Номер 14.12, страница 62 - гдз по алгебре 7-9 класс сборник задач Арефьева, Пирютко

Алгебра, 7-9 класс Сборник задач, авторы: Арефьева Ирина Глебовна, Пирютко Ольга Николаевна, издательство Народная асвета, Минск, 2020

Авторы: Арефьева И. Г., Пирютко О. Н.

Тип: Сборник задач

Издательство: Народная асвета

Год издания: 2020 - 2026

Цвет обложки: синий с графиками

Допущено Министерством образования Республики Беларусь

Популярные ГДЗ в 7 классе

7 класс. Параграф 14. Линейные уравнения с одной переменной. Решение текстовых задач с помощью линейных уравнений - номер 14.12, страница 62.

№14.12 (с. 62)
Условие. №14.12 (с. 62)
скриншот условия
Алгебра, 7-9 класс Сборник задач, авторы: Арефьева Ирина Глебовна, Пирютко Ольга Николаевна, издательство Народная асвета, Минск, 2020, страница 62, номер 14.12, Условие

14.12. Используйте алгоритм и решите уравнение:

а) $8x + 13 = 7x;$

б) $9x = 2x + 14;$

в) $7x - 32 = 3x;$

г) $x + 9 = 13 - x;$

д) $x = 24 - 3x;$

е) $4x + 9 = 7x - 12;$

ж) $7 - 4x = x + 32;$

з) $8x - 13 = 17 - 7x;$

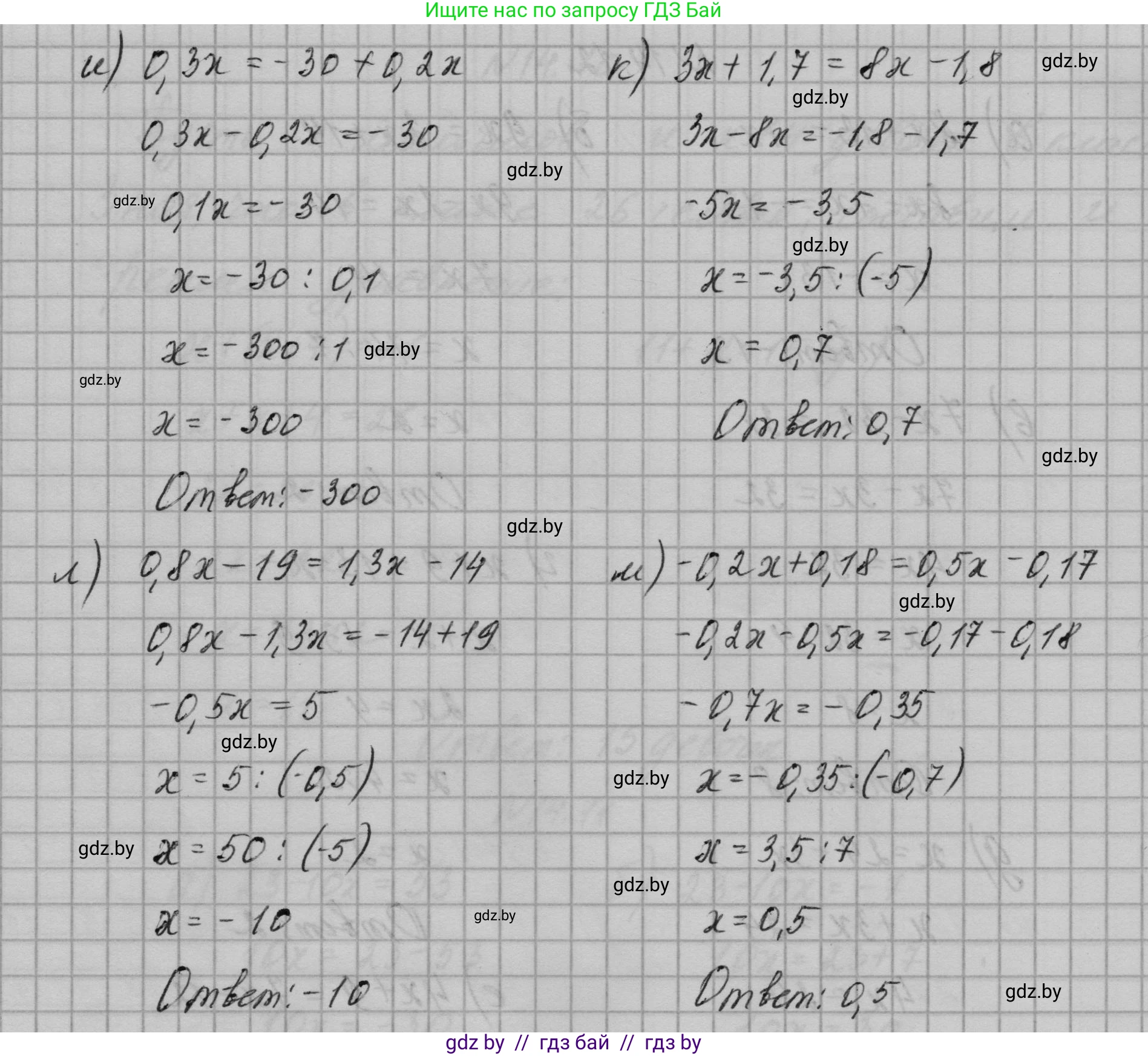
и) $0,3x = -30 + 0,2x;$

к) $3x + 1,7 = 8x - 1,8;$

л) $0,8x - 19 = 1,3x - 14;$

м) $-0,2x + 0,18 = 0,5x - 0,17.$

Решение. №14.12 (с. 62)
Алгебра, 7-9 класс Сборник задач, авторы: Арефьева Ирина Глебовна, Пирютко Ольга Николаевна, издательство Народная асвета, Минск, 2020, страница 62, номер 14.12, Решение Алгебра, 7-9 класс Сборник задач, авторы: Арефьева Ирина Глебовна, Пирютко Ольга Николаевна, издательство Народная асвета, Минск, 2020, страница 62, номер 14.12, Решение (продолжение 2)
Решение 2. №14.12 (с. 62)

Алгоритм решения линейного уравнения состоит в следующем:

  1. Перенести все слагаемые, содержащие переменную, в одну часть уравнения (обычно в левую), а все слагаемые без переменной (числа) — в другую часть. При переносе слагаемого из одной части в другую его знак меняется на противоположный.
  2. Привести подобные слагаемые в обеих частях уравнения.
  3. Разделить обе части уравнения на коэффициент при переменной (если он не равен нулю).

Решим уравнения, используя этот алгоритм.

а) $8x + 13 = 7x$

Переносим $7x$ в левую часть, а $13$ в правую, меняя их знаки:

$8x - 7x = -13$

Упрощаем левую часть:

$x = -13$

Ответ: $-13$

б) $9x = 2x + 14$

Переносим $2x$ в левую часть:

$9x - 2x = 14$

Приводим подобные слагаемые в левой части:

$7x = 14$

Делим обе части на $7$:

$x = \frac{14}{7}$

$x = 2$

Ответ: $2$

в) $7x - 32 = 3x$

Переносим $3x$ в левую часть, а $-32$ в правую:

$7x - 3x = 32$

Приводим подобные слагаемые:

$4x = 32$

Делим обе части на $4$:

$x = \frac{32}{4}$

$x = 8$

Ответ: $8$

г) $x + 9 = 13 - x$

Переносим $-x$ в левую часть, а $9$ в правую:

$x + x = 13 - 9$

Приводим подобные слагаемые в обеих частях:

$2x = 4$

Делим обе части на $2$:

$x = \frac{4}{2}$

$x = 2$

Ответ: $2$

д) $x = 24 - 3x$

Переносим $-3x$ в левую часть:

$x + 3x = 24$

Приводим подобные слагаемые:

$4x = 24$

Делим обе части на $4$:

$x = \frac{24}{4}$

$x = 6$

Ответ: $6$

е) $4x + 9 = 7x - 12$

Переносим слагаемые с $x$ в правую часть, а числа - в левую:

$9 + 12 = 7x - 4x$

Приводим подобные слагаемые в обеих частях:

$21 = 3x$

Делим обе части на $3$:

$x = \frac{21}{3}$

$x = 7$

Ответ: $7$

ж) $7 - 4x = x + 32$

Переносим слагаемые с $x$ в правую часть, а числа - в левую:

$7 - 32 = x + 4x$

Приводим подобные слагаемые в обеих частях:

$-25 = 5x$

Делим обе части на $5$:

$x = \frac{-25}{5}$

$x = -5$

Ответ: $-5$

з) $8x - 13 = 17 - 7x$

Переносим $-7x$ в левую часть, а $-13$ в правую:

$8x + 7x = 17 + 13$

Приводим подобные слагаемые в обеих частях:

$15x = 30$

Делим обе части на $15$:

$x = \frac{30}{15}$

$x = 2$

Ответ: $2$

и) $0,3x = -30 + 0,2x$

Переносим $0,2x$ в левую часть:

$0,3x - 0,2x = -30$

Приводим подобные слагаемые:

$0,1x = -30$

Делим обе части на $0,1$:

$x = \frac{-30}{0,1}$

$x = -300$

Ответ: $-300$

к) $3x + 1,7 = 8x - 1,8$

Переносим слагаемые с $x$ в правую часть, а числа - в левую:

$1,7 + 1,8 = 8x - 3x$

Приводим подобные слагаемые в обеих частях:

$3,5 = 5x$

Делим обе части на $5$:

$x = \frac{3,5}{5}$

$x = 0,7$

Ответ: $0,7$

л) $0,8x - 19 = 1,3x - 14$

Переносим слагаемые с $x$ в правую часть, а числа - в левую:

$-19 + 14 = 1,3x - 0,8x$

Приводим подобные слагаемые в обеих частях:

$-5 = 0,5x$

Делим обе части на $0,5$:

$x = \frac{-5}{0,5}$

$x = -10$

Ответ: $-10$

м) $-0,2x + 0,18 = 0,5x - 0,17$

Переносим слагаемые с $x$ в правую часть, а числа - в левую:

$0,18 + 0,17 = 0,5x + 0,2x$

Приводим подобные слагаемые в обеих частях:

$0,35 = 0,7x$

Делим обе части на $0,7$:

$x = \frac{0,35}{0,7}$

$x = 0,5$

Ответ: $0,5$

Помогло решение? Оставьте отзыв в комментариях ниже.

Присоединяйтесь к Телеграм-группе @gdz_by_belarus

Присоединиться

Мы подготовили для вас ответ c подробным объяснением домашего задания по алгебре за 7-9 класс, для упражнения номер 14.12 расположенного на странице 62 к сборнику задач 2020 года издания для учащихся школ и гимназий.

Теперь на нашем сайте ГДЗ.ТОП вы всегда легко и бесплатно найдёте условие с правильным ответом на вопрос «Как решить ДЗ» и «Как сделать» задание по алгебре к упражнению №14.12 (с. 62), авторов: Арефьева (Ирина Глебовна), Пирютко (Ольга Николаевна), учебного пособия издательства Народная асвета.