Номер 27.11, страница 128 - гдз по алгебре 7-9 класс сборник задач Арефьева, Пирютко

Алгебра, 7-9 класс Сборник задач, авторы: Арефьева Ирина Глебовна, Пирютко Ольга Николаевна, издательство Народная асвета, Минск, 2020

Авторы: Арефьева И. Г., Пирютко О. Н.

Тип: Сборник задач

Издательство: Народная асвета

Год издания: 2020 - 2026

Цвет обложки: синий с графиками

Допущено Министерством образования Республики Беларусь

8 класс. Параграф 27. Квадратный трехчлен. Разложение квадратного трехчлена на множители - номер 27.11, страница 128.

№27.11 (с. 128)
Условие. №27.11 (с. 128)
скриншот условия
Алгебра, 7-9 класс Сборник задач, авторы: Арефьева Ирина Глебовна, Пирютко Ольга Николаевна, издательство Народная асвета, Минск, 2020, страница 128, номер 27.11, Условие

27.11*. Разложите на множители выражение:

a) $ (x^2 + x + 4)^2 + 8x(x^2 + x + 4) + 15x^2; $

б) $ (x^2 + 4x + 8)^2 + 3x(x^2 + 4x + 8) + 2x^2. $

Решение. №27.11 (с. 128)
Алгебра, 7-9 класс Сборник задач, авторы: Арефьева Ирина Глебовна, Пирютко Ольга Николаевна, издательство Народная асвета, Минск, 2020, страница 128, номер 27.11, Решение Алгебра, 7-9 класс Сборник задач, авторы: Арефьева Ирина Глебовна, Пирютко Ольга Николаевна, издательство Народная асвета, Минск, 2020, страница 128, номер 27.11, Решение (продолжение 2)
Решение 2. №27.11 (с. 128)

а) $(x^2 + x + 4)^2 + 8x(x^2 + x + 4) + 15x^2$

Данное выражение представляет собой квадратный трехчлен относительно выражения $(x^2 + x + 4)$. Чтобы упростить его, введем замену переменной.

Пусть $y = x^2 + x + 4$.

Подставив $y$ в исходное выражение, получим:

$y^2 + 8xy + 15x^2$

Это выражение является квадратным трехчленом относительно переменной $y$. Разложим его на множители. Для этого нам нужно найти два одночлена, сумма которых равна коэффициенту при $y$ (то есть $8x$), а произведение равно свободному члену ($15x^2$). Такими одночленами являются $3x$ и $5x$, так как $3x + 5x = 8x$ и $(3x) \cdot (5x) = 15x^2$.

Следовательно, выражение можно разложить на множители:

$y^2 + 8xy + 15x^2 = (y + 3x)(y + 5x)$

Теперь выполним обратную замену, подставив вместо $y$ его первоначальное выражение $x^2 + x + 4$:

$((x^2 + x + 4) + 3x)((x^2 + x + 4) + 5x)$

Приведем подобные слагаемые в каждой из скобок:

$(x^2 + x + 3x + 4)(x^2 + x + 5x + 4)$

$(x^2 + 4x + 4)(x^2 + 6x + 4)$

Рассмотрим полученные множители. Первый множитель $x^2 + 4x + 4$ является полным квадратом суммы, так как $x^2 + 4x + 4 = x^2 + 2 \cdot x \cdot 2 + 2^2 = (x + 2)^2$.

Для второго множителя $x^2 + 6x + 4$ найдем дискриминант, чтобы проверить, раскладывается ли он на множители с целыми коэффициентами: $D = b^2 - 4ac = 6^2 - 4 \cdot 1 \cdot 4 = 36 - 16 = 20$. Поскольку дискриминант не является полным квадратом, этот трехчлен не раскладывается на множители с целыми коэффициентами.

Таким образом, окончательное разложение на множители имеет вид:

$(x + 2)^2(x^2 + 6x + 4)$

Ответ: $(x + 2)^2(x^2 + 6x + 4)$.

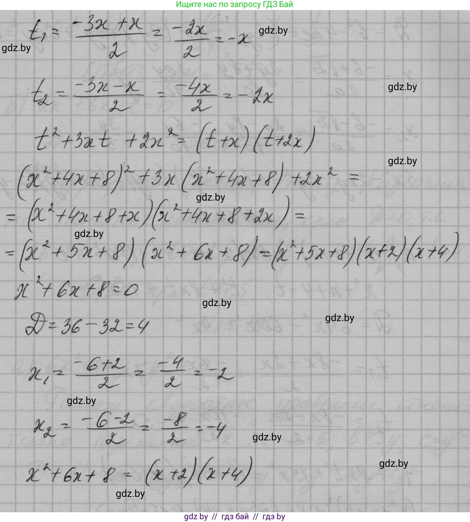
б) $(x^2 + 4x + 8)^2 + 3x(x^2 + 4x + 8) + 2x^2$

Это выражение также имеет структуру квадратного трехчлена. Введем замену, чтобы упростить его.

Пусть $z = x^2 + 4x + 8$.

После подстановки $z$ в исходное выражение, оно примет вид:

$z^2 + 3xz + 2x^2$

Разложим этот квадратный трехчлен относительно $z$ на множители. Найдем два одночлена, сумма которых равна $3x$, а произведение — $2x^2$. Этими одночленами являются $x$ и $2x$, так как $x + 2x = 3x$ и $x \cdot 2x = 2x^2$.

Таким образом, выражение раскладывается на множители:

$z^2 + 3xz + 2x^2 = (z + x)(z + 2x)$

Выполним обратную замену, подставив $z = x^2 + 4x + 8$:

$((x^2 + 4x + 8) + x)((x^2 + 4x + 8) + 2x)$

Упростим выражения в каждой из скобок, приведя подобные слагаемые:

$(x^2 + 4x + x + 8)(x^2 + 4x + 2x + 8)$

$(x^2 + 5x + 8)(x^2 + 6x + 8)$

Теперь проверим, можно ли разложить на множители полученные квадратные трехчлены.

Для трехчлена $x^2 + 5x + 8$, найдем дискриминант: $D = 5^2 - 4 \cdot 1 \cdot 8 = 25 - 32 = -7$. Так как $D < 0$, этот трехчлен не имеет действительных корней и не раскладывается на множители с действительными коэффициентами.

Для трехчлена $x^2 + 6x + 8$, по теореме Виета, найдем два числа, сумма которых равна $-6$, а произведение равно $8$. Это числа $-2$ и $-4$. Следовательно, трехчлен можно разложить на множители:

$x^2 + 6x + 8 = (x - (-2))(x - (-4)) = (x + 2)(x + 4)$

Таким образом, окончательное разложение исходного выражения на множители выглядит так:

$(x^2 + 5x + 8)(x + 2)(x + 4)$

Ответ: $(x + 2)(x + 4)(x^2 + 5x + 8)$.

Помогло решение? Оставьте отзыв в комментариях ниже.

Присоединяйтесь к Телеграм-группе @gdz_by_belarus

Присоединиться

Мы подготовили для вас ответ c подробным объяснением домашего задания по алгебре за 7-9 класс, для упражнения номер 27.11 расположенного на странице 128 к сборнику задач 2020 года издания для учащихся школ и гимназий.

Теперь на нашем сайте ГДЗ.ТОП вы всегда легко и бесплатно найдёте условие с правильным ответом на вопрос «Как решить ДЗ» и «Как сделать» задание по алгебре к упражнению №27.11 (с. 128), авторов: Арефьева (Ирина Глебовна), Пирютко (Ольга Николаевна), учебного пособия издательства Народная асвета.