Номер 10.3, страница 41 - гдз по алгебре 7-9 класс сборник задач Арефьева, Пирютко

Алгебра, 7-9 класс Сборник задач, авторы: Арефьева Ирина Глебовна, Пирютко Ольга Николаевна, издательство Народная асвета, Минск, 2020

Авторы: Арефьева И. Г., Пирютко О. Н.

Тип: Сборник задач

Издательство: Народная асвета

Год издания: 2020 - 2026

Цвет обложки: синий с графиками

Допущено Министерством образования Республики Беларусь

Популярные ГДЗ в 7 классе

7 класс. Параграф 10. Умножение и деление многочлена на одночлен - номер 10.3, страница 41.

№10.3 (с. 41)
Условие. №10.3 (с. 41)
скриншот условия
Алгебра, 7-9 класс Сборник задач, авторы: Арефьева Ирина Глебовна, Пирютко Ольга Николаевна, издательство Народная асвета, Минск, 2020, страница 41, номер 10.3, Условие

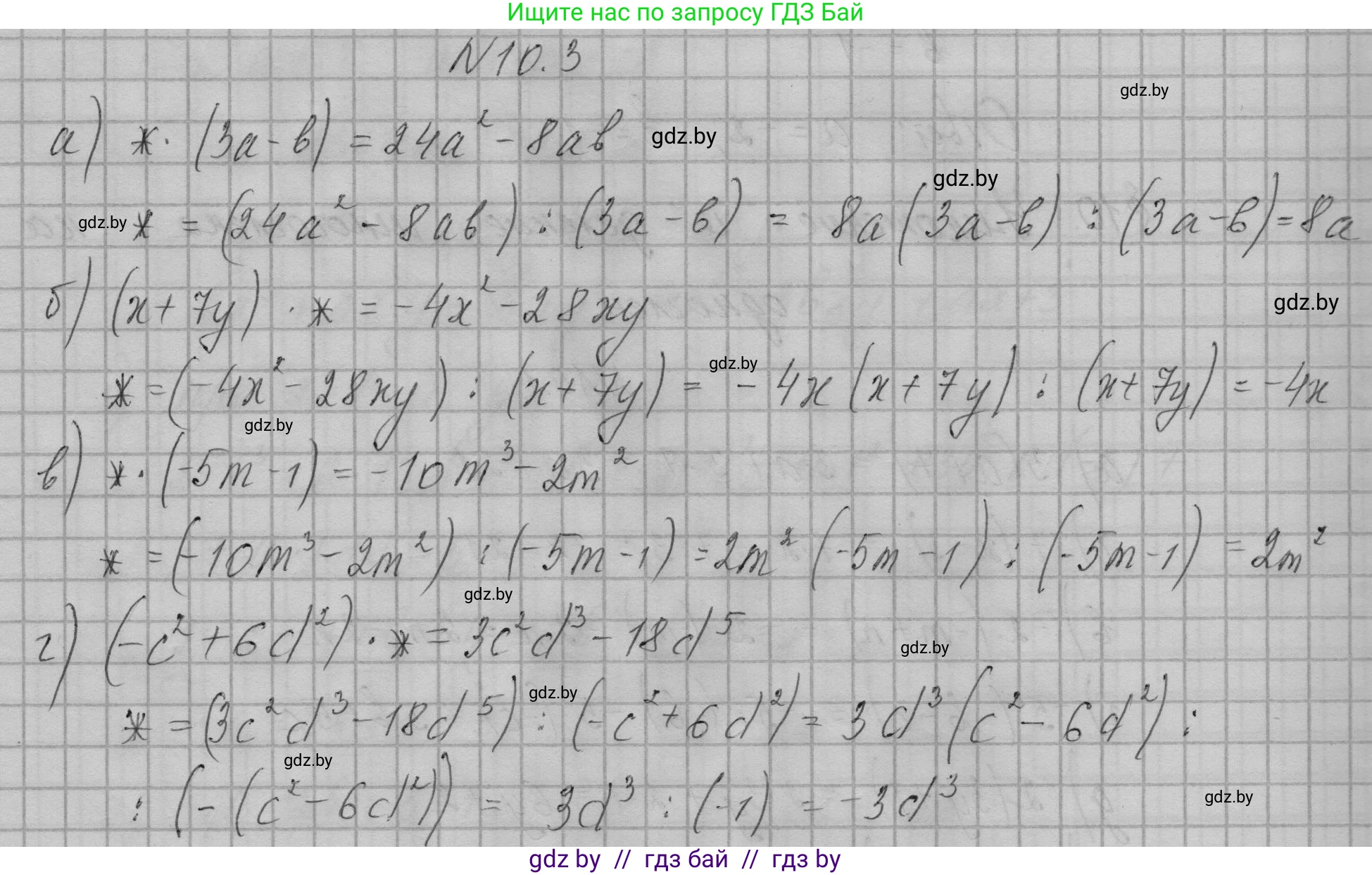
10.3. Замените $*$ одночленом так, чтобы полученное равенство стало тождеством:

а) $*\cdot (3a - b) = 24a^2 - 8ab$;

б) $(x + 7y)\cdot * = -4x^2 - 28xy$;

в) $*\cdot (-5m - 1) = -10m^3 - 2m^2$;

г) $(-c^2 + 6d^2)\cdot * = 3c^2 d^3 - 18d^5$.

Решение. №10.3 (с. 41)
Алгебра, 7-9 класс Сборник задач, авторы: Арефьева Ирина Глебовна, Пирютко Ольга Николаевна, издательство Народная асвета, Минск, 2020, страница 41, номер 10.3, Решение
Решение 2. №10.3 (с. 41)

а) В данном равенстве $* \cdot (3a - b) = 24a^2 - 8ab$ необходимо найти одночлен, обозначенный звёздочкой. Для этого разложим правую часть равенства на множители. Вынесем за скобки общий множитель многочлена $24a^2 - 8ab$. Общим множителем является $8a$. $24a^2 - 8ab = 8a \cdot 3a - 8a \cdot b = 8a(3a - b)$. Теперь исходное равенство можно записать в виде: $* \cdot (3a - b) = 8a(3a - b)$. Сравнивая левую и правую части тождества, мы видим, что искомый одночлен равен $8a$.
Ответ: $8a$.

б) В равенстве $(x + 7y) \cdot * = -4x^2 - 28xy$ нам нужно найти второй множитель. Для этого разложим на множители правую часть: $-4x^2 - 28xy$. Общий множитель для обоих членов — это $-4x$. Выносим его за скобки: $-4x^2 - 28xy = -4x \cdot x - 4x \cdot 7y = -4x(x + 7y)$. Подставим полученное выражение в исходное равенство: $(x + 7y) \cdot * = -4x(x + 7y)$. Из этого равенства следует, что неизвестный одночлен равен $-4x$.
Ответ: $-4x$.

в) Рассмотрим равенство $* \cdot (-5m - 1) = -10m^3 - 2m^2$. Чтобы найти неизвестный одночлен, представим правую часть в виде произведения, одним из множителей которого будет $(-5m - 1)$. Разложим на множители $-10m^3 - 2m^2$. Общий множитель здесь $2m^2$. Вынесем его за скобки: $-10m^3 - 2m^2 = 2m^2 \cdot (-5m) + 2m^2 \cdot (-1) = 2m^2(-5m - 1)$. Теперь исходное равенство выглядит так: $* \cdot (-5m - 1) = 2m^2(-5m - 1)$. Сравнивая обе части, заключаем, что искомый одночлен — это $2m^2$.
Ответ: $2m^2$.

г) В равенстве $(-c^2 + 6d^2) \cdot * = 3c^2d^3 - 18d^5$ найдем недостающий одночлен. Разложим на множители правую часть: $3c^2d^3 - 18d^5$. Общим множителем является $3d^3$. $3c^2d^3 - 18d^5 = 3d^3 \cdot c^2 - 3d^3 \cdot 6d^2 = 3d^3(c^2 - 6d^2)$. Исходное равенство принимает вид: $(-c^2 + 6d^2) \cdot * = 3d^3(c^2 - 6d^2)$. Заметим, что выражение в скобках в левой части, $(-c^2 + 6d^2)$, и в правой, $(c^2 - 6d^2)$, отличаются только знаком. Мы можем записать $(-c^2 + 6d^2) = -1 \cdot (c^2 - 6d^2)$. Тогда равенство переписывается как: $-1 \cdot (c^2 - 6d^2) \cdot * = 3d^3(c^2 - 6d^2)$. Разделив обе части на $(c^2 - 6d^2)$, получим: $-* = 3d^3$. Следовательно, $* = -3d^3$.
Ответ: $-3d^3$.

Помогло решение? Оставьте отзыв в комментариях ниже.

Присоединяйтесь к Телеграм-группе @gdz_by_belarus

Присоединиться

Мы подготовили для вас ответ c подробным объяснением домашего задания по алгебре за 7-9 класс, для упражнения номер 10.3 расположенного на странице 41 к сборнику задач 2020 года издания для учащихся школ и гимназий.

Теперь на нашем сайте ГДЗ.ТОП вы всегда легко и бесплатно найдёте условие с правильным ответом на вопрос «Как решить ДЗ» и «Как сделать» задание по алгебре к упражнению №10.3 (с. 41), авторов: Арефьева (Ирина Глебовна), Пирютко (Ольга Николаевна), учебного пособия издательства Народная асвета.