Номер 18.12, страница 83 - гдз по алгебре 7-9 класс сборник задач Арефьева, Пирютко

Алгебра, 7-9 класс Сборник задач, авторы: Арефьева Ирина Глебовна, Пирютко Ольга Николаевна, издательство Народная асвета, Минск, 2020

Авторы: Арефьева И. Г., Пирютко О. Н.

Тип: Сборник задач

Издательство: Народная асвета

Год издания: 2020 - 2026

Цвет обложки: синий с графиками

Допущено Министерством образования Республики Беларусь

Популярные ГДЗ в 7 классе

7 класс. Параграф 18. Линейные уравнения с двумя переменными. График линейного уравнения ах + by = с с двумя переменными - номер 18.12, страница 83.

№18.12 (с. 83)
Условие. №18.12 (с. 83)
скриншот условия
Алгебра, 7-9 класс Сборник задач, авторы: Арефьева Ирина Глебовна, Пирютко Ольга Николаевна, издательство Народная асвета, Минск, 2020, страница 83, номер 18.12, Условие

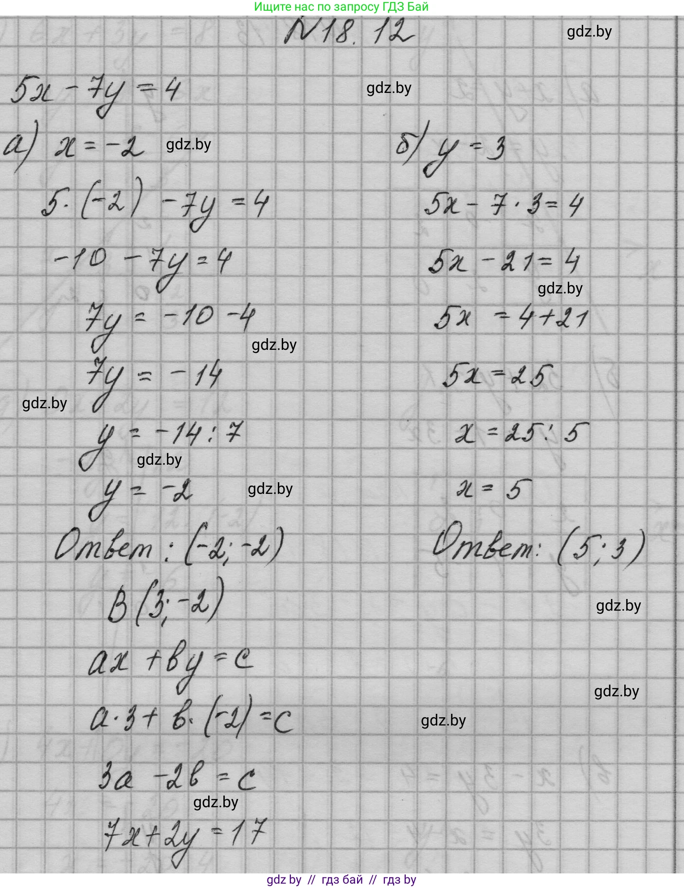
18.12. Найдите координаты точки графика уравнения
$5x - 7y = 4$, у которой:

а) абсцисса равна -2;
б) ордината равна 3.

Составьте линейное уравнение с переменными $x$ и $y$, график которого проходит через точку $B(3; -2)$.

Решение. №18.12 (с. 83)
Алгебра, 7-9 класс Сборник задач, авторы: Арефьева Ирина Глебовна, Пирютко Ольга Николаевна, издательство Народная асвета, Минск, 2020, страница 83, номер 18.12, Решение
Решение 2. №18.12 (с. 83)

а)

Дано уравнение графика $5x - 7y = 4$. Абсцисса точки — это ее координата $x$. По условию, $x = -2$.

Чтобы найти ординату $y$, подставим значение $x = -2$ в уравнение:

$5 \cdot (-2) - 7y = 4$

$-10 - 7y = 4$

Перенесем -10 в правую часть уравнения, изменив знак:

$-7y = 4 + 10$

$-7y = 14$

Разделим обе части уравнения на -7:

$y = \frac{14}{-7}$

$y = -2$

Следовательно, координаты точки: (-2; -2).

Ответ: (-2; -2).

б)

Дано уравнение графика $5x - 7y = 4$. Ордината точки — это ее координата $y$. По условию, $y = 3$.

Чтобы найти абсциссу $x$, подставим значение $y = 3$ в уравнение:

$5x - 7 \cdot 3 = 4$

$5x - 21 = 4$

Перенесем -21 в правую часть уравнения, изменив знак:

$5x = 4 + 21$

$5x = 25$

Разделим обе части уравнения на 5:

$x = \frac{25}{5}$

$x = 5$

Следовательно, координаты точки: (5; 3).

Ответ: (5; 3).

Составьте линейное уравнение с переменными x и y, график которого проходит через точку B(3; -2).

Линейное уравнение с переменными $x$ и $y$ имеет общий вид $ax + by = c$. Чтобы график этого уравнения проходил через точку B(3; -2), ее координаты должны удовлетворять этому уравнению. То есть, при подстановке $x=3$ и $y=-2$ в уравнение, мы должны получить верное равенство.

Существует бесконечное множество таких уравнений. Для составления одного из них мы можем выбрать произвольные коэффициенты $a$ и $b$ (не равные нулю одновременно), а затем вычислить соответствующее значение $c$.

Например, выберем самые простые коэффициенты: $a=1$ и $b=1$. Тогда уравнение примет вид $x + y = c$.

Теперь подставим координаты точки B(3; -2) в это уравнение, чтобы найти $c$:

$3 + (-2) = c$

$1 = c$

Таким образом, мы получили линейное уравнение $x + y = 1$. График этого уравнения проходит через точку B(3; -2).

Ответ: $x + y = 1$ (это один из множества возможных ответов, например, $2x+y=4$ или $x-y=5$ также являются верными).

Помогло решение? Оставьте отзыв в комментариях ниже.

Присоединяйтесь к Телеграм-группе @gdz_by_belarus

Присоединиться

Мы подготовили для вас ответ c подробным объяснением домашего задания по алгебре за 7-9 класс, для упражнения номер 18.12 расположенного на странице 83 к сборнику задач 2020 года издания для учащихся школ и гимназий.

Теперь на нашем сайте ГДЗ.ТОП вы всегда легко и бесплатно найдёте условие с правильным ответом на вопрос «Как решить ДЗ» и «Как сделать» задание по алгебре к упражнению №18.12 (с. 83), авторов: Арефьева (Ирина Глебовна), Пирютко (Ольга Николаевна), учебного пособия издательства Народная асвета.