Номер 29.11, страница 132 - гдз по алгебре 7-9 класс сборник задач Арефьева, Пирютко

Алгебра, 7-9 класс Сборник задач, авторы: Арефьева Ирина Глебовна, Пирютко Ольга Николаевна, издательство Народная асвета, Минск, 2020

Авторы: Арефьева И. Г., Пирютко О. Н.

Тип: Сборник задач

Издательство: Народная асвета

Год издания: 2020 - 2026

Цвет обложки: синий с графиками

Допущено Министерством образования Республики Беларусь

Популярные ГДЗ в 7 классе

8 класс. Параграф 29. Квадратичная функция и ее свойства - номер 29.11, страница 132.

№29.11 (с. 132)
Условие. №29.11 (с. 132)
скриншот условия
Алгебра, 7-9 класс Сборник задач, авторы: Арефьева Ирина Глебовна, Пирютко Ольга Николаевна, издательство Народная асвета, Минск, 2020, страница 132, номер 29.11, Условие

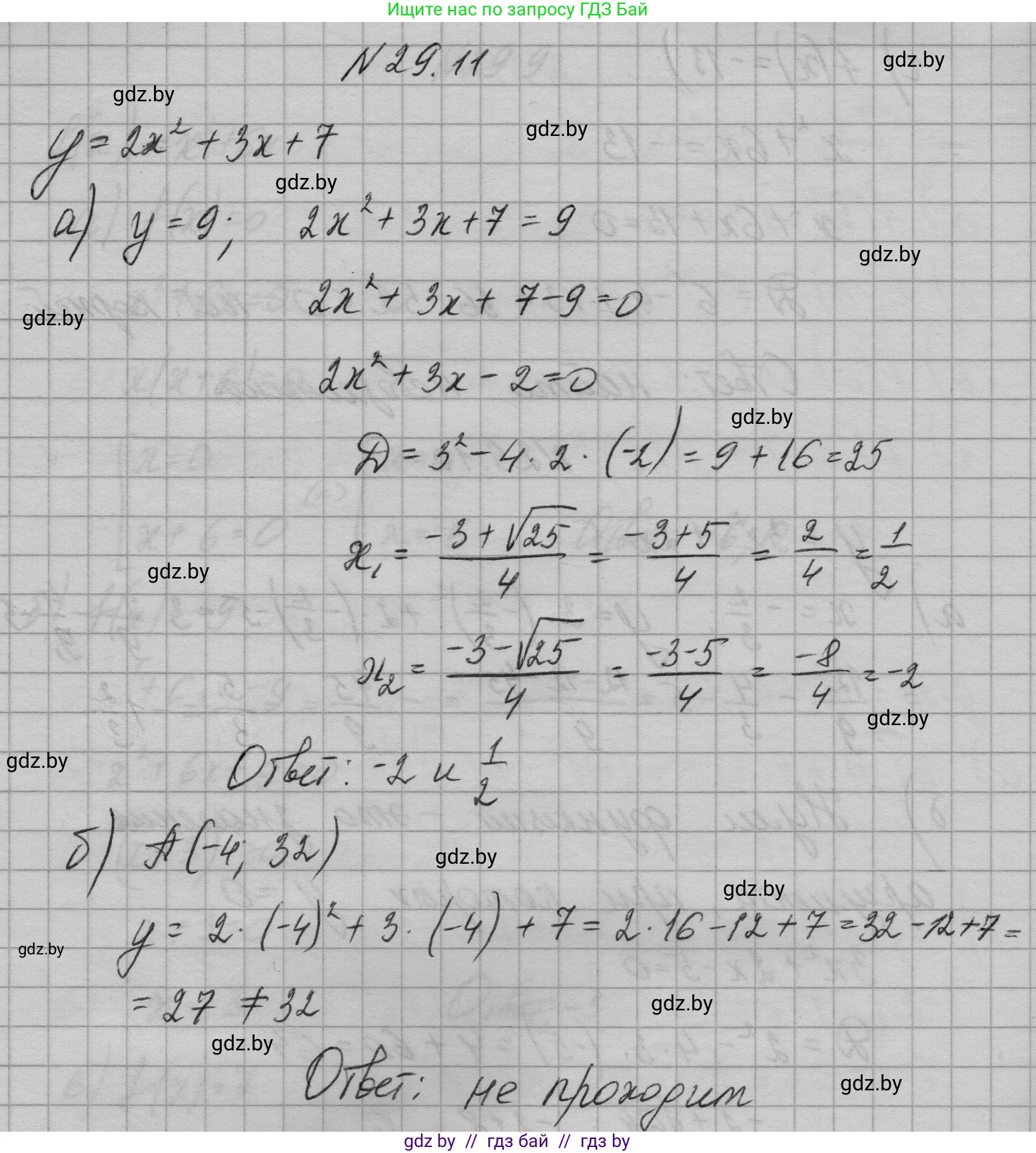
29.11. Функция задана формулой $y = 2x^2 + 3x + 7$.

а) При каких значениях аргумента функция принимает значение, равное 9?

б) Проходит ли график функции через точку $A(-4; 32)$?

Решение. №29.11 (с. 132)
Алгебра, 7-9 класс Сборник задач, авторы: Арефьева Ирина Глебовна, Пирютко Ольга Николаевна, издательство Народная асвета, Минск, 2020, страница 132, номер 29.11, Решение
Решение 2. №29.11 (с. 132)

а) Чтобы найти значения аргумента $x$, при которых функция принимает значение, равное 9, необходимо приравнять $y$ к 9 и решить полученное уравнение:

$2x^2 + 3x + 7 = 9$

Перенесем 9 в левую часть уравнения, чтобы привести его к стандартному виду квадратного уравнения $ax^2 + bx + c = 0$:

$2x^2 + 3x + 7 - 9 = 0$

$2x^2 + 3x - 2 = 0$

Теперь решим это квадратное уравнение. Вычислим дискриминант $D$ по формуле $D = b^2 - 4ac$, где $a=2$, $b=3$, $c=-2$:

$D = 3^2 - 4 \cdot 2 \cdot (-2) = 9 + 16 = 25$

Так как $D > 0$, уравнение имеет два действительных корня. Найдем их по формуле $x_{1,2} = \frac{-b \pm \sqrt{D}}{2a}$:

$x_1 = \frac{-3 + \sqrt{25}}{2 \cdot 2} = \frac{-3 + 5}{4} = \frac{2}{4} = 0.5$

$x_2 = \frac{-3 - \sqrt{25}}{2 \cdot 2} = \frac{-3 - 5}{4} = \frac{-8}{4} = -2$

Ответ: при $x=0.5$ и $x=-2$.

б) Чтобы определить, проходит ли график функции через точку A(-4; 32), нужно подставить координаты этой точки в уравнение функции. Если получится верное равенство, то точка принадлежит графику.

Подставим $x = -4$ в формулу $y = 2x^2 + 3x + 7$ и вычислим значение $y$:

$y = 2(-4)^2 + 3(-4) + 7$

$y = 2 \cdot 16 - 12 + 7$

$y = 32 - 12 + 7$

$y = 20 + 7 = 27$

Полученное значение $y=27$ не совпадает с y-координатой точки A, которая равна 32. Так как $27 \neq 32$, то точка A(-4; 32) не лежит на графике данной функции.

Ответ: нет, не проходит.

Помогло решение? Оставьте отзыв в комментариях ниже.

Присоединяйтесь к Телеграм-группе @gdz_by_belarus

Присоединиться

Мы подготовили для вас ответ c подробным объяснением домашего задания по алгебре за 7-9 класс, для упражнения номер 29.11 расположенного на странице 132 к сборнику задач 2020 года издания для учащихся школ и гимназий.

Теперь на нашем сайте ГДЗ.ТОП вы всегда легко и бесплатно найдёте условие с правильным ответом на вопрос «Как решить ДЗ» и «Как сделать» задание по алгебре к упражнению №29.11 (с. 132), авторов: Арефьева (Ирина Глебовна), Пирютко (Ольга Николаевна), учебного пособия издательства Народная асвета.