Номер 29.62, страница 139 - гдз по алгебре 7-9 класс сборник задач Арефьева, Пирютко

Алгебра, 7-9 класс Сборник задач, авторы: Арефьева Ирина Глебовна, Пирютко Ольга Николаевна, издательство Народная асвета, Минск, 2020

Авторы: Арефьева И. Г., Пирютко О. Н.

Тип: Сборник задач

Издательство: Народная асвета

Год издания: 2020 - 2026

Цвет обложки: синий с графиками

Допущено Министерством образования Республики Беларусь

Популярные ГДЗ в 7 классе

8 класс. Параграф 29. Квадратичная функция и ее свойства - номер 29.62, страница 139.

№29.62 (с. 139)
Условие. №29.62 (с. 139)
скриншот условия
Алгебра, 7-9 класс Сборник задач, авторы: Арефьева Ирина Глебовна, Пирютко Ольга Николаевна, издательство Народная асвета, Минск, 2020, страница 139, номер 29.62, Условие

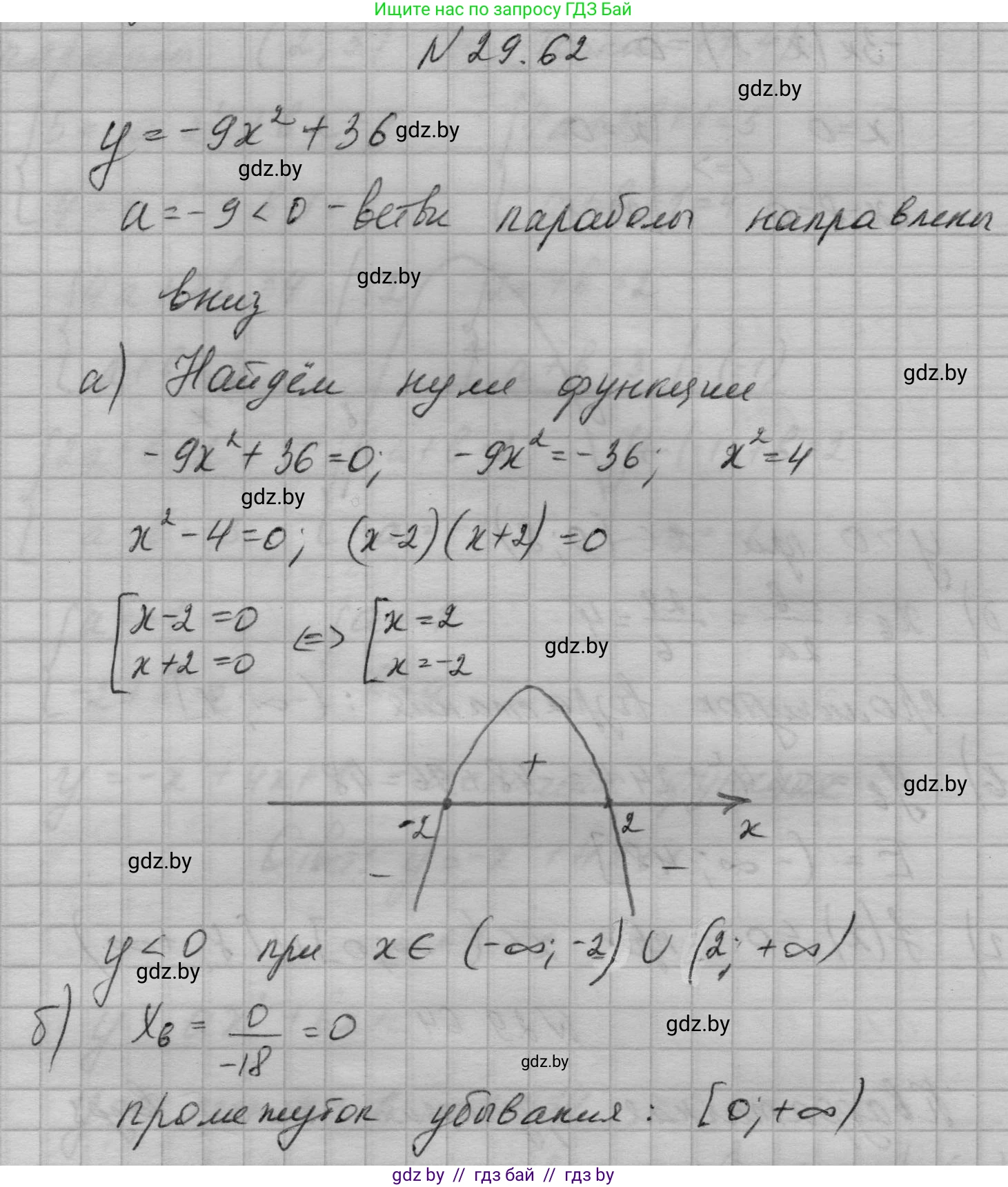
29.62*. Для квадратичной функции $y = -9x^2 + 36$ найдите:

а) значения аргумента, при которых функция принимает отрицательные значения;

б) промежуток, на котором функция убывает.

Рис. 19

Рис. 20

Решение. №29.62 (с. 139)
Алгебра, 7-9 класс Сборник задач, авторы: Арефьева Ирина Глебовна, Пирютко Ольга Николаевна, издательство Народная асвета, Минск, 2020, страница 139, номер 29.62, Решение
Решение 2. №29.62 (с. 139)

Дана квадратичная функция $y = -9x^2 + 36$. Графиком этой функции является парабола. Поскольку коэффициент при $x^2$ отрицательный ($a = -9 < 0$), ветви параболы направлены вниз.

а) значения аргумента, при которых функция принимает отрицательные значения

Чтобы найти значения аргумента ($x$), при которых функция принимает отрицательные значения, необходимо решить неравенство $y < 0$.

$-9x^2 + 36 < 0$

Для решения этого неравенства сначала найдем корни соответствующего уравнения $-9x^2 + 36 = 0$. Эти корни являются точками пересечения параболы с осью абсцисс ($Ox$).

$36 = 9x^2$

$x^2 = \frac{36}{9}$

$x^2 = 4$

Корнями уравнения являются $x_1 = -2$ и $x_2 = 2$.

Так как ветви параболы направлены вниз, значения функции будут отрицательными ($y < 0$) за пределами интервала между корнями, то есть при значениях $x$ левее $–2$ и правее $2$.

Таким образом, неравенство выполняется при $x < -2$ или $x > 2$.

Ответ: $(-\infty; -2) \cup (2; +\infty)$.

б) промежуток, на котором функция убывает

Промежутки возрастания и убывания квадратичной функции определяются положением ее вершины. Абсцисса вершины параболы $y = ax^2 + bx + c$ находится по формуле $x_0 = -\frac{b}{2a}$.

Для функции $y = -9x^2 + 36$ коэффициенты равны: $a = -9$, $b = 0$, $c = 36$.

Найдем абсциссу вершины:

$x_0 = -\frac{0}{2 \cdot (-9)} = 0$.

Вершина параболы находится в точке с абсциссой $x = 0$.

Поскольку ветви параболы направлены вниз ($a < 0$), функция возрастает на промежутке до вершины (слева от нее) и убывает на промежутке после вершины (справа от нее).

Следовательно, функция убывает на промежутке от $0$ до $+\infty$.

Ответ: $[0; +\infty)$.

Помогло решение? Оставьте отзыв в комментариях ниже.

Присоединяйтесь к Телеграм-группе @gdz_by_belarus

Присоединиться

Мы подготовили для вас ответ c подробным объяснением домашего задания по алгебре за 7-9 класс, для упражнения номер 29.62 расположенного на странице 139 к сборнику задач 2020 года издания для учащихся школ и гимназий.

Теперь на нашем сайте ГДЗ.ТОП вы всегда легко и бесплатно найдёте условие с правильным ответом на вопрос «Как решить ДЗ» и «Как сделать» задание по алгебре к упражнению №29.62 (с. 139), авторов: Арефьева (Ирина Глебовна), Пирютко (Ольга Николаевна), учебного пособия издательства Народная асвета.