Номер 1.185, страница 38 - гдз по алгебре 7 класс учебник Арефьева, Пирютко

Алгебра, 7 класс Учебник, авторы: Арефьева Ирина Глебовна, Пирютко Ольга Николаевна, издательство Народная асвета, Минск, 2022, зелёного цвета

Авторы: Арефьева И. Г., Пирютко О. Н.

Тип: Учебник

Издательство: Народная асвета

Год издания: 2022 - 2026

Цвет обложки: зелёный с графиком

ISBN: ISBN 978-985-03-3770-2

Допущено Министерством образования Республики Беларусь

Глава 1. Степень с натуральным и целым показателями. Параграф 3. Стандартный вид числа - номер 1.185, страница 38.

№1.185 (с. 38)
Условие. №1.185 (с. 38)
скриншот условия
Алгебра, 7 класс Учебник, авторы: Арефьева Ирина Глебовна, Пирютко Ольга Николаевна, издательство Народная асвета, Минск, 2022, зелёного цвета, страница 38, номер 1.185, Условие

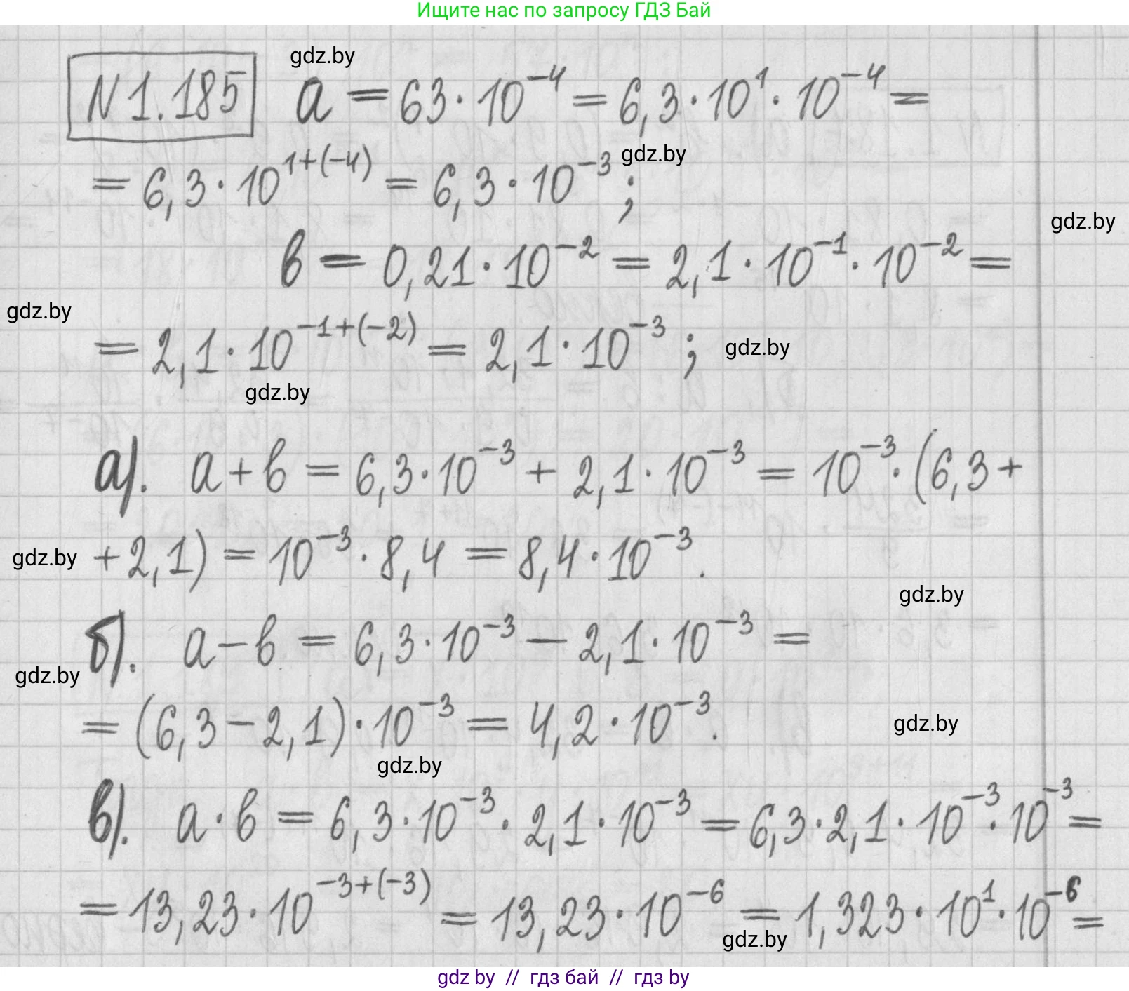
1.185. Представьте числа $a=63 \cdot 10^{-4}$, $b=0,21 \cdot 10^{-2}$ в стандартном виде и найдите значение выражения:

а) $a+b$;

б) $a-b$;

в) $a \cdot b$;

г) $a : b$.

Решение. №1.185 (с. 38)
Алгебра, 7 класс Учебник, авторы: Арефьева Ирина Глебовна, Пирютко Ольга Николаевна, издательство Народная асвета, Минск, 2022, зелёного цвета, страница 38, номер 1.185, Решение Алгебра, 7 класс Учебник, авторы: Арефьева Ирина Глебовна, Пирютко Ольга Николаевна, издательство Народная асвета, Минск, 2022, зелёного цвета, страница 38, номер 1.185, Решение (продолжение 2)
Решение 2. №1.185 (с. 38)

Сначала необходимо представить числа $a$ и $b$ в стандартном виде. Стандартный вид числа — это запись вида $x \cdot 10^n$, где $1 \le |x| < 10$ и $n$ — целое число.

Приведем число $a = 63 \cdot 10^{-4}$ к стандартному виду:
$a = 63 \cdot 10^{-4} = (6.3 \cdot 10^1) \cdot 10^{-4} = 6.3 \cdot 10^{1-4} = 6.3 \cdot 10^{-3}$.

Приведем число $b = 0.21 \cdot 10^{-2}$ к стандартному виду:
$b = 0.21 \cdot 10^{-2} = (2.1 \cdot 10^{-1}) \cdot 10^{-2} = 2.1 \cdot 10^{-1-2} = 2.1 \cdot 10^{-3}$.

Теперь, когда оба числа представлены в стандартном виде с одинаковым порядком ($10^{-3}$), можно найти значения выражений.

а) a + b;

$a + b = 6.3 \cdot 10^{-3} + 2.1 \cdot 10^{-3}$
Выносим общий множитель $10^{-3}$ за скобки:
$(6.3 + 2.1) \cdot 10^{-3} = 8.4 \cdot 10^{-3}$.

Ответ: $8.4 \cdot 10^{-3}$

б) a - b;

$a - b = 6.3 \cdot 10^{-3} - 2.1 \cdot 10^{-3}$
Выносим общий множитель $10^{-3}$ за скобки:
$(6.3 - 2.1) \cdot 10^{-3} = 4.2 \cdot 10^{-3}$.

Ответ: $4.2 \cdot 10^{-3}$

в) a · b;

$a \cdot b = (6.3 \cdot 10^{-3}) \cdot (2.1 \cdot 10^{-3})$
Перемножаем мантиссы и складываем показатели степеней:
$(6.3 \cdot 2.1) \cdot 10^{-3 + (-3)} = 13.23 \cdot 10^{-6}$.
Результат нужно привести к стандартному виду, так как $13.23 \ge 10$:
$13.23 \cdot 10^{-6} = (1.323 \cdot 10^1) \cdot 10^{-6} = 1.323 \cdot 10^{1-6} = 1.323 \cdot 10^{-5}$.

Ответ: $1.323 \cdot 10^{-5}$

г) a : b.

$a : b = \frac{6.3 \cdot 10^{-3}}{2.1 \cdot 10^{-3}}$
Делим мантиссы и вычитаем показатели степеней:
$\frac{6.3}{2.1} \cdot 10^{-3 - (-3)} = \frac{63}{21} \cdot 10^0 = 3 \cdot 1 = 3$.
Частное мантисс $\frac{6.3}{2.1}$ равно неправильной дроби $\frac{63}{21}$, из которой выделяется целая часть, равная $3$.

Ответ: $3$

Помогло решение? Оставьте отзыв в комментариях ниже.

Присоединяйтесь к Телеграм-группе @gdz_by_belarus

Присоединиться

Мы подготовили для вас ответ c подробным объяснением домашего задания по алгебре за 7 класс, для упражнения номер 1.185 расположенного на странице 38 к учебнику 2022 года издания для учащихся школ и гимназий.

Теперь на нашем сайте ГДЗ.ТОП вы всегда легко и бесплатно найдёте условие с правильным ответом на вопрос «Как решить ДЗ» и «Как сделать» задание по алгебре к упражнению №1.185 (с. 38), авторов: Арефьева (Ирина Глебовна), Пирютко (Ольга Николаевна), учебного пособия издательства Народная асвета.