Номер 1.109, страница 27 - гдз по алгебре 7 класс учебник Арефьева, Пирютко

Алгебра, 7 класс Учебник, авторы: Арефьева Ирина Глебовна, Пирютко Ольга Николаевна, издательство Народная асвета, Минск, 2022, зелёного цвета

Авторы: Арефьева И. Г., Пирютко О. Н.

Тип: Учебник

Издательство: Народная асвета

Год издания: 2022 - 2026

Цвет обложки: зелёный с графиком

ISBN: ISBN 978-985-03-3770-2

Допущено Министерством образования Республики Беларусь

Глава 1. Степень с натуральным и целым показателями. Параграф 2. Степень с целым показателем и ее свойства - номер 1.109, страница 27.

№1.109 (с. 27)
Условие. №1.109 (с. 27)
скриншот условия
Алгебра, 7 класс Учебник, авторы: Арефьева Ирина Глебовна, Пирютко Ольга Николаевна, издательство Народная асвета, Минск, 2022, зелёного цвета, страница 27, номер 1.109, Условие

1.109. Найдите значение степени и сравните результат с 1:

а) $2^{-3}$;

б) $(\frac{3}{4})^{-2}$;

в) $6^{-1}$;

г) $(\frac{1}{6})^{-2}$;

д) $(\frac{3}{5})^{-1}$;

е) $0,1^{-2}$;

ж) $2,5^{-1}$;

з) $0,2^{-3}$.

Решение. №1.109 (с. 27)
Алгебра, 7 класс Учебник, авторы: Арефьева Ирина Глебовна, Пирютко Ольга Николаевна, издательство Народная асвета, Минск, 2022, зелёного цвета, страница 27, номер 1.109, Решение Алгебра, 7 класс Учебник, авторы: Арефьева Ирина Глебовна, Пирютко Ольга Николаевна, издательство Народная асвета, Минск, 2022, зелёного цвета, страница 27, номер 1.109, Решение (продолжение 2)
Решение 2. №1.109 (с. 27)

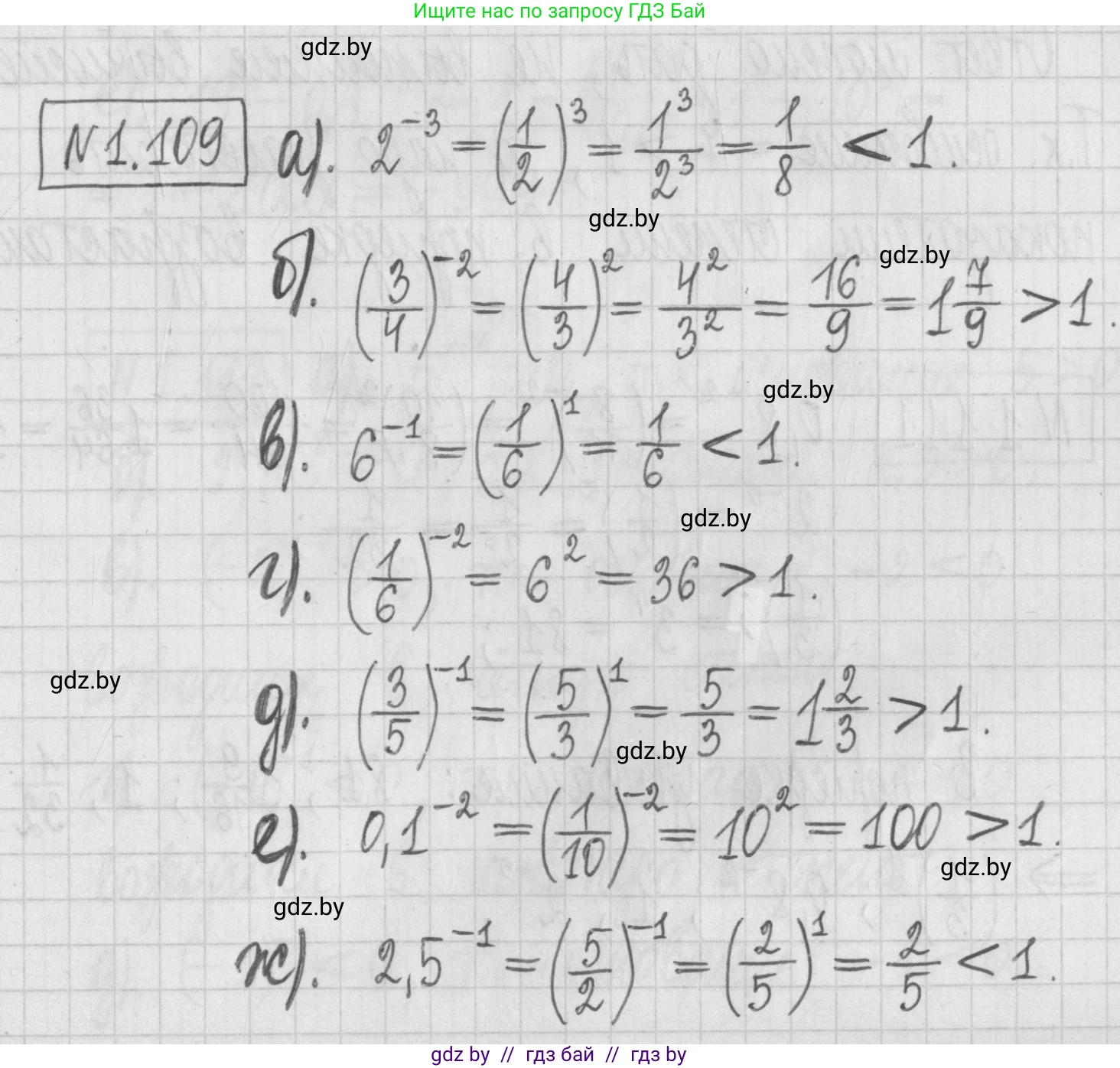
а) Для нахождения значения степени $2^{-3}$ воспользуемся определением степени с отрицательным показателем: $a^{-n} = \frac{1}{a^n}$.

$2^{-3} = \frac{1}{2^3} = \frac{1}{8}$

Сравним полученный результат с 1:

$\frac{1}{8} < 1$

Ответ: $\frac{1}{8}$

б) Для нахождения значения степени $(\frac{3}{4})^{-2}$ воспользуемся свойством возведения дроби в отрицательную степень: $(\frac{a}{b})^{-n} = (\frac{b}{a})^n$.

$(\frac{3}{4})^{-2} = (\frac{4}{3})^2 = \frac{4^2}{3^2} = \frac{16}{9}$

Так как получилась неправильная дробь, выделим из нее целую часть:

$\frac{16}{9} = 1\frac{7}{9}$

Сравним полученный результат с 1:

$1\frac{7}{9} > 1$

Ответ: $1\frac{7}{9}$

в) Для нахождения значения степени $6^{-1}$ воспользуемся определением степени с отрицательным показателем: $a^{-n} = \frac{1}{a^n}$.

$6^{-1} = \frac{1}{6^1} = \frac{1}{6}$

Сравним полученный результат с 1:

$\frac{1}{6} < 1$

Ответ: $\frac{1}{6}$

г) Для нахождения значения степени $(\frac{1}{6})^{-2}$ воспользуемся свойством возведения дроби в отрицательную степень: $(\frac{a}{b})^{-n} = (\frac{b}{a})^n$.

$(\frac{1}{6})^{-2} = (\frac{6}{1})^2 = 6^2 = 36$

Сравним полученный результат с 1:

$36 > 1$

Ответ: $36$

д) Для нахождения значения степени $(\frac{3}{5})^{-1}$ воспользуемся свойством возведения дроби в отрицательную степень: $(\frac{a}{b})^{-n} = (\frac{b}{a})^n$.

$(\frac{3}{5})^{-1} = (\frac{5}{3})^1 = \frac{5}{3}$

Так как получилась неправильная дробь, выделим из нее целую часть:

$\frac{5}{3} = 1\frac{2}{3}$

Сравним полученный результат с 1:

$1\frac{2}{3} > 1$

Ответ: $1\frac{2}{3}$

е) Для нахождения значения степени $0,1^{-2}$ сначала представим десятичную дробь в виде обыкновенной: $0,1 = \frac{1}{10}$.

$0,1^{-2} = (\frac{1}{10})^{-2} = (\frac{10}{1})^2 = 10^2 = 100$

Сравним полученный результат с 1:

$100 > 1$

Ответ: $100$

ж) Для нахождения значения степени $2,5^{-1}$ сначала представим десятичную дробь в виде обыкновенной: $2,5 = \frac{25}{10} = \frac{5}{2}$.

$2,5^{-1} = (\frac{5}{2})^{-1} = \frac{2}{5}$

Сравним полученный результат с 1:

$\frac{2}{5} < 1$

Ответ: $\frac{2}{5}$

з) Для нахождения значения степени $0,2^{-3}$ сначала представим десятичную дробь в виде обыкновенной: $0,2 = \frac{2}{10} = \frac{1}{5}$.

$0,2^{-3} = (\frac{1}{5})^{-3} = (\frac{5}{1})^3 = 5^3 = 125$

Сравним полученный результат с 1:

$125 > 1$

Ответ: $125$

Помогло решение? Оставьте отзыв в комментариях ниже.

Присоединяйтесь к Телеграм-группе @gdz_by_belarus

Присоединиться

Мы подготовили для вас ответ c подробным объяснением домашего задания по алгебре за 7 класс, для упражнения номер 1.109 расположенного на странице 27 к учебнику 2022 года издания для учащихся школ и гимназий.

Теперь на нашем сайте ГДЗ.ТОП вы всегда легко и бесплатно найдёте условие с правильным ответом на вопрос «Как решить ДЗ» и «Как сделать» задание по алгебре к упражнению №1.109 (с. 27), авторов: Арефьева (Ирина Глебовна), Пирютко (Ольга Николаевна), учебного пособия издательства Народная асвета.