Номер 1.199, страница 40 - гдз по алгебре 7 класс учебник Арефьева, Пирютко

Алгебра, 7 класс Учебник, авторы: Арефьева Ирина Глебовна, Пирютко Ольга Николаевна, издательство Народная асвета, Минск, 2022, зелёного цвета

Авторы: Арефьева И. Г., Пирютко О. Н.

Тип: Учебник

Издательство: Народная асвета

Год издания: 2022 - 2026

Цвет обложки: зелёный с графиком

ISBN: ISBN 978-985-03-3770-2

Допущено Министерством образования Республики Беларусь

Глава 1. Степень с натуральным и целым показателями. Параграф 3. Стандартный вид числа - номер 1.199, страница 40.

№1.199 (с. 40)
Условие. №1.199 (с. 40)
скриншот условия
Алгебра, 7 класс Учебник, авторы: Арефьева Ирина Глебовна, Пирютко Ольга Николаевна, издательство Народная асвета, Минск, 2022, зелёного цвета, страница 40, номер 1.199, Условие

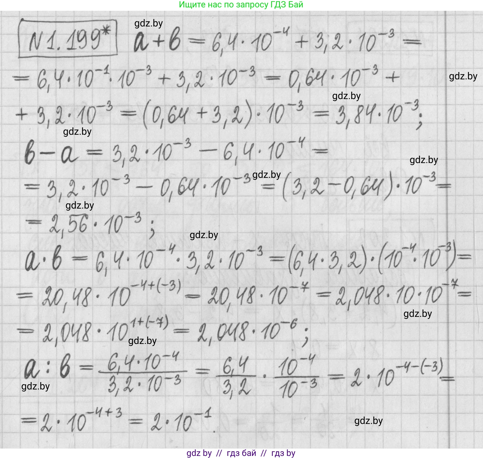
1.199*. Вычислите: $a+b$; $b-a$; $a \cdot b$; $a:b$, если $a=6,4 \cdot 10^{-4}$; $b=3,2 \cdot 10^{-3}$, и результаты вычислений запишите в стандартном виде.

Решение. №1.199 (с. 40)
Алгебра, 7 класс Учебник, авторы: Арефьева Ирина Глебовна, Пирютко Ольга Николаевна, издательство Народная асвета, Минск, 2022, зелёного цвета, страница 40, номер 1.199, Решение
Решение 2. №1.199 (с. 40)

Даны числа $a = 6,4 \cdot 10^{-4}$ и $b = 3,2 \cdot 10^{-3}$.

a + b;

Для выполнения сложения необходимо привести оба числа к одному и тому же показателю степени 10. Приведем число $a$ к показателю $-3$, как у числа $b$:

$a = 6,4 \cdot 10^{-4} = 0,64 \cdot 10^1 \cdot 10^{-4} = 0,64 \cdot 10^{-3}$

Теперь выполним сложение:

$a + b = 0,64 \cdot 10^{-3} + 3,2 \cdot 10^{-3} = (0,64 + 3,2) \cdot 10^{-3} = 3,84 \cdot 10^{-3}$

Результат $3,84 \cdot 10^{-3}$ записан в стандартном виде, так как его мантисса $3,84$ удовлетворяет условию $1 \le 3,84 < 10$.

Ответ: $3,84 \cdot 10^{-3}$

b - a;

Используем числа, уже приведенные к общему показателю степени $-3$:

$b - a = 3,2 \cdot 10^{-3} - 0,64 \cdot 10^{-3} = (3,2 - 0,64) \cdot 10^{-3} = 2,56 \cdot 10^{-3}$

Результат $2,56 \cdot 10^{-3}$ записан в стандартном виде, так как $1 \le 2,56 < 10$.

Ответ: $2,56 \cdot 10^{-3}$

a · b;

При умножении чисел в стандартном виде их мантиссы перемножаются, а показатели степеней складываются:

$a \cdot b = (6,4 \cdot 10^{-4}) \cdot (3,2 \cdot 10^{-3}) = (6,4 \cdot 3,2) \cdot 10^{-4 + (-3)} = 20,48 \cdot 10^{-7}$

Полученный результат нужно привести к стандартному виду, так как мантисса $20,48$ больше 10:

$20,48 \cdot 10^{-7} = (2,048 \cdot 10^1) \cdot 10^{-7} = 2,048 \cdot 10^{1-7} = 2,048 \cdot 10^{-6}$

Ответ: $2,048 \cdot 10^{-6}$

a : b,

При делении чисел в стандартном виде их мантиссы делятся, а из показателя степени делимого вычитается показатель степени делителя:

$a : b = \frac{6,4 \cdot 10^{-4}}{3,2 \cdot 10^{-3}} = \frac{6,4}{3,2} \cdot 10^{-4 - (-3)} = 2 \cdot 10^{-4+3} = 2 \cdot 10^{-1}$

Результат $2 \cdot 10^{-1}$ записан в стандартном виде, так как $1 \le 2 < 10$.

Ответ: $2 \cdot 10^{-1}$

Помогло решение? Оставьте отзыв в комментариях ниже.

Присоединяйтесь к Телеграм-группе @gdz_by_belarus

Присоединиться

Мы подготовили для вас ответ c подробным объяснением домашего задания по алгебре за 7 класс, для упражнения номер 1.199 расположенного на странице 40 к учебнику 2022 года издания для учащихся школ и гимназий.

Теперь на нашем сайте ГДЗ.ТОП вы всегда легко и бесплатно найдёте условие с правильным ответом на вопрос «Как решить ДЗ» и «Как сделать» задание по алгебре к упражнению №1.199 (с. 40), авторов: Арефьева (Ирина Глебовна), Пирютко (Ольга Николаевна), учебного пособия издательства Народная асвета.