Номер 1.56, страница 13 - гдз по алгебре 7-9 класс сборник задач Арефьева, Пирютко

Алгебра, 7-9 класс Сборник задач, авторы: Арефьева Ирина Глебовна, Пирютко Ольга Николаевна, издательство Народная асвета, Минск, 2020

Авторы: Арефьева И. Г., Пирютко О. Н.

Тип: Сборник задач

Издательство: Народная асвета

Год издания: 2020 - 2026

Цвет обложки: синий с графиками

Допущено Министерством образования Республики Беларусь

Популярные ГДЗ в 7 классе

7 класс. Параграф 1. Степень с натуральным показателем и ее свойства - номер 1.56, страница 13.

№1.56 (с. 13)
Условие. №1.56 (с. 13)
скриншот условия
Алгебра, 7-9 класс Сборник задач, авторы: Арефьева Ирина Глебовна, Пирютко Ольга Николаевна, издательство Народная асвета, Минск, 2020, страница 13, номер 1.56, Условие

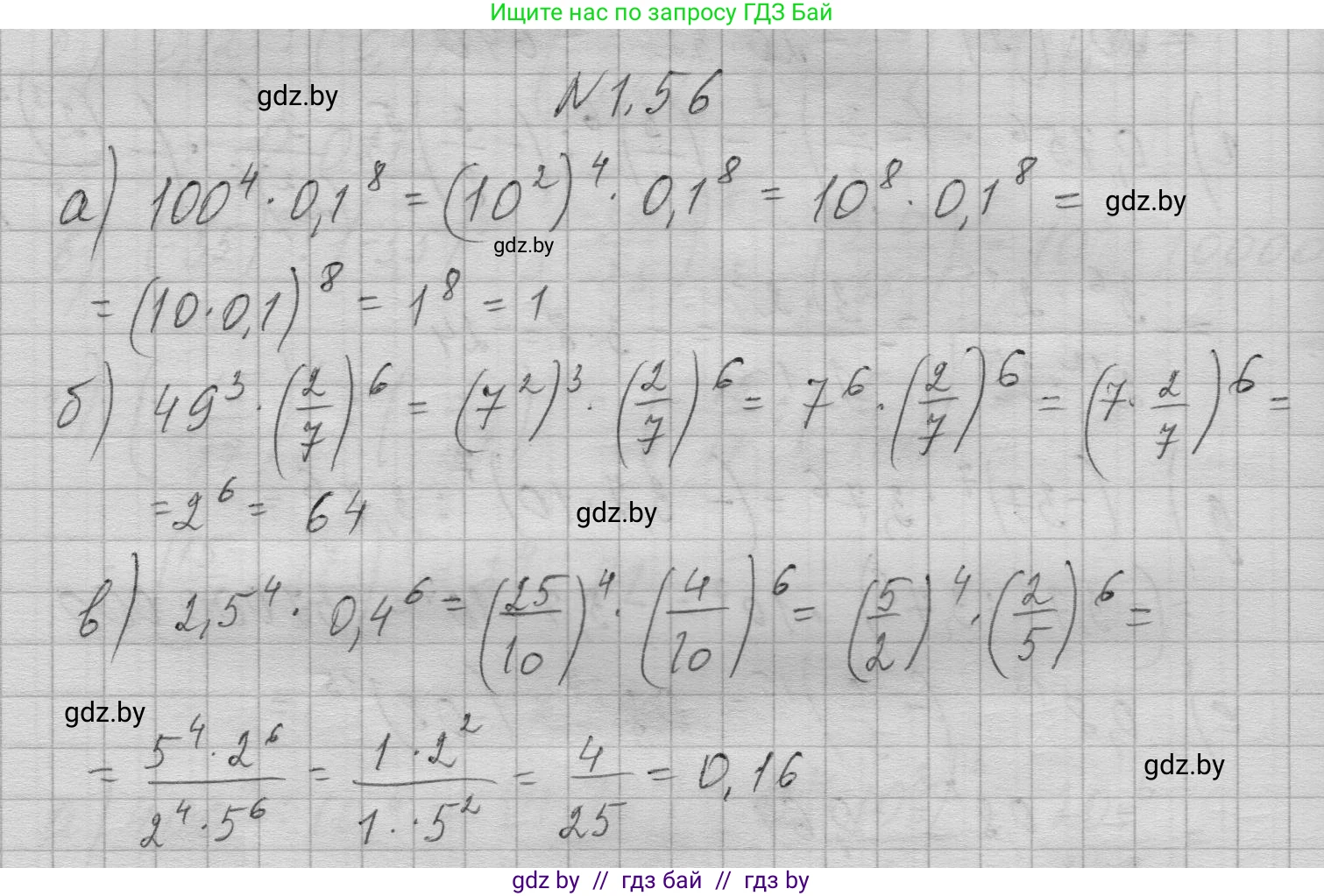
1.56. Вычислите, используя свойства степени:

а) $100^4 \cdot 0,1^8;$

б) $49^3 \cdot \left(\frac{2}{7}\right)^6;$

в) $2,5^4 \cdot 0,4^6.$

Решение. №1.56 (с. 13)
Алгебра, 7-9 класс Сборник задач, авторы: Арефьева Ирина Глебовна, Пирютко Ольга Николаевна, издательство Народная асвета, Минск, 2020, страница 13, номер 1.56, Решение
Решение 2. №1.56 (с. 13)

а) $100^4 \cdot 0,1^8$

Чтобы вычислить значение выражения, приведем степени к одному основанию. Заметим, что $100 = 10^2$ и $0,1 = 10^{-1}$.
Подставим эти значения в исходное выражение:
$100^4 \cdot 0,1^8 = (10^2)^4 \cdot (10^{-1})^8$
Используем свойство возведения степени в степень $(a^m)^n = a^{m \cdot n}$:
$(10^2)^4 = 10^{2 \cdot 4} = 10^8$
$(10^{-1})^8 = 10^{-1 \cdot 8} = 10^{-8}$
Теперь выражение имеет вид:
$10^8 \cdot 10^{-8}$
Используем свойство умножения степеней с одинаковым основанием $a^m \cdot a^n = a^{m+n}$:
$10^8 \cdot 10^{-8} = 10^{8 + (-8)} = 10^0$
Любое число (кроме нуля) в нулевой степени равно единице.
$10^0 = 1$
Ответ: 1

б) $49^3 \cdot \left(\frac{2}{7}\right)^6$

Чтобы использовать свойства степени, приведем множители к степеням с одинаковым показателем.
Представим число 49 как $7^2$:
$49^3 = (7^2)^3$
По свойству $(a^m)^n = a^{m \cdot n}$:
$(7^2)^3 = 7^{2 \cdot 3} = 7^6$
Теперь исходное выражение выглядит так:
$7^6 \cdot \left(\frac{2}{7}\right)^6$
Используем свойство произведения степеней с одинаковыми показателями $a^n \cdot b^n = (a \cdot b)^n$:
$\left(7 \cdot \frac{2}{7}\right)^6$
Упростим выражение в скобках:
$(2)^6$
Вычислим результат:
$2^6 = 64$
Ответ: 64

в) $2,5^4 \cdot 0,4^6$

Приведем степени к одному основанию. Для этого представим десятичные дроби в виде обыкновенных.
$2,5 = \frac{25}{10} = \frac{5}{2}$
$0,4 = \frac{4}{10} = \frac{2}{5}$
Выражение принимает вид:
$\left(\frac{5}{2}\right)^4 \cdot \left(\frac{2}{5}\right)^6$
Заметим, что основания являются взаимно обратными числами: $\frac{2}{5} = \left(\frac{5}{2}\right)^{-1}$. Подставим это в выражение:
$\left(\frac{5}{2}\right)^4 \cdot \left(\left(\frac{5}{2}\right)^{-1}\right)^6$
Используем свойство $(a^m)^n = a^{m \cdot n}$:
$\left(\frac{5}{2}\right)^4 \cdot \left(\frac{5}{2}\right)^{-6}$
Теперь используем свойство $a^m \cdot a^n = a^{m+n}$:
$\left(\frac{5}{2}\right)^{4 + (-6)} = \left(\frac{5}{2}\right)^{-2}$
Используем свойство степени с отрицательным показателем $a^{-n} = \left(\frac{1}{a}\right)^n$:
$\left(\frac{2}{5}\right)^2 = \frac{2^2}{5^2} = \frac{4}{25}$
Переведем дробь обратно в десятичную:
$\frac{4}{25} = \frac{4 \cdot 4}{25 \cdot 4} = \frac{16}{100} = 0,16$
Ответ: 0,16

Помогло решение? Оставьте отзыв в комментариях ниже.

Присоединяйтесь к Телеграм-группе @gdz_by_belarus

Присоединиться

Мы подготовили для вас ответ c подробным объяснением домашего задания по алгебре за 7-9 класс, для упражнения номер 1.56 расположенного на странице 13 к сборнику задач 2020 года издания для учащихся школ и гимназий.

Теперь на нашем сайте ГДЗ.ТОП вы всегда легко и бесплатно найдёте условие с правильным ответом на вопрос «Как решить ДЗ» и «Как сделать» задание по алгебре к упражнению №1.56 (с. 13), авторов: Арефьева (Ирина Глебовна), Пирютко (Ольга Николаевна), учебного пособия издательства Народная асвета.