Номер 1.71, страница 15 - гдз по алгебре 7-9 класс сборник задач Арефьева, Пирютко

Алгебра, 7-9 класс Сборник задач, авторы: Арефьева Ирина Глебовна, Пирютко Ольга Николаевна, издательство Народная асвета, Минск, 2020

Авторы: Арефьева И. Г., Пирютко О. Н.

Тип: Сборник задач

Издательство: Народная асвета

Год издания: 2020 - 2026

Цвет обложки: синий с графиками

Допущено Министерством образования Республики Беларусь

7 класс. Параграф 1. Степень с натуральным показателем и ее свойства - номер 1.71, страница 15.

№1.71 (с. 15)
Условие. №1.71 (с. 15)
скриншот условия
Алгебра, 7-9 класс Сборник задач, авторы: Арефьева Ирина Глебовна, Пирютко Ольга Николаевна, издательство Народная асвета, Минск, 2020, страница 15, номер 1.71, Условие

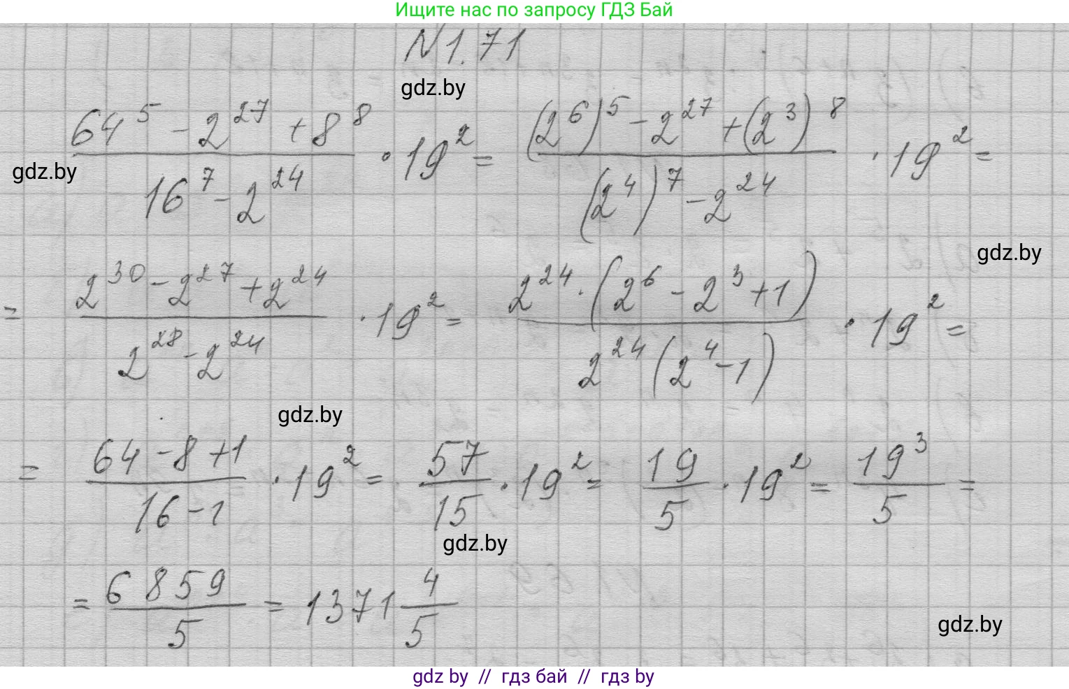
1.71*. Найдите значение выражения $\frac{64^5 - 2^{27} + 8^8}{16^7 - 2^{24}}: 19^2$.

Решение. №1.71 (с. 15)
Алгебра, 7-9 класс Сборник задач, авторы: Арефьева Ирина Глебовна, Пирютко Ольга Николаевна, издательство Народная асвета, Минск, 2020, страница 15, номер 1.71, Решение
Решение 2. №1.71 (с. 15)

1.71*

Чтобы найти значение выражения $\frac{64^5 - 2^{27} + 8^8}{16^7 - 2^{24}} : 19^2$, необходимо выполнить действия в определенном порядке: сначала упростить дробь, а затем выполнить деление.

1. Упрощение дроби.

Для упрощения дроби представим все числа в основаниях степеней (64, 8, 16) как степени с основанием 2:

  • $64 = 2^6$
  • $8 = 2^3$
  • $16 = 2^4$

Теперь преобразуем числитель дроби, подставив новые основания и используя свойство степени $(a^m)^n = a^{m \cdot n}$:

$64^5 - 2^{27} + 8^8 = (2^6)^5 - 2^{27} + (2^3)^8 = 2^{30} - 2^{27} + 2^{24}$

Вынесем за скобки общий множитель, которым является наименьшая степень числа 2, то есть $2^{24}$:

$2^{24}(2^{30-24} - 2^{27-24} + 2^{24-24}) = 2^{24}(2^6 - 2^3 + 2^0)$

Вычислим значения в скобках:

$2^{24}(64 - 8 + 1) = 2^{24} \cdot 57$

Аналогично преобразуем знаменатель дроби:

$16^7 - 2^{24} = (2^4)^7 - 2^{24} = 2^{28} - 2^{24}$

Вынесем за скобки общий множитель $2^{24}$:

$2^{24}(2^{28-24} - 2^{24-24}) = 2^{24}(2^4 - 2^0)$

Вычислим значения в скобках:

$2^{24}(16 - 1) = 2^{24} \cdot 15$

Теперь подставим упрощенные числитель и знаменатель обратно в дробь:

$\frac{2^{24} \cdot 57}{2^{24} \cdot 15} = \frac{57}{15}$

Сократим полученную дробь, разделив числитель и знаменатель на их общий делитель 3:

$\frac{57}{15} = \frac{19 \cdot 3}{5 \cdot 3} = \frac{19}{5}$

2. Выполнение деления.

Теперь разделим полученный результат на $19^2$. Деление на число эквивалентно умножению на обратное ему число:

$\frac{19}{5} : 19^2 = \frac{19}{5} \cdot \frac{1}{19^2} = \frac{19}{5 \cdot 19^2}$

Сократим 19 в числителе и знаменателе:

$\frac{19}{5 \cdot 19 \cdot 19} = \frac{1}{5 \cdot 19} = \frac{1}{95}$

Ответ: $\frac{1}{95}$.

Помогло решение? Оставьте отзыв в комментариях ниже.

Присоединяйтесь к Телеграм-группе @gdz_by_belarus

Присоединиться

Мы подготовили для вас ответ c подробным объяснением домашего задания по алгебре за 7-9 класс, для упражнения номер 1.71 расположенного на странице 15 к сборнику задач 2020 года издания для учащихся школ и гимназий.

Теперь на нашем сайте ГДЗ.ТОП вы всегда легко и бесплатно найдёте условие с правильным ответом на вопрос «Как решить ДЗ» и «Как сделать» задание по алгебре к упражнению №1.71 (с. 15), авторов: Арефьева (Ирина Глебовна), Пирютко (Ольга Николаевна), учебного пособия издательства Народная асвета.