Номер 31.1, страница 147 - гдз по алгебре 7-9 класс сборник задач Арефьева, Пирютко

Алгебра, 7-9 класс Сборник задач, авторы: Арефьева Ирина Глебовна, Пирютко Ольга Николаевна, издательство Народная асвета, Минск, 2020

Авторы: Арефьева И. Г., Пирютко О. Н.

Тип: Сборник задач

Издательство: Народная асвета

Год издания: 2020 - 2026

Цвет обложки: синий с графиками

Допущено Министерством образования Республики Беларусь

8 класс. Параграф 31. Функция y=k/x (k≠0), y=x^3, y=|x|, y=√x - номер 31.1, страница 147.

№31.1 (с. 147)
Условие. №31.1 (с. 147)
скриншот условия
Алгебра, 7-9 класс Сборник задач, авторы: Арефьева Ирина Глебовна, Пирютко Ольга Николаевна, издательство Народная асвета, Минск, 2020, страница 147, номер 31.1, Условие

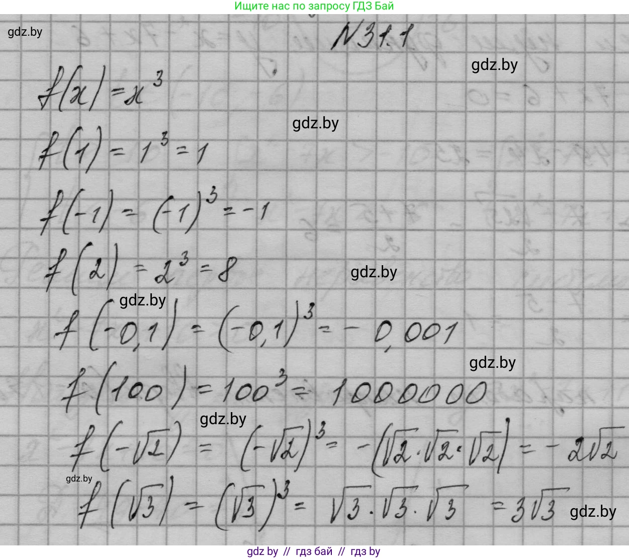
31.1. Для функции $f(x) = x^3$ найдите $f(1)$; $f(-1)$; $f(2)$; $f(-0,1)$; $f(100)$; $f(-\sqrt{2})$; $f(\sqrt{3})$.

Решение. №31.1 (с. 147)
Алгебра, 7-9 класс Сборник задач, авторы: Арефьева Ирина Глебовна, Пирютко Ольга Николаевна, издательство Народная асвета, Минск, 2020, страница 147, номер 31.1, Решение
Решение 2. №31.1 (с. 147)

Чтобы найти значение функции $f(x) = x^3$ для заданных значений аргумента $x$, необходимо подставить каждое значение в формулу функции и выполнить вычисление.

f(1)
Подставляем $x = 1$ в выражение для функции:
$f(1) = 1^3 = 1 \cdot 1 \cdot 1 = 1$.
Ответ: 1

f(-1)
Подставляем $x = -1$:
$f(-1) = (-1)^3 = (-1) \cdot (-1) \cdot (-1) = -1$.
Ответ: -1

f(2)
Подставляем $x = 2$:
$f(2) = 2^3 = 2 \cdot 2 \cdot 2 = 8$.
Ответ: 8

f(-0,1)
Подставляем $x = -0,1$:
$f(-0,1) = (-0,1)^3 = (-0,1) \cdot (-0,1) \cdot (-0,1) = -0,001$.
Ответ: -0,001

f(100)
Подставляем $x = 100$:
$f(100) = 100^3 = 100 \cdot 100 \cdot 100 = 1\;000\;000$.
Ответ: 1000000

f($-\sqrt{2}$)
Подставляем $x = -\sqrt{2}$:
$f(-\sqrt{2}) = (-\sqrt{2})^3 = (-\sqrt{2}) \cdot (-\sqrt{2}) \cdot (-\sqrt{2}) = 2 \cdot (-\sqrt{2}) = -2\sqrt{2}$.
Ответ: $-2\sqrt{2}$

f($\sqrt{3}$)
Подставляем $x = \sqrt{3}$:
$f(\sqrt{3}) = (\sqrt{3})^3 = (\sqrt{3}) \cdot (\sqrt{3}) \cdot (\sqrt{3}) = 3 \cdot \sqrt{3} = 3\sqrt{3}$.
Ответ: $3\sqrt{3}$

Помогло решение? Оставьте отзыв в комментариях ниже.

Присоединяйтесь к Телеграм-группе @gdz_by_belarus

Присоединиться

Мы подготовили для вас ответ c подробным объяснением домашего задания по алгебре за 7-9 класс, для упражнения номер 31.1 расположенного на странице 147 к сборнику задач 2020 года издания для учащихся школ и гимназий.

Теперь на нашем сайте ГДЗ.ТОП вы всегда легко и бесплатно найдёте условие с правильным ответом на вопрос «Как решить ДЗ» и «Как сделать» задание по алгебре к упражнению №31.1 (с. 147), авторов: Арефьева (Ирина Глебовна), Пирютко (Ольга Николаевна), учебного пособия издательства Народная асвета.