Номер 27.1, страница 127 - гдз по алгебре 7-9 класс сборник задач Арефьева, Пирютко

Алгебра, 7-9 класс Сборник задач, авторы: Арефьева Ирина Глебовна, Пирютко Ольга Николаевна, издательство Народная асвета, Минск, 2020

Авторы: Арефьева И. Г., Пирютко О. Н.

Тип: Сборник задач

Издательство: Народная асвета

Год издания: 2020 - 2026

Цвет обложки: синий с графиками

Допущено Министерством образования Республики Беларусь

Популярные ГДЗ в 7 классе

8 класс. Параграф 27. Квадратный трехчлен. Разложение квадратного трехчлена на множители - номер 27.1, страница 127.

№27.1 (с. 127)
Условие. №27.1 (с. 127)
скриншот условия
Алгебра, 7-9 класс Сборник задач, авторы: Арефьева Ирина Глебовна, Пирютко Ольга Николаевна, издательство Народная асвета, Минск, 2020, страница 127, номер 27.1, Условие

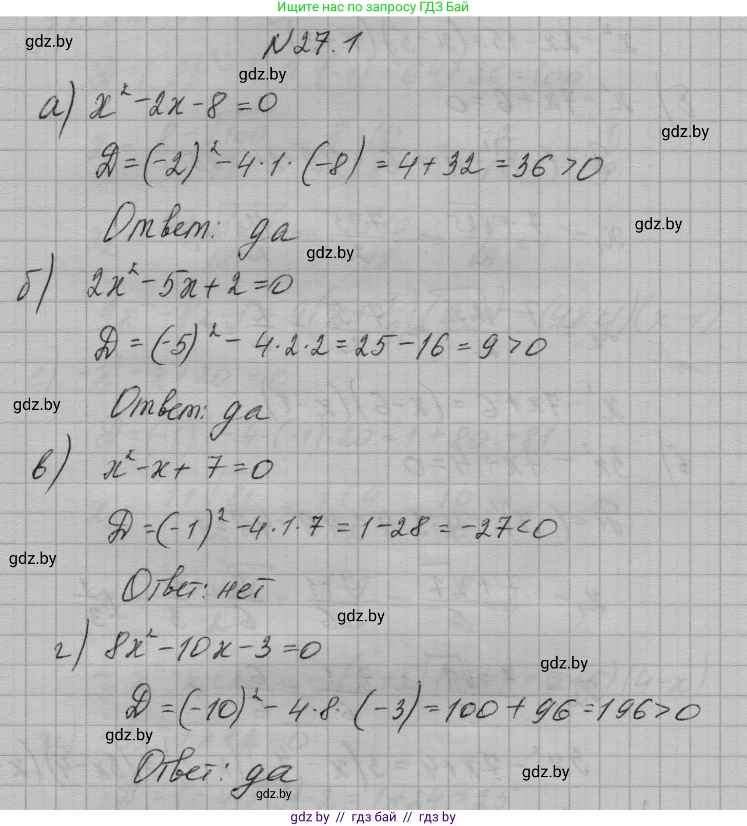
27.1. Можно ли представить в виде произведения двух двучленов квадратный трехчлен:

а) $x^2 - 2x - 8;$

б) $2x^2 - 5x + 2;$

в) $x^2 - x + 7;$

г) $8x^2 - 10x - 3?$

Решение. №27.1 (с. 127)
Алгебра, 7-9 класс Сборник задач, авторы: Арефьева Ирина Глебовна, Пирютко Ольга Николаевна, издательство Народная асвета, Минск, 2020, страница 127, номер 27.1, Решение
Решение 2. №27.1 (с. 127)

Чтобы определить, можно ли представить квадратный трехчлен $ax^2 + bx + c$ в виде произведения двух двучленов, нужно проверить, имеет ли соответствующее квадратное уравнение $ax^2 + bx + c = 0$ действительные корни. Это можно сделать, вычислив дискриминант $D = b^2 - 4ac$. Если $D \ge 0$, то трехчлен можно разложить на множители. Если $D < 0$, то нельзя.

а) Для трехчлена $x^2 - 2x - 8$ имеем коэффициенты $a=1$, $b=-2$, $c=-8$.
Найдем дискриминант:
$D = b^2 - 4ac = (-2)^2 - 4 \cdot 1 \cdot (-8) = 4 + 32 = 36$.
Так как $D = 36 > 0$, трехчлен можно представить в виде произведения двух двучленов.
Найдем корни уравнения $x^2 - 2x - 8 = 0$:
$x_{1,2} = \frac{-b \pm \sqrt{D}}{2a} = \frac{2 \pm \sqrt{36}}{2 \cdot 1} = \frac{2 \pm 6}{2}$.
$x_1 = \frac{2+6}{2} = 4$, $x_2 = \frac{2-6}{2} = -2$.
Разложение на множители: $x^2 - 2x - 8 = (x - x_1)(x - x_2) = (x - 4)(x - (-2)) = (x-4)(x+2)$.
Ответ: да, можно. Представление: $(x-4)(x+2)$.

б) Для трехчлена $2x^2 - 5x + 2$ имеем коэффициенты $a=2$, $b=-5$, $c=2$.
Найдем дискриминант:
$D = b^2 - 4ac = (-5)^2 - 4 \cdot 2 \cdot 2 = 25 - 16 = 9$.
Так как $D = 9 > 0$, трехчлен можно представить в виде произведения двух двучленов.
Найдем корни уравнения $2x^2 - 5x + 2 = 0$:
$x_{1,2} = \frac{-b \pm \sqrt{D}}{2a} = \frac{5 \pm \sqrt{9}}{2 \cdot 2} = \frac{5 \pm 3}{4}$.
$x_1 = \frac{5+3}{4} = 2$, $x_2 = \frac{5-3}{4} = \frac{1}{2}$.
Разложение на множители: $2x^2 - 5x + 2 = a(x - x_1)(x - x_2) = 2(x - 2)(x - \frac{1}{2}) = (x-2)(2x-1)$.
Ответ: да, можно. Представление: $(x-2)(2x-1)$.

в) Для трехчлена $x^2 - x + 7$ имеем коэффициенты $a=1$, $b=-1$, $c=7$.
Найдем дискриминант:
$D = b^2 - 4ac = (-1)^2 - 4 \cdot 1 \cdot 7 = 1 - 28 = -27$.
Так как $D < 0$, у соответствующего квадратного уравнения нет действительных корней, следовательно, данный трехчлен нельзя представить в виде произведения двух двучленов с действительными коэффициентами.
Ответ: нет, нельзя.

г) Для трехчлена $8x^2 - 10x - 3$ имеем коэффициенты $a=8$, $b=-10$, $c=-3$.
Найдем дискриминант:
$D = b^2 - 4ac = (-10)^2 - 4 \cdot 8 \cdot (-3) = 100 + 96 = 196$.
Так как $D = 196 > 0$, трехчлен можно представить в виде произведения двух двучленов.
Найдем корни уравнения $8x^2 - 10x - 3 = 0$:
$x_{1,2} = \frac{-b \pm \sqrt{D}}{2a} = \frac{10 \pm \sqrt{196}}{2 \cdot 8} = \frac{10 \pm 14}{16}$.
$x_1 = \frac{10+14}{16} = \frac{24}{16} = \frac{3}{2}$, $x_2 = \frac{10-14}{16} = \frac{-4}{16} = -\frac{1}{4}$.
Разложение на множители: $8x^2 - 10x - 3 = a(x - x_1)(x - x_2) = 8(x - \frac{3}{2})(x + \frac{1}{4}) = 2(x - \frac{3}{2}) \cdot 4(x + \frac{1}{4}) = (2x-3)(4x+1)$.
Ответ: да, можно. Представление: $(2x-3)(4x+1)$.

Помогло решение? Оставьте отзыв в комментариях ниже.

Присоединяйтесь к Телеграм-группе @gdz_by_belarus

Присоединиться

Мы подготовили для вас ответ c подробным объяснением домашего задания по алгебре за 7-9 класс, для упражнения номер 27.1 расположенного на странице 127 к сборнику задач 2020 года издания для учащихся школ и гимназий.

Теперь на нашем сайте ГДЗ.ТОП вы всегда легко и бесплатно найдёте условие с правильным ответом на вопрос «Как решить ДЗ» и «Как сделать» задание по алгебре к упражнению №27.1 (с. 127), авторов: Арефьева (Ирина Глебовна), Пирютко (Ольга Николаевна), учебного пособия издательства Народная асвета.