Номер 1.157, страница 33 - гдз по алгебре 7 класс учебник Арефьева, Пирютко

Алгебра, 7 класс Учебник, авторы: Арефьева Ирина Глебовна, Пирютко Ольга Николаевна, издательство Народная асвета, Минск, 2022, зелёного цвета

Авторы: Арефьева И. Г., Пирютко О. Н.

Тип: Учебник

Издательство: Народная асвета

Год издания: 2022 - 2026

Цвет обложки: зелёный с графиком

ISBN: ISBN 978-985-03-3770-2

Допущено Министерством образования Республики Беларусь

Глава 1. Степень с натуральным и целым показателями. Параграф 2. Степень с целым показателем и ее свойства - номер 1.157, страница 33.

№1.157 (с. 33)
Условие. №1.157 (с. 33)
скриншот условия
Алгебра, 7 класс Учебник, авторы: Арефьева Ирина Глебовна, Пирютко Ольга Николаевна, издательство Народная асвета, Минск, 2022, зелёного цвета, страница 33, номер 1.157, Условие

1.157. Найдите значение выражения:

а) $\frac{6^{-4} \cdot 2^{-1}}{12^{-4}};$

б) $\frac{16^{-2} \cdot 27^{-4}}{6^{-12}};$

в) $\frac{64 \cdot 25^{-3} \cdot 14^{-7}}{35^{-6}}.$

Решение. №1.157 (с. 33)
Алгебра, 7 класс Учебник, авторы: Арефьева Ирина Глебовна, Пирютко Ольга Николаевна, издательство Народная асвета, Минск, 2022, зелёного цвета, страница 33, номер 1.157, Решение Алгебра, 7 класс Учебник, авторы: Арефьева Ирина Глебовна, Пирютко Ольга Николаевна, издательство Народная асвета, Минск, 2022, зелёного цвета, страница 33, номер 1.157, Решение (продолжение 2)
Решение 2. №1.157 (с. 33)

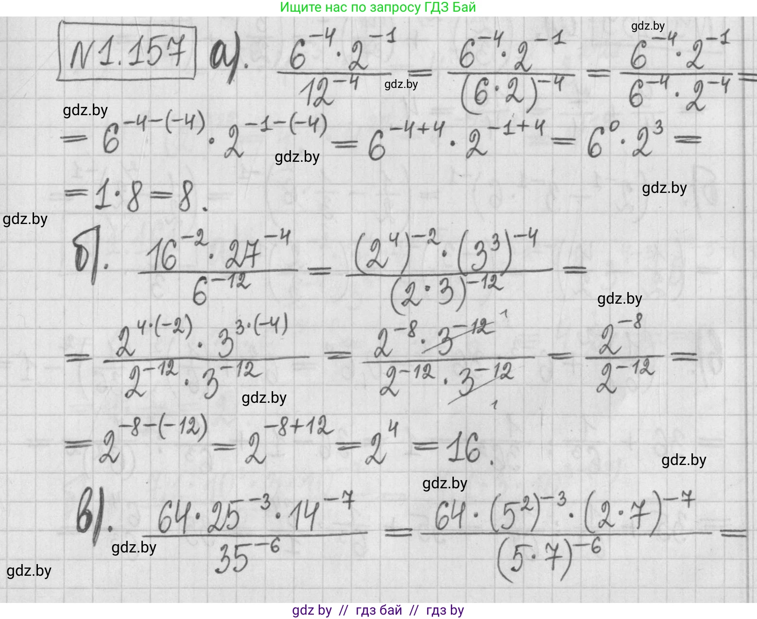
а) Найдем значение выражения $ \frac{6^{-4} \cdot 2^{-1}}{12^{-4}} $. Для этого воспользуемся свойствами степеней.

Сначала сгруппируем степени с одинаковым показателем:$ \frac{6^{-4} \cdot 2^{-1}}{12^{-4}} = \frac{6^{-4}}{12^{-4}} \cdot 2^{-1} $

Применим свойство $ \frac{a^n}{b^n} = (\frac{a}{b})^n $:$ (\frac{6}{12})^{-4} \cdot 2^{-1} = (\frac{1}{2})^{-4} \cdot 2^{-1} $

Далее применим свойства $ (\frac{a}{b})^{-n} = (\frac{b}{a})^n $ и $ a^m \cdot a^n = a^{m+n} $:$ 2^4 \cdot 2^{-1} = 2^{4-1} = 2^3 = 8 $

Ответ: 8.

б) Для решения $ \frac{16^{-2} \cdot 27^{-4}}{6^{-12}} $ представим основания степеней в виде простых множителей: $ 16 = 2^4 $, $ 27 = 3^3 $, $ 6 = 2 \cdot 3 $.

Подставим эти значения в выражение:$ \frac{(2^4)^{-2} \cdot (3^3)^{-4}}{(2 \cdot 3)^{-12}} $

Применим свойства $ (a^m)^n = a^{mn} $ и $ (ab)^n = a^n b^n $:$ \frac{2^{-8} \cdot 3^{-12}}{2^{-12} \cdot 3^{-12}} $

Сократим $ 3^{-12} $ в числителе и знаменателе и воспользуемся свойством $ \frac{a^m}{a^n} = a^{m-n} $:$ \frac{2^{-8}}{2^{-12}} = 2^{-8 - (-12)} = 2^{-8 + 12} = 2^4 = 16 $

Ответ: 16.

в) Для вычисления $ \frac{64 \cdot 25^{-3} \cdot 14^{-7}}{35^{-6}} $ разложим основания степеней на простые множители: $ 64 = 2^6 $, $ 25 = 5^2 $, $ 14 = 2 \cdot 7 $, $ 35 = 5 \cdot 7 $.

Подставим разложения в выражение:$ \frac{2^6 \cdot (5^2)^{-3} \cdot (2 \cdot 7)^{-7}}{(5 \cdot 7)^{-6}} $

Раскроем скобки, используя свойства степеней $ (a^m)^n = a^{mn} $ и $ (ab)^n = a^n b^n $:$ \frac{2^6 \cdot 5^{-6} \cdot 2^{-7} \cdot 7^{-7}}{5^{-6} \cdot 7^{-6}} $

Сгруппируем степени с одинаковыми основаниями и применим свойства $ a^m \cdot a^n = a^{m+n} $ и $ \frac{a^m}{a^n} = a^{m-n} $:$ \frac{2^{6-7} \cdot 5^{-6} \cdot 7^{-7}}{5^{-6} \cdot 7^{-6}} = 2^{-1} \cdot 5^{-6 - (-6)} \cdot 7^{-7 - (-6)} = 2^{-1} \cdot 5^0 \cdot 7^{-1} $

Учитывая, что $ a^0 = 1 $ и $ a^{-n} = \frac{1}{a^n} $, получим конечный результат:$ \frac{1}{2} \cdot 1 \cdot \frac{1}{7} = \frac{1}{14} $

Ответ: $ \frac{1}{14} $.

Помогло решение? Оставьте отзыв в комментариях ниже.

Присоединяйтесь к Телеграм-группе @gdz_by_belarus

Присоединиться

Мы подготовили для вас ответ c подробным объяснением домашего задания по алгебре за 7 класс, для упражнения номер 1.157 расположенного на странице 33 к учебнику 2022 года издания для учащихся школ и гимназий.

Теперь на нашем сайте ГДЗ.ТОП вы всегда легко и бесплатно найдёте условие с правильным ответом на вопрос «Как решить ДЗ» и «Как сделать» задание по алгебре к упражнению №1.157 (с. 33), авторов: Арефьева (Ирина Глебовна), Пирютко (Ольга Николаевна), учебного пособия издательства Народная асвета.