Номер 22.28, страница 102 - гдз по алгебре 7-9 класс сборник задач Арефьева, Пирютко

Алгебра, 7-9 класс Сборник задач, авторы: Арефьева Ирина Глебовна, Пирютко Ольга Николаевна, издательство Народная асвета, Минск, 2020

Авторы: Арефьева И. Г., Пирютко О. Н.

Тип: Сборник задач

Издательство: Народная асвета

Год издания: 2020 - 2026

Цвет обложки: синий с графиками

Допущено Министерством образования Республики Беларусь

Популярные ГДЗ в 7 классе

8 класс. Параграф 22. Свойства квадратных корней - номер 22.28, страница 102.

№22.28 (с. 102)
Условие. №22.28 (с. 102)
скриншот условия
Алгебра, 7-9 класс Сборник задач, авторы: Арефьева Ирина Глебовна, Пирютко Ольга Николаевна, издательство Народная асвета, Минск, 2020, страница 102, номер 22.28, Условие Алгебра, 7-9 класс Сборник задач, авторы: Арефьева Ирина Глебовна, Пирютко Ольга Николаевна, издательство Народная асвета, Минск, 2020, страница 102, номер 22.28, Условие (продолжение 2)

22.28. Представьте в виде одночлена стандартного вида выражение:

а) $\sqrt{x^{10}}$ при $x \ge 0$;

б) $\sqrt{9a^6}$ при $a < 0$;

в) $\sqrt{c^8}$;

г) $\sqrt{\frac{x^6}{49}};

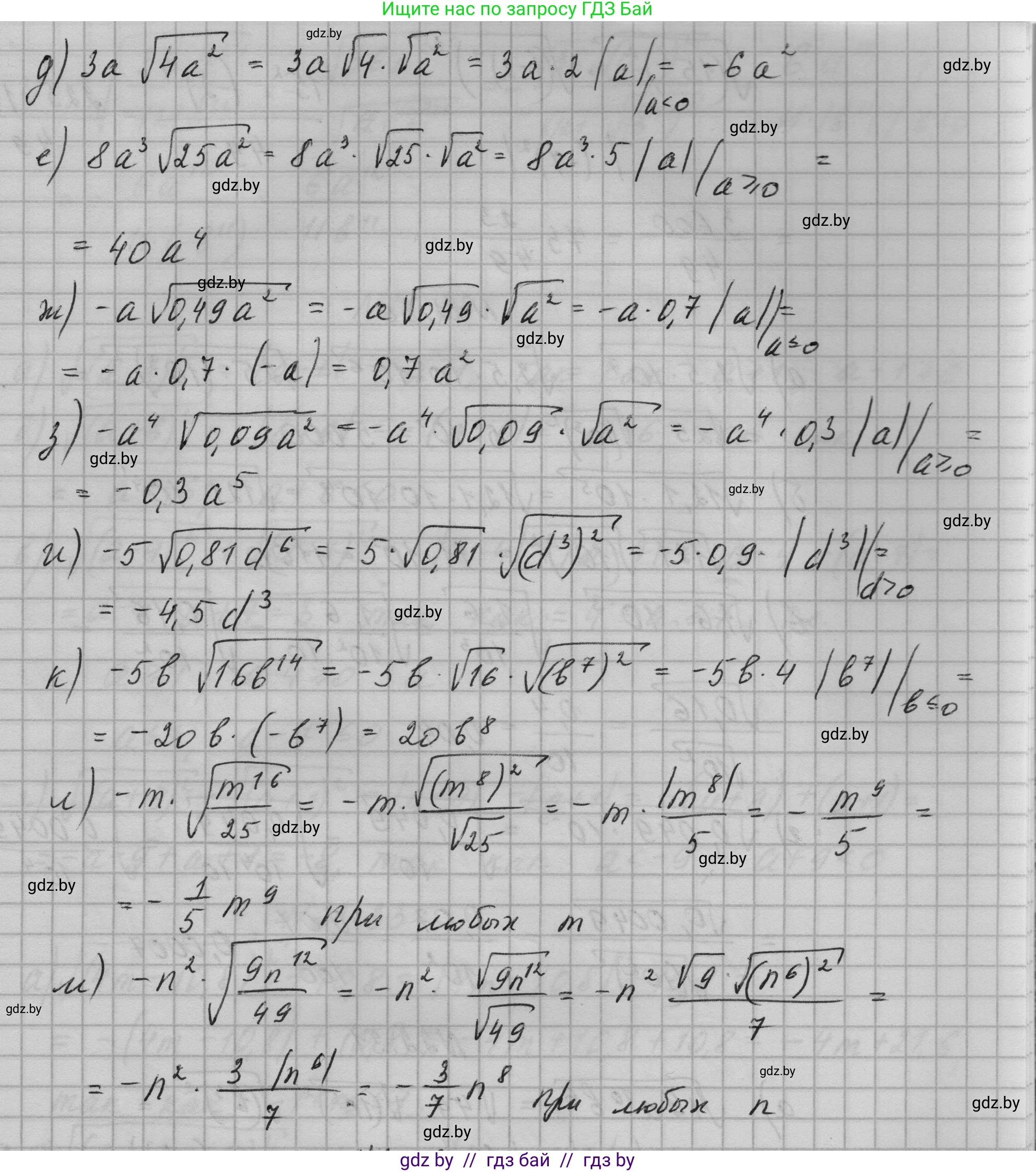
д) $3a\sqrt{4a^2}$ при $a < 0$;

е) $8a^3\sqrt{25a^2}$ при $a \ge 0$;

ж) $-a\sqrt{0,49a^2}$ при $a \le 0$;

з) $-a^4\sqrt{0,09a^2}$ при $a \ge 0$;

и) $-5\sqrt{0,81d^6}$ при $d > 0$;

к) $-5b\sqrt{16b^{14}}$ при $b \le 0$;

л) $-m \cdot \sqrt{\frac{m^{16}}{25}};

м) $-n^2 \cdot \sqrt{\frac{9n^{12}}{49}}.$

Решение. №22.28 (с. 102)
Алгебра, 7-9 класс Сборник задач, авторы: Арефьева Ирина Глебовна, Пирютко Ольга Николаевна, издательство Народная асвета, Минск, 2020, страница 102, номер 22.28, Решение Алгебра, 7-9 класс Сборник задач, авторы: Арефьева Ирина Глебовна, Пирютко Ольга Николаевна, издательство Народная асвета, Минск, 2020, страница 102, номер 22.28, Решение (продолжение 2)
Решение 2. №22.28 (с. 102)

а) $\sqrt{x^{10}} = \sqrt{(x^5)^2} = |x^5|$. Поскольку по условию $x \ge 0$, то $x^5 \ge 0$, и следовательно, $|x^5| = x^5$.
Ответ: $x^5$

б) $\sqrt{9a^6} = \sqrt{(3a^3)^2} = |3a^3|$. По условию $a < 0$, значит $a^3 < 0$, и $3a^3 < 0$. Следовательно, модуль раскрывается со знаком минус: $|3a^3| = -3a^3$.
Ответ: $-3a^3$

в) $\sqrt{c^8} = \sqrt{(c^4)^2} = |c^4|$. Поскольку показатель степени 4 является четным числом, выражение $c^4$ всегда неотрицательно ($c^4 \ge 0$) для любого значения $c$. Следовательно, $|c^4| = c^4$.
Ответ: $c^4$

г) $\sqrt{\frac{x^6}{49}} = \sqrt{(\frac{x^3}{7})^2} = |\frac{x^3}{7}|$. Чтобы представить выражение в виде одночлена, необходимо раскрыть модуль. Так как знак переменной $x$ не задан, обычно в таких случаях предполагают, что переменная неотрицательна. При $x \ge 0$ имеем $x^3 \ge 0$, и $|\frac{x^3}{7}| = \frac{x^3}{7}$.
Ответ: $\frac{1}{7}x^3$

д) $3a\sqrt{4a^2} = 3a\sqrt{(2a)^2} = 3a|2a|$. По условию $a < 0$, значит $2a < 0$, и $|2a| = -2a$. Тогда выражение равно $3a \cdot (-2a) = -6a^2$.
Ответ: $-6a^2$

е) $8a^3\sqrt{25a^2} = 8a^3\sqrt{(5a)^2} = 8a^3|5a|$. По условию $a \ge 0$, значит $5a \ge 0$, и $|5a| = 5a$. Тогда выражение равно $8a^3 \cdot (5a) = 40a^4$.
Ответ: $40a^4$

ж) $-a\sqrt{0,49a^2} = -a\sqrt{(0,7a)^2} = -a|0,7a|$. По условию $a \le 0$, значит $0,7a \le 0$, и $|0,7a| = -0,7a$. Тогда выражение равно $-a \cdot (-0,7a) = 0,7a^2$.
Ответ: $0,7a^2$

з) $-a^4\sqrt{0,09a^2} = -a^4\sqrt{(0,3a)^2} = -a^4|0,3a|$. По условию $a \ge 0$, значит $0,3a \ge 0$, и $|0,3a| = 0,3a$. Тогда выражение равно $-a^4 \cdot (0,3a) = -0,3a^5$.
Ответ: $-0,3a^5$

и) $-5\sqrt{0,81d^6} = -5\sqrt{(0,9d^3)^2} = -5|0,9d^3|$. По условию $d > 0$, значит $d^3 > 0$, и $|0,9d^3| = 0,9d^3$. Тогда выражение равно $-5 \cdot (0,9d^3) = -4,5d^3$.
Ответ: $-4,5d^3$

к) $-5b\sqrt{16b^{14}} = -5b\sqrt{(4b^7)^2} = -5b|4b^7|$. По условию $b \le 0$, то $b^7 \le 0$ (так как 7 - нечетное число). Следовательно, $4b^7 \le 0$ и $|4b^7| = -4b^7$. Тогда выражение равно $-5b \cdot (-4b^7) = 20b^8$.
Ответ: $20b^8$

л) $-m \cdot \sqrt{\frac{m^{16}}{25}} = -m \cdot \sqrt{(\frac{m^8}{5})^2} = -m \cdot |\frac{m^8}{5}|$. Так как $m^8 \ge 0$ для любого $m$ (четная степень), то $|\frac{m^8}{5}| = \frac{m^8}{5}$. Тогда выражение равно $-m \cdot \frac{m^8}{5} = -\frac{1}{5}m^9 = -0,2m^9$.
Ответ: $-0,2m^9$

м) $-n^2 \cdot \sqrt{\frac{9n^{12}}{49}} = -n^2 \cdot \sqrt{(\frac{3n^6}{7})^2} = -n^2 \cdot |\frac{3n^6}{7}|$. Так как $n^6 \ge 0$ для любого $n$ (четная степень), то $|\frac{3n^6}{7}| = \frac{3n^6}{7}$. Тогда выражение равно $-n^2 \cdot \frac{3n^6}{7} = -\frac{3}{7}n^8$.
Ответ: $-\frac{3}{7}n^8$

Помогло решение? Оставьте отзыв в комментариях ниже.

Присоединяйтесь к Телеграм-группе @gdz_by_belarus

Присоединиться

Мы подготовили для вас ответ c подробным объяснением домашего задания по алгебре за 7-9 класс, для упражнения номер 22.28 расположенного на странице 102 к сборнику задач 2020 года издания для учащихся школ и гимназий.

Теперь на нашем сайте ГДЗ.ТОП вы всегда легко и бесплатно найдёте условие с правильным ответом на вопрос «Как решить ДЗ» и «Как сделать» задание по алгебре к упражнению №22.28 (с. 102), авторов: Арефьева (Ирина Глебовна), Пирютко (Ольга Николаевна), учебного пособия издательства Народная асвета.