Номер 1.30, страница 14 - гдз по алгебре 7 класс учебник Арефьева, Пирютко

Алгебра, 7 класс Учебник, авторы: Арефьева Ирина Глебовна, Пирютко Ольга Николаевна, издательство Народная асвета, Минск, 2022, зелёного цвета

Авторы: Арефьева И. Г., Пирютко О. Н.

Тип: Учебник

Издательство: Народная асвета

Год издания: 2022 - 2026

Цвет обложки: зелёный с графиком

ISBN: ISBN 978-985-03-3770-2

Допущено Министерством образования Республики Беларусь

Глава 1. Степень с натуральным и целым показателями. Параграф 1. Степень с натуральным показателем и ее свойства - номер 1.30, страница 14.

№1.30 (с. 14)
Условие. №1.30 (с. 14)
скриншот условия
Алгебра, 7 класс Учебник, авторы: Арефьева Ирина Глебовна, Пирютко Ольга Николаевна, издательство Народная асвета, Минск, 2022, зелёного цвета, страница 14, номер 1.30, Условие

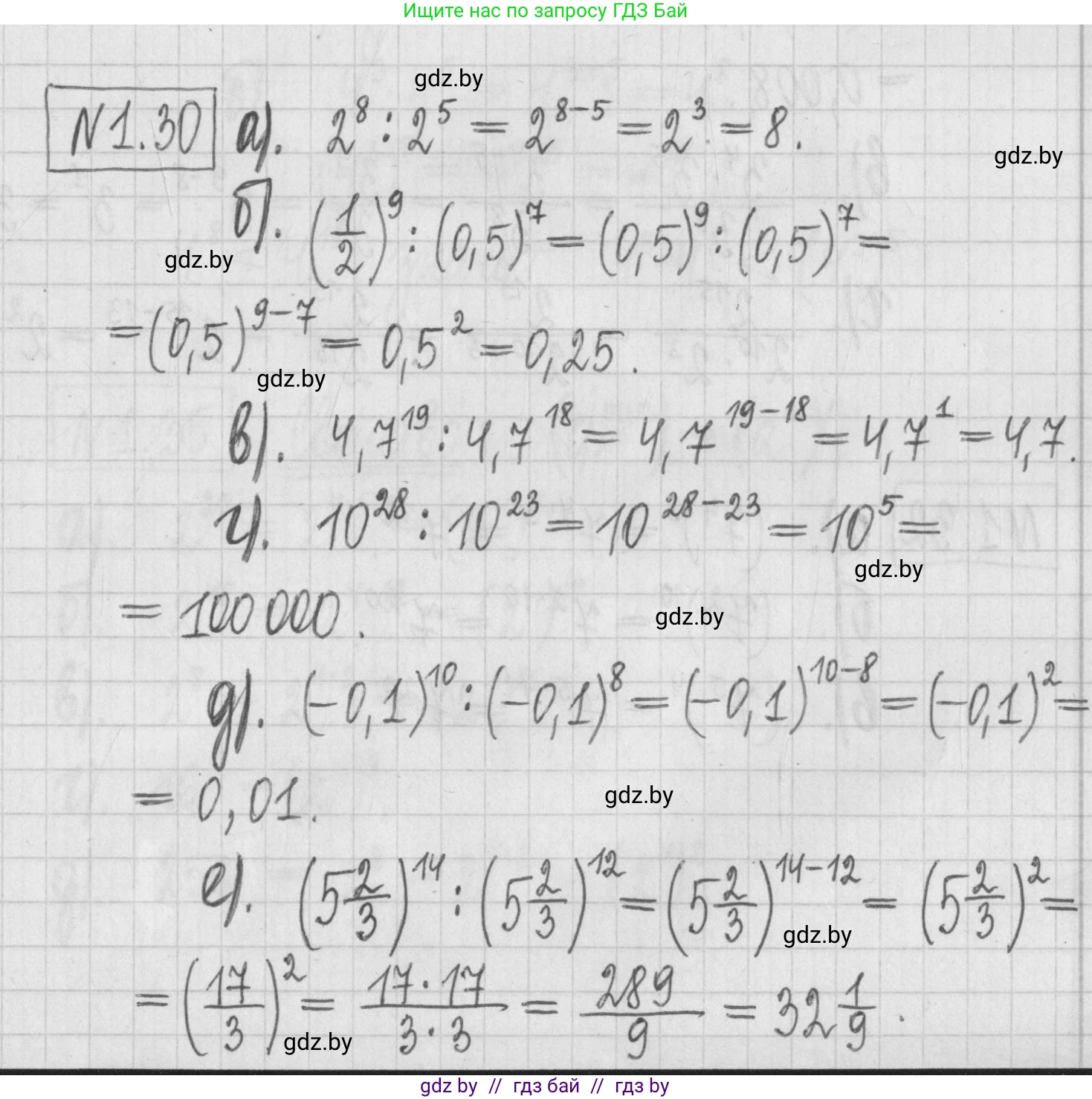
1.30. Найдите значение выражения:

а) $2^8 : 2^5;$

б) $(\frac{1}{2})^9 : (0,5)^7;$

в) $4,7^{19} : 4,7^{18};$

г) $10^{28} : 10^{23};$

д) $(-0,1)^{10} : (-0,1)^8;$

е) $(5\frac{2}{3})^{14} : (5\frac{2}{3})^{12};$

ж) $(-0,25)^8 : (-0,25)^5;$

з) $(-0,3)^{13} : (-0,3)^{10}.$

Решение. №1.30 (с. 14)
Алгебра, 7 класс Учебник, авторы: Арефьева Ирина Глебовна, Пирютко Ольга Николаевна, издательство Народная асвета, Минск, 2022, зелёного цвета, страница 14, номер 1.30, Решение Алгебра, 7 класс Учебник, авторы: Арефьева Ирина Глебовна, Пирютко Ольга Николаевна, издательство Народная асвета, Минск, 2022, зелёного цвета, страница 14, номер 1.30, Решение (продолжение 2)
Решение 2. №1.30 (с. 14)

Для решения всех пунктов используется свойство деления степеней с одинаковым основанием: $a^m : a^n = a^{m-n}$

а) $2^8 : 2^5$
Применяем правило деления степеней:
$2^8 : 2^5 = 2^{8-5} = 2^3 = 2 \cdot 2 \cdot 2 = 8$.
Ответ: 8.

б) $(\frac{1}{2})^9 : (0,5)^7$
Сначала приведем основания к одному виду. Заметим, что $0,5 = \frac{1}{2}$.
Выражение принимает вид: $(\frac{1}{2})^9 : (\frac{1}{2})^7$.
Теперь применяем правило деления степеней:
$(\frac{1}{2})^{9-7} = (\frac{1}{2})^2 = \frac{1^2}{2^2} = \frac{1}{4}$.
Ответ: $\frac{1}{4}$.

в) $4,7^{19} : 4,7^{18}$
Применяем правило деления степеней с одинаковым основанием:
$4,7^{19-18} = 4,7^1 = 4,7$.
Ответ: 4,7.

г) $10^{28} : 10^{23}$
Применяем правило деления степеней с одинаковым основанием:
$10^{28-23} = 10^5 = 100000$.
Ответ: 100000.

д) $(-0,1)^{10} : (-0,1)^8$
Применяем правило деления степеней с одинаковым основанием:
$(-0,1)^{10-8} = (-0,1)^2$.
Так как степень четная (2), результат будет положительным: $(-0,1) \cdot (-0,1) = 0,01$.
Ответ: 0,01.

е) $(5\frac{2}{3})^{14} : (5\frac{2}{3})^{12}$
Применяем правило деления степеней с одинаковым основанием:
$(5\frac{2}{3})^{14-12} = (5\frac{2}{3})^2$.
Для вычисления переведем смешанное число в неправильную дробь: $5\frac{2}{3} = \frac{5 \cdot 3 + 2}{3} = \frac{17}{3}$.
Возводим в квадрат: $(\frac{17}{3})^2 = \frac{17^2}{3^2} = \frac{289}{9}$.
Теперь выделим целую часть из неправильной дроби: $289 : 9 = 32$ (остаток 1).
Таким образом, $\frac{289}{9} = 32\frac{1}{9}$.
Ответ: $32\frac{1}{9}$.

ж) $(-0,25)^8 : (-0,25)^5$
Применяем правило деления степеней с одинаковым основанием:
$(-0,25)^{8-5} = (-0,25)^3$.
Так как степень нечетная (3), результат будет отрицательным.
$(-0,25)^3 = -(0,25)^3 = -(0,25 \cdot 0,25 \cdot 0,25) = -(0,0625 \cdot 0,25) = -0,015625$.
Также можно представить в виде обыкновенной дроби: $-0,25 = -\frac{1}{4}$.
$(-\frac{1}{4})^3 = -\frac{1^3}{4^3} = -\frac{1}{64}$.
Ответ: $-\frac{1}{64}$ (или -0,015625).

з) $(-0,3)^{13} : (-0,3)^{10}$
Применяем правило деления степеней с одинаковым основанием:
$(-0,3)^{13-10} = (-0,3)^3$.
Так как степень нечетная (3), результат будет отрицательным.
$(-0,3)^3 = -(0,3)^3 = -(0,3 \cdot 0,3 \cdot 0,3) = -(0,09 \cdot 0,3) = -0,027$.
Ответ: -0,027.

Помогло решение? Оставьте отзыв в комментариях ниже.

Присоединяйтесь к Телеграм-группе @gdz_by_belarus

Присоединиться

Мы подготовили для вас ответ c подробным объяснением домашего задания по алгебре за 7 класс, для упражнения номер 1.30 расположенного на странице 14 к учебнику 2022 года издания для учащихся школ и гимназий.

Теперь на нашем сайте ГДЗ.ТОП вы всегда легко и бесплатно найдёте условие с правильным ответом на вопрос «Как решить ДЗ» и «Как сделать» задание по алгебре к упражнению №1.30 (с. 14), авторов: Арефьева (Ирина Глебовна), Пирютко (Ольга Николаевна), учебного пособия издательства Народная асвета.