Номер 29.37, страница 136 - гдз по алгебре 7-9 класс сборник задач Арефьева, Пирютко

Алгебра, 7-9 класс Сборник задач, авторы: Арефьева Ирина Глебовна, Пирютко Ольга Николаевна, издательство Народная асвета, Минск, 2020

Авторы: Арефьева И. Г., Пирютко О. Н.

Тип: Сборник задач

Издательство: Народная асвета

Год издания: 2020 - 2026

Цвет обложки: синий с графиками

Допущено Министерством образования Республики Беларусь

Популярные ГДЗ в 7 классе

8 класс. Параграф 29. Квадратичная функция и ее свойства - номер 29.37, страница 136.

№29.37 (с. 136)
Условие. №29.37 (с. 136)
скриншот условия
Алгебра, 7-9 класс Сборник задач, авторы: Арефьева Ирина Глебовна, Пирютко Ольга Николаевна, издательство Народная асвета, Минск, 2020, страница 136, номер 29.37, Условие

29.37. Найдите промежутки знакопостоянства функции:

а) $y = x^2 - 4x + 3;$

б) $y = -3x^2 + 7x - 4;$

в) $y = x^2 - 10x + 25;$

г) $y = -2x^2 + 3x - 7;$

д) $y = -16x^2 - 8x - 1;$

е) $y = 3x^2 + 10.$

Решение. №29.37 (с. 136)
Алгебра, 7-9 класс Сборник задач, авторы: Арефьева Ирина Глебовна, Пирютко Ольга Николаевна, издательство Народная асвета, Минск, 2020, страница 136, номер 29.37, Решение Алгебра, 7-9 класс Сборник задач, авторы: Арефьева Ирина Глебовна, Пирютко Ольга Николаевна, издательство Народная асвета, Минск, 2020, страница 136, номер 29.37, Решение (продолжение 2)
Решение 2. №29.37 (с. 136)

а) $y = x^2 - 4x + 3$

Для нахождения промежутков знакопостоянства квадратичной функции $y = x^2 - 4x + 3$ определим направление ветвей параболы и найдем ее нули (точки пересечения с осью Ox).

Коэффициент при $x^2$ равен $a = 1$. Так как $a > 0$, ветви параболы направлены вверх.

Найдем нули функции, решив квадратное уравнение $x^2 - 4x + 3 = 0$.

Вычислим дискриминант: $D = b^2 - 4ac = (-4)^2 - 4 \cdot 1 \cdot 3 = 16 - 12 = 4$.

Поскольку $D > 0$, уравнение имеет два различных корня:

$x_1 = \frac{-b - \sqrt{D}}{2a} = \frac{4 - \sqrt{4}}{2 \cdot 1} = \frac{4 - 2}{2} = 1$

$x_2 = \frac{-b + \sqrt{D}}{2a} = \frac{4 + \sqrt{4}}{2 \cdot 1} = \frac{4 + 2}{2} = 3$

Парабола пересекает ось Ox в точках $x=1$ и $x=3$. Так как ветви параболы направлены вверх, функция положительна ($y > 0$) на интервалах вне корней и отрицательна ($y < 0$) между корнями.

Ответ: $y > 0$ при $x \in (-\infty; 1) \cup (3; \infty)$; $y < 0$ при $x \in (1; 3)$.

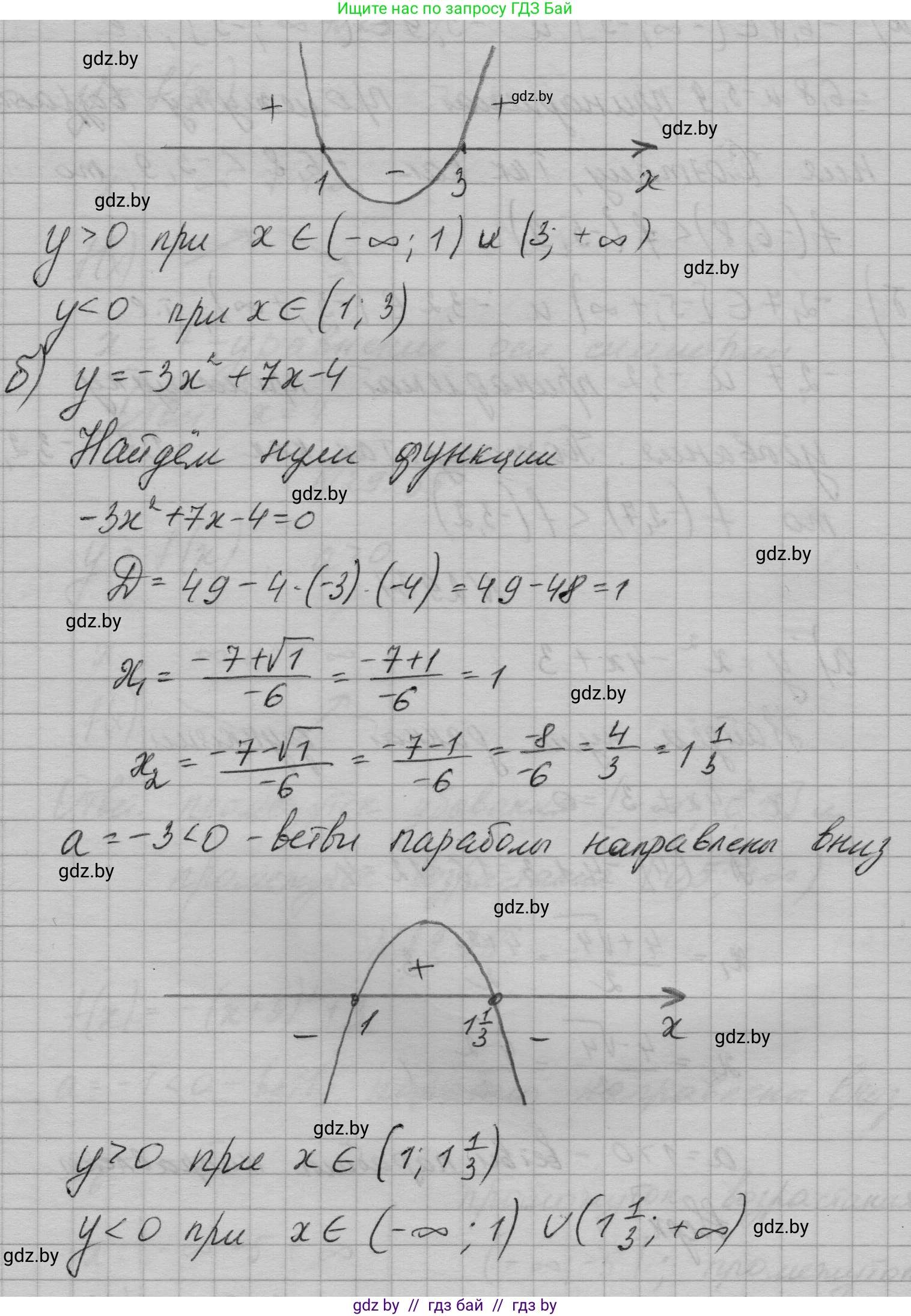
б) $y = -3x^2 + 7x - 4$

Это квадратичная функция, график которой — парабола. Коэффициент при $x^2$ равен $a = -3$. Так как $a < 0$, ветви параболы направлены вниз.

Найдем нули функции, решив уравнение $-3x^2 + 7x - 4 = 0$. Умножим обе части на -1 для удобства: $3x^2 - 7x + 4 = 0$.

Вычислим дискриминант: $D = b^2 - 4ac = (-7)^2 - 4 \cdot 3 \cdot 4 = 49 - 48 = 1$.

Уравнение имеет два различных корня:

$x_1 = \frac{-b - \sqrt{D}}{2a} = \frac{7 - \sqrt{1}}{2 \cdot 3} = \frac{7 - 1}{6} = 1$

$x_2 = \frac{-b + \sqrt{D}}{2a} = \frac{7 + \sqrt{1}}{2 \cdot 3} = \frac{7 + 1}{6} = \frac{8}{6} = \frac{4}{3}$

Парабола пересекает ось Ox в точках $x=1$ и $x=4/3$. Так как ветви параболы направлены вниз, функция положительна ($y > 0$) между корнями и отрицательна ($y < 0$) на интервалах вне корней.

Ответ: $y > 0$ при $x \in (1; 4/3)$; $y < 0$ при $x \in (-\infty; 1) \cup (4/3; \infty)$.

в) $y = x^2 - 10x + 25$

Это квадратичная функция. Коэффициент при $x^2$ равен $a = 1 > 0$, ветви параболы направлены вверх. Выражение является полным квадратом: $x^2 - 10x + 25 = (x - 5)^2$.

Найдем нули функции: $(x - 5)^2 = 0$.

Уравнение имеет один корень (кратности 2): $x = 5$.

Это означает, что парабола касается оси Ox в одной точке (в своей вершине) $x=5$. Поскольку ветви направлены вверх, функция принимает положительные значения при всех $x$, кроме точки касания, где $y=0$. Функция никогда не принимает отрицательных значений.

Ответ: $y > 0$ при $x \in (-\infty; 5) \cup (5; \infty)$; промежутков, где $y < 0$, нет.

г) $y = -2x^2 + 3x - 7$

Это квадратичная функция. Коэффициент при $x^2$ равен $a = -2 < 0$, ветви параболы направлены вниз.

Найдем нули функции, решив уравнение $-2x^2 + 3x - 7 = 0$.

Вычислим дискриминант: $D = b^2 - 4ac = 3^2 - 4 \cdot (-2) \cdot (-7) = 9 - 56 = -47$.

Поскольку $D < 0$, уравнение не имеет действительных корней. Это значит, что парабола не пересекает ось Ox.

Так как ветви параболы направлены вниз и она не пересекает ось Ox, вся парабола расположена ниже оси Ox. Следовательно, функция принимает отрицательные значения при всех значениях $x$.

Ответ: $y < 0$ при $x \in (-\infty; \infty)$; промежутков, где $y > 0$, нет.

д) $y = -16x^2 - 8x - 1$

Это квадратичная функция. Коэффициент при $x^2$ равен $a = -16 < 0$, ветви параболы направлены вниз. Можно вынести минус за скобки: $y = -(16x^2 + 8x + 1) = -(4x + 1)^2$.

Найдем нули функции: $-(4x + 1)^2 = 0$.

Уравнение имеет один корень (кратности 2): $4x + 1 = 0$, откуда $x = -1/4$.

Парабола касается оси Ox в точке $x=-1/4$. Поскольку ветви направлены вниз, функция принимает отрицательные значения при всех $x$, кроме точки касания, где $y=0$. Функция никогда не принимает положительных значений.

Ответ: $y < 0$ при $x \in (-\infty; -1/4) \cup (-1/4; \infty)$; промежутков, где $y > 0$, нет.

е) $y = 3x^2 + 10$

Это квадратичная функция. Коэффициент при $x^2$ равен $a = 3 > 0$, ветви параболы направлены вверх.

Найдем нули функции, решив уравнение $3x^2 + 10 = 0$.

$3x^2 = -10$, $x^2 = -10/3$. Уравнение не имеет действительных корней, так как квадрат действительного числа не может быть отрицательным.

Это значит, что парабола не пересекает ось Ox. Так как ветви параболы направлены вверх, вся парабола расположена выше оси Ox. Следовательно, функция принимает положительные значения при всех значениях $x$.

Ответ: $y > 0$ при $x \in (-\infty; \infty)$; промежутков, где $y < 0$, нет.

Помогло решение? Оставьте отзыв в комментариях ниже.

Присоединяйтесь к Телеграм-группе @gdz_by_belarus

Присоединиться

Мы подготовили для вас ответ c подробным объяснением домашего задания по алгебре за 7-9 класс, для упражнения номер 29.37 расположенного на странице 136 к сборнику задач 2020 года издания для учащихся школ и гимназий.

Теперь на нашем сайте ГДЗ.ТОП вы всегда легко и бесплатно найдёте условие с правильным ответом на вопрос «Как решить ДЗ» и «Как сделать» задание по алгебре к упражнению №29.37 (с. 136), авторов: Арефьева (Ирина Глебовна), Пирютко (Ольга Николаевна), учебного пособия издательства Народная асвета.