Номер 2.6, страница 16 - гдз по алгебре 7-9 класс сборник задач Арефьева, Пирютко

Алгебра, 7-9 класс Сборник задач, авторы: Арефьева Ирина Глебовна, Пирютко Ольга Николаевна, издательство Народная асвета, Минск, 2020

Авторы: Арефьева И. Г., Пирютко О. Н.

Тип: Сборник задач

Издательство: Народная асвета

Год издания: 2020 - 2026

Цвет обложки: синий с графиками

Допущено Министерством образования Республики Беларусь

Популярные ГДЗ в 7 классе

7 класс. Параграф 2. Степень с целым показателем и ее свойства - номер 2.6, страница 16.

№2.6 (с. 16)
Условие. №2.6 (с. 16)
скриншот условия
Алгебра, 7-9 класс Сборник задач, авторы: Арефьева Ирина Глебовна, Пирютко Ольга Николаевна, издательство Народная асвета, Минск, 2020, страница 16, номер 2.6, Условие

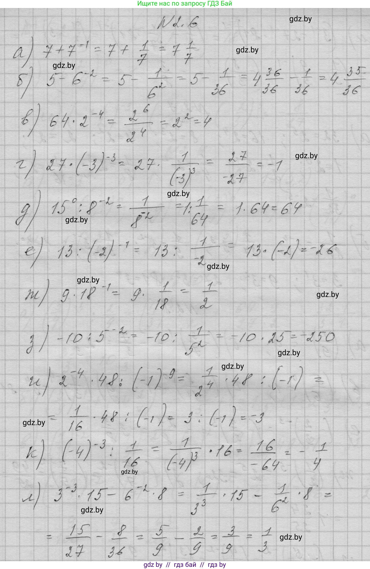
2.6. Найдите значение выражения:

а) $7 + 7^{-1}$;

б) $5 - 6^{-2}$;

в) $64 \cdot 2^{-4}$;

г) $27 \cdot (-3)^{-3}$;

д) $15^0 : 8^{-2}$;

е) $13 : (-2)^{-1}$;

ж) $9 \cdot 18^{-1}$;

з) $-10 : 5^{-2}$;

и) $2^{-4} \cdot 48 : (-1)^9$;

к) $(-4)^{-3} : \frac{1}{16}$;

л) $3^{-3} \cdot 15 - 6^{-2} \cdot 8$;

м) $(3^{-1} - 27^{-1} \cdot 81)^{-1}$.

Решение. №2.6 (с. 16)
Алгебра, 7-9 класс Сборник задач, авторы: Арефьева Ирина Глебовна, Пирютко Ольга Николаевна, издательство Народная асвета, Минск, 2020, страница 16, номер 2.6, Решение Алгебра, 7-9 класс Сборник задач, авторы: Арефьева Ирина Глебовна, Пирютко Ольга Николаевна, издательство Народная асвета, Минск, 2020, страница 16, номер 2.6, Решение (продолжение 2)
Решение 2. №2.6 (с. 16)

а) Для вычисления данного выражения воспользуемся определением степени с отрицательным показателем: $a^{-n} = \frac{1}{a^n}$.
$7 + 7^{-1} = 7 + \frac{1}{7^1} = 7 + \frac{1}{7} = \frac{7 \cdot 7}{7} + \frac{1}{7} = \frac{49+1}{7} = \frac{50}{7} = 7\frac{1}{7}$.
Ответ: $7\frac{1}{7}$ или $\frac{50}{7}$.

б) Используем определение степени с отрицательным показателем: $a^{-n} = \frac{1}{a^n}$.
$5 - 6^{-2} = 5 - \frac{1}{6^2} = 5 - \frac{1}{36} = \frac{5 \cdot 36}{36} - \frac{1}{36} = \frac{180 - 1}{36} = \frac{179}{36} = 4\frac{35}{36}$.
Ответ: $4\frac{35}{36}$ или $\frac{179}{36}$.

в) Представим число 64 как степень числа 2: $64 = 2^6$. Далее воспользуемся свойством умножения степеней с одинаковым основанием: $a^m \cdot a^n = a^{m+n}$.
$64 \cdot 2^{-4} = 2^6 \cdot 2^{-4} = 2^{6+(-4)} = 2^{6-4} = 2^2 = 4$.
Ответ: 4.

г) Используем определение степени с отрицательным показателем: $a^{-n} = \frac{1}{a^n}$.
$27 \cdot (-3)^{-3} = 27 \cdot \frac{1}{(-3)^3} = 27 \cdot \frac{1}{-27} = \frac{27}{-27} = -1$.
Ответ: -1.

д) Любое число (кроме нуля) в нулевой степени равно 1: $a^0 = 1$. Для второго числа используем определение степени с отрицательным показателем: $a^{-n} = \frac{1}{a^n}$. Деление на дробь заменяем умножением на обратную дробь.
$15^0 : 8^{-2} = 1 : \frac{1}{8^2} = 1 : \frac{1}{64} = 1 \cdot 64 = 64$.
Ответ: 64.

е) Используем определение степени с отрицательным показателем: $a^{-n} = \frac{1}{a^n}$. Деление на дробь заменяем умножением на обратную дробь.
$13 : (-2)^{-1} = 13 : \frac{1}{-2} = 13 \cdot (-2) = -26$.
Ответ: -26.

ж) Используем определение степени с отрицательным показателем: $a^{-n} = \frac{1}{a^n}$.
$9 \cdot 18^{-1} = 9 \cdot \frac{1}{18} = \frac{9}{18} = \frac{1}{2}$.
Ответ: $\frac{1}{2}$.

з) Используем определение степени с отрицательным показателем: $a^{-n} = \frac{1}{a^n}$. Деление на дробь заменяем умножением на обратную дробь.
$-10 : 5^{-2} = -10 : \frac{1}{5^2} = -10 : \frac{1}{25} = -10 \cdot 25 = -250$.
Ответ: -250.

и) Выполняем действия по порядку. Степень -1 с нечетным показателем равна -1.
$2^{-4} \cdot 48 : (-1)^9 = \frac{1}{2^4} \cdot 48 : (-1) = \frac{1}{16} \cdot 48 : (-1) = \frac{48}{16} : (-1) = 3 : (-1) = -3$.
Ответ: -3.

к) Используем определение степени с отрицательным показателем. Деление на дробь заменяем умножением на обратную дробь.
$(-4)^{-3} : \frac{1}{16} = \frac{1}{(-4)^3} : \frac{1}{16} = \frac{1}{-64} \cdot 16 = -\frac{16}{64} = -\frac{1}{4}$.
Ответ: $-\frac{1}{4}$.

л) Вычисляем каждое слагаемое отдельно, а затем находим их разность.
$3^{-3} \cdot 15 - 6^{-2} \cdot 8 = \frac{1}{3^3} \cdot 15 - \frac{1}{6^2} \cdot 8 = \frac{1}{27} \cdot 15 - \frac{1}{36} \cdot 8 = \frac{15}{27} - \frac{8}{36}$.
Сокращаем дроби: $\frac{15}{27} = \frac{5}{9}$ и $\frac{8}{36} = \frac{2}{9}$.
$\frac{5}{9} - \frac{2}{9} = \frac{3}{9} = \frac{1}{3}$.
Ответ: $\frac{1}{3}$.

м) Сначала выполняем действия в скобках. Для этого представим числа 27 и 81 как степени 3: $27=3^3$, $81=3^4$.
$27^{-1} \cdot 81 = (3^3)^{-1} \cdot 3^4 = 3^{-3} \cdot 3^4 = 3^{-3+4} = 3^1 = 3$.
Теперь выражение в скобках: $3^{-1} - 3 = \frac{1}{3} - 3 = \frac{1}{3} - \frac{9}{3} = -\frac{8}{3}$.
Возводим результат в степень -1: $(-\frac{8}{3})^{-1} = -\frac{3}{8}$.
Ответ: $-\frac{3}{8}$.

Помогло решение? Оставьте отзыв в комментариях ниже.

Присоединяйтесь к Телеграм-группе @gdz_by_belarus

Присоединиться

Мы подготовили для вас ответ c подробным объяснением домашего задания по алгебре за 7-9 класс, для упражнения номер 2.6 расположенного на странице 16 к сборнику задач 2020 года издания для учащихся школ и гимназий.

Теперь на нашем сайте ГДЗ.ТОП вы всегда легко и бесплатно найдёте условие с правильным ответом на вопрос «Как решить ДЗ» и «Как сделать» задание по алгебре к упражнению №2.6 (с. 16), авторов: Арефьева (Ирина Глебовна), Пирютко (Ольга Николаевна), учебного пособия издательства Народная асвета.