Номер 24.32, страница 118 - гдз по алгебре 7-9 класс сборник задач Арефьева, Пирютко

Алгебра, 7-9 класс Сборник задач, авторы: Арефьева Ирина Глебовна, Пирютко Ольга Николаевна, издательство Народная асвета, Минск, 2020

Авторы: Арефьева И. Г., Пирютко О. Н.

Тип: Сборник задач

Издательство: Народная асвета

Год издания: 2020 - 2026

Цвет обложки: синий с графиками

Допущено Министерством образования Республики Беларусь

8 класс. Параграф 24. Системы и совокупности линейных неравенств с одной переменной. Решение двойных неравенств. Числовые промежутки - номер 24.32, страница 118.

№24.32 (с. 118)
Условие. №24.32 (с. 118)
скриншот условия
Алгебра, 7-9 класс Сборник задач, авторы: Арефьева Ирина Глебовна, Пирютко Ольга Николаевна, издательство Народная асвета, Минск, 2020, страница 118, номер 24.32, Условие

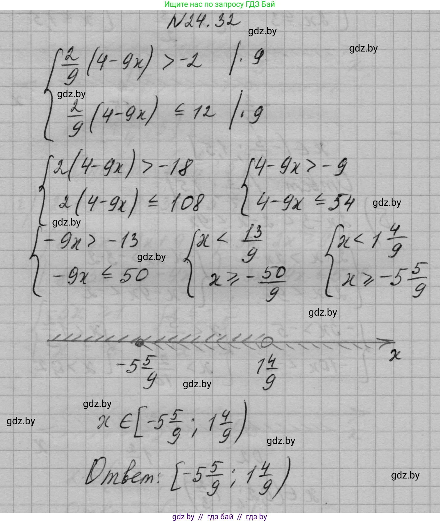
24.32. Найдите, при каких значениях переменной значение выражения $\frac{2}{9}(4-9x)$ больше -2, но не превышает 12.

Решение. №24.32 (с. 118)
Алгебра, 7-9 класс Сборник задач, авторы: Арефьева Ирина Глебовна, Пирютко Ольга Николаевна, издательство Народная асвета, Минск, 2020, страница 118, номер 24.32, Решение
Решение 2. №24.32 (с. 118)

Условие "значение выражения $\frac{2}{9}(4-9x)$ больше -2, но не превышает 12" можно записать в виде двойного неравенства:

$-2 < \frac{2}{9}(4 - 9x) \le 12$

Чтобы решить это неравенство, сначала умножим все его части на $\frac{9}{2}$. Так как мы умножаем на положительное число, знаки неравенства сохраняются:

$-2 \cdot \frac{9}{2} < \frac{2}{9}(4 - 9x) \cdot \frac{9}{2} \le 12 \cdot \frac{9}{2}$

Выполним вычисления:

$-9 < 4 - 9x \le 54$

Теперь вычтем 4 из всех частей неравенства, чтобы изолировать слагаемое, содержащее переменную $x$:

$-9 - 4 < 4 - 9x - 4 \le 54 - 4$

$-13 < -9x \le 50$

На последнем шаге разделим все части неравенства на -9. Важно помнить, что при делении на отрицательное число знаки неравенства меняются на противоположные:

$\frac{-13}{-9} > \frac{-9x}{-9} \ge \frac{50}{-9}$

$\frac{13}{9} > x \ge -\frac{50}{9}$

Для удобства чтения запишем результат в стандартном виде, от меньшего числа к большему:

$-\frac{50}{9} \le x < \frac{13}{9}$

Это решение можно также представить в виде числового промежутка.

Ответ: $x \in [-\frac{50}{9}; \frac{13}{9})$.

Помогло решение? Оставьте отзыв в комментариях ниже.

Присоединяйтесь к Телеграм-группе @gdz_by_belarus

Присоединиться

Мы подготовили для вас ответ c подробным объяснением домашего задания по алгебре за 7-9 класс, для упражнения номер 24.32 расположенного на странице 118 к сборнику задач 2020 года издания для учащихся школ и гимназий.

Теперь на нашем сайте ГДЗ.ТОП вы всегда легко и бесплатно найдёте условие с правильным ответом на вопрос «Как решить ДЗ» и «Как сделать» задание по алгебре к упражнению №24.32 (с. 118), авторов: Арефьева (Ирина Глебовна), Пирютко (Ольга Николаевна), учебного пособия издательства Народная асвета.