Номер 17.33, страница 79 - гдз по алгебре 7-9 класс сборник задач Арефьева, Пирютко

Алгебра, 7-9 класс Сборник задач, авторы: Арефьева Ирина Глебовна, Пирютко Ольга Николаевна, издательство Народная асвета, Минск, 2020

Авторы: Арефьева И. Г., Пирютко О. Н.

Тип: Сборник задач

Издательство: Народная асвета

Год издания: 2020 - 2026

Цвет обложки: синий с графиками

Допущено Министерством образования Республики Беларусь

Популярные ГДЗ в 7 классе

7 класс. Параграф 17. Функция. Линейная функция - номер 17.33, страница 79.

№17.33 (с. 79)
Условие. №17.33 (с. 79)
скриншот условия
Алгебра, 7-9 класс Сборник задач, авторы: Арефьева Ирина Глебовна, Пирютко Ольга Николаевна, издательство Народная асвета, Минск, 2020, страница 79, номер 17.33, Условие

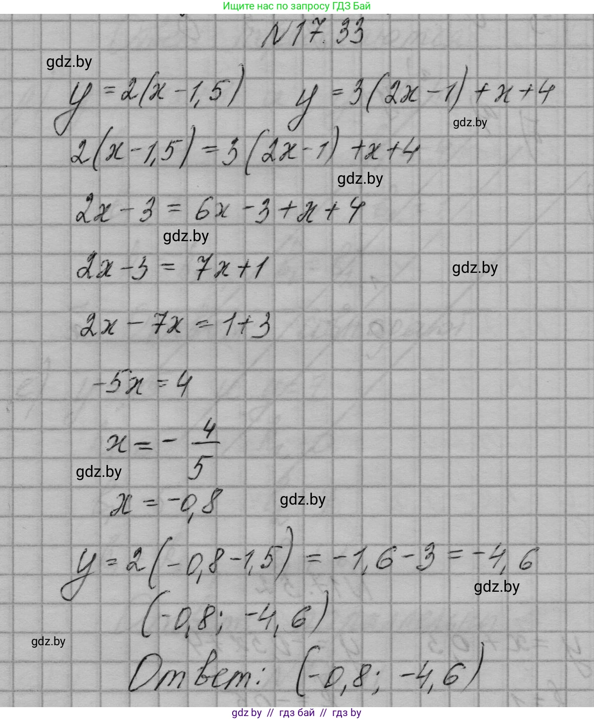
17.33. Найдите точки пересечения (если они есть) графиков функций, заданных формулами $y=2(x-1,5)$ и $y=3(2x-1)+x+4$.

Решение. №17.33 (с. 79)
Алгебра, 7-9 класс Сборник задач, авторы: Арефьева Ирина Глебовна, Пирютко Ольга Николаевна, издательство Народная асвета, Минск, 2020, страница 79, номер 17.33, Решение
Решение 2. №17.33 (с. 79)

Чтобы найти точки пересечения графиков функций, нужно найти такие значения $x$ и $y$, которые удовлетворяют обоим уравнениям. Для этого приравняем правые части данных уравнений, так как в точке пересечения значения $y$ у обеих функций равны.

Заданы функции: $y = 2(x - 1,5)$ и $y = 3(2x - 1) + x + 4$.

Сначала упростим каждое уравнение.

Упростим первое уравнение:
$y = 2(x - 1,5)$
$y = 2x - 2 \cdot 1,5$
$y = 2x - 3$

Упростим второе уравнение:
$y = 3(2x - 1) + x + 4$
$y = 6x - 3 + x + 4$
$y = (6x + x) + (-3 + 4)$
$y = 7x + 1$

Теперь у нас есть система из двух линейных уравнений:
$y = 2x - 3$
$y = 7x + 1$

Приравняем правые части, чтобы найти абсциссу ($x$) точки пересечения:
$2x - 3 = 7x + 1$

Перенесем слагаемые с переменной $x$ в левую часть, а свободные члены — в правую:
$2x - 7x = 1 + 3$
$-5x = 4$

Решим уравнение относительно $x$:
$x = \frac{4}{-5}$
$x = -0,8$

Теперь, когда мы нашли абсциссу точки пересечения, найдем соответствующую ей ординату ($y$), подставив значение $x = -0,8$ в любое из упрощенных уравнений. Возьмем первое: $y = 2x - 3$.
$y = 2 \cdot (-0,8) - 3 = -1,6 - 3 = -4,6$

Для проверки можно подставить $x = -0,8$ и во второе уравнение: $y = 7x + 1$.
$y = 7 \cdot (-0,8) + 1 = -5,6 + 1 = -4,6$

Так как значения $y$ совпали, решение найдено верно. Графики функций пересекаются в одной точке с координатами $(-0,8; -4,6)$.

Ответ: $(-0,8; -4,6)$.

Помогло решение? Оставьте отзыв в комментариях ниже.

Присоединяйтесь к Телеграм-группе @gdz_by_belarus

Присоединиться

Мы подготовили для вас ответ c подробным объяснением домашего задания по алгебре за 7-9 класс, для упражнения номер 17.33 расположенного на странице 79 к сборнику задач 2020 года издания для учащихся школ и гимназий.

Теперь на нашем сайте ГДЗ.ТОП вы всегда легко и бесплатно найдёте условие с правильным ответом на вопрос «Как решить ДЗ» и «Как сделать» задание по алгебре к упражнению №17.33 (с. 79), авторов: Арефьева (Ирина Глебовна), Пирютко (Ольга Николаевна), учебного пособия издательства Народная асвета.