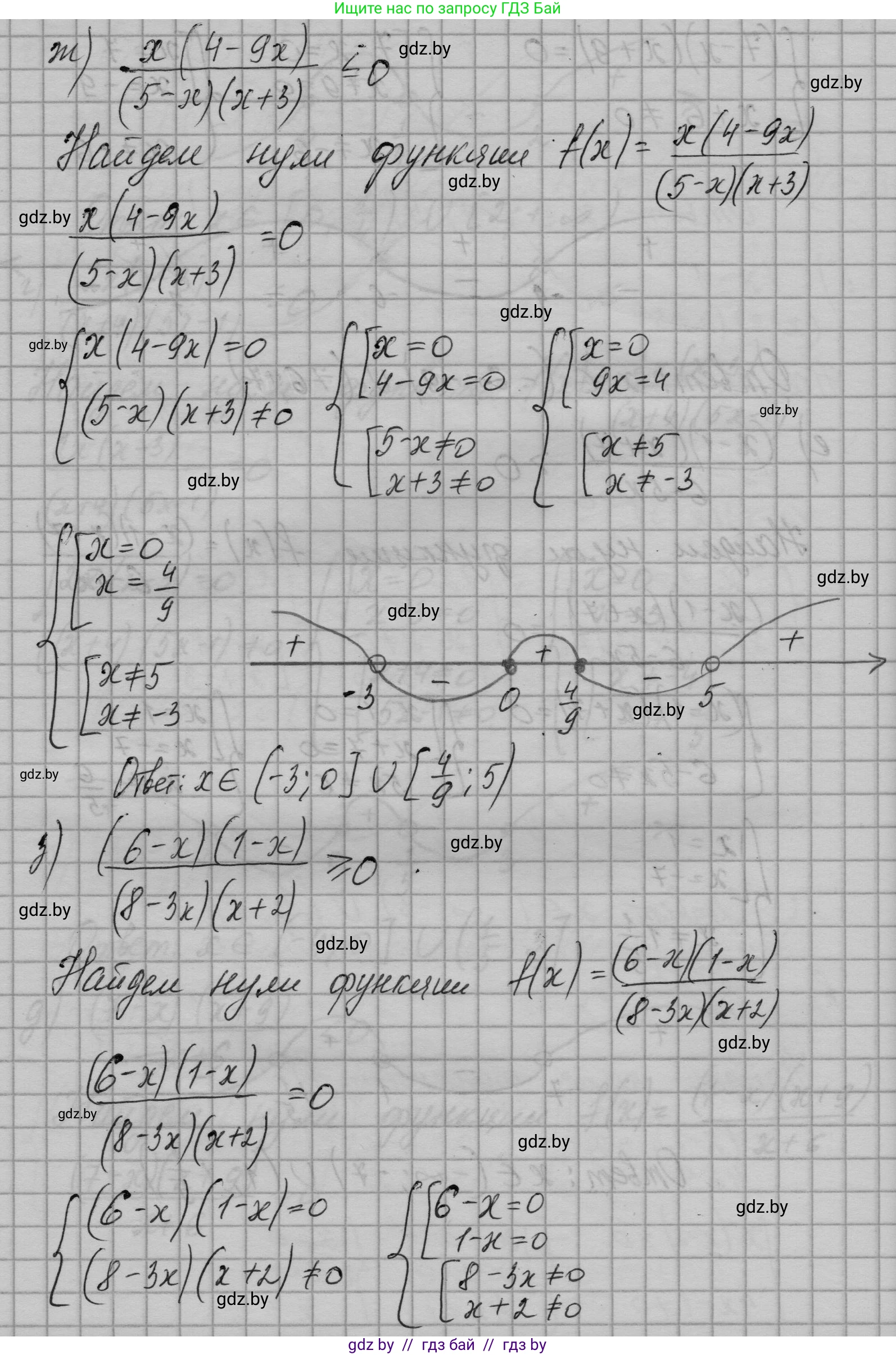
ж) $ \frac{x(4-9x)}{(5-x)(x+3)} \le 0 $

Преобразуем множители: $4-9x = -9(x - 4/9)$ и $5-x = -(x-5)$. $ \frac{x \cdot (-9)(x - 4/9)}{-(x-5)(x+3)} \le 0 \implies \frac{9x(x-4/9)}{(x-5)(x+3)} \le 0 $. Разделим на 9 (знак не меняется): $ \frac{x(x-4/9)}{(x-5)(x+3)} \le 0 $.

Нули числителя: $x=0$; $x-4/9=0 \implies x=4/9$. Нули знаменателя: $x-5=0 \implies x=5$; $x+3=0 \implies x=-3$.

Отметим точки -3, 0, 4/9, 5. Нули числителя (0, 4/9) — закрашенные, нули знаменателя (-3, 5) — выколотые. Интервалы: $(-\infty; -3)$, $(-3; 0]$, $[0; 4/9]$, $[4/9; 5)$, $(5; +\infty)$.

Проверим знак в $(5; +\infty)$, взяв $x=6$: $ \frac{6(6-4/9)}{(6-5)(6+3)} > 0 $. Знаки: $(-\infty; -3) \to +$; $(-3; 0] \to -$; $[0; 4/9] \to +$; $[4/9; 5) \to -$; $(5; +\infty) \to +$.

Нам нужны интервалы, где выражение меньше или равно нулю (знак "-", включая закрашенные точки). Это интервалы $(-3; 0]$ и $[4/9; 5)$.

Ответ: $ x \in (-3; 0] \cup [4/9; 5) $

з) $ \frac{(6-x)(1-x)}{(8-3x)(x+2)} \ge 0 $

Преобразуем множители: $6-x = -(x-6)$, $1-x = -(x-1)$, $8-3x = -3(x-8/3)$. $ \frac{(-(x-6))(-(x-1))}{(-3(x-8/3))(x+2)} \ge 0 \implies \frac{(x-6)(x-1)}{-3(x-8/3)(x+2)} \ge 0 $. Разделим на -3, изменив знак неравенства: $ \frac{(x-6)(x-1)}{(x-8/3)(x+2)} \le 0 $.

Нули числителя: $x=1$; $x=6$. Нули знаменателя: $x=-2$; $x=8/3$.

Отметим точки -2, 1, 8/3, 6. Нули числителя (1, 6) — закрашенные, нули знаменателя (-2, 8/3) — выколотые. $8/3 \approx 2.67$. Интервалы: $(-\infty; -2)$, $(-2; 1]$, $[1; 8/3)$, $(8/3; 6]$, $[6; +\infty)$.

Проверим знак для преобразованного неравенства в $[6; +\infty)$, взяв $x=7$: $ \frac{(7-6)(7-1)}{(7-8/3)(7+2)} > 0 $. Знаки: $(-\infty; -2) \to +$; $(-2; 1] \to -$; $[1; 8/3) \to +$; $(8/3; 6] \to -$; $[6; +\infty) \to +$.

Для преобразованного неравенства $ \le 0 $ нам нужны интервалы со знаком "-". Это интервалы $(-2; 1]$ и $(8/3; 6]$.

Ответ: $ x \in (-2; 1] \cup (8/3; 6] $

Помогло решение? Оставьте отзыв в комментариях ниже.

Присоединяйтесь к Телеграм-группе @gdz_by_belarus

Присоединиться

Мы подготовили для вас ответ c подробным объяснением домашего задания по алгебре за 7-9 класс, для упражнения номер 38.4 расположенного на странице 191 к сборнику задач 2020 года издания для учащихся школ и гимназий.

Теперь на нашем сайте ГДЗ.ТОП вы всегда легко и бесплатно найдёте условие с правильным ответом на вопрос «Как решить ДЗ» и «Как сделать» задание по алгебре к упражнению №38.4 (с. 191), авторов: Арефьева (Ирина Глебовна), Пирютко (Ольга Николаевна), учебного пособия издательства Народная асвета.