Номер 1.65, страница 18 - гдз по алгебре 7 класс учебник Арефьева, Пирютко

Алгебра, 7 класс Учебник, авторы: Арефьева Ирина Глебовна, Пирютко Ольга Николаевна, издательство Народная асвета, Минск, 2022, зелёного цвета

Авторы: Арефьева И. Г., Пирютко О. Н.

Тип: Учебник

Издательство: Народная асвета

Год издания: 2022 - 2026

Цвет обложки: зелёный с графиком

ISBN: ISBN 978-985-03-3770-2

Допущено Министерством образования Республики Беларусь

Глава 1. Степень с натуральным и целым показателями. Параграф 1. Степень с натуральным показателем и ее свойства - номер 1.65, страница 18.

№1.65 (с. 18)
Условие. №1.65 (с. 18)
скриншот условия
Алгебра, 7 класс Учебник, авторы: Арефьева Ирина Глебовна, Пирютко Ольга Николаевна, издательство Народная асвета, Минск, 2022, зелёного цвета, страница 18, номер 1.65, Условие

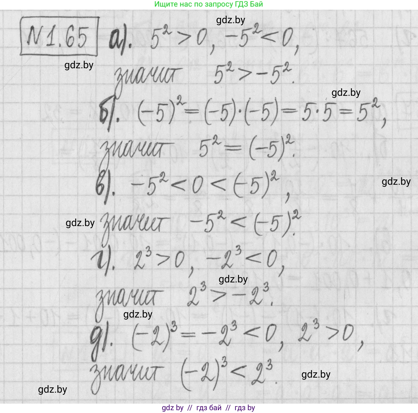
1.65. Сравните значения выражений, не выполняя вычислений:

а) $5^2$ и $-5^2$;

б) $5^2$ и $(-5)^2$;

в) $-5^2$ и $(-5)^2$;

г) $2^3$ и $-2^3$;

д) $(-2)^3$ и $2^3$;

е) $-2^3$ и $(-2)^3$.

Решение. №1.65 (с. 18)
Алгебра, 7 класс Учебник, авторы: Арефьева Ирина Глебовна, Пирютко Ольга Николаевна, издательство Народная асвета, Минск, 2022, зелёного цвета, страница 18, номер 1.65, Решение Алгебра, 7 класс Учебник, авторы: Арефьева Ирина Глебовна, Пирютко Ольга Николаевна, издательство Народная асвета, Минск, 2022, зелёного цвета, страница 18, номер 1.65, Решение (продолжение 2)
Решение 2. №1.65 (с. 18)

Для сравнения значений выражений будем использовать правила возведения в степень положительных и отрицательных чисел, не прибегая к конечным вычислениям.

а) $5^2$ и $-5^2$

Выражение $5^2$ является положительным числом, так как любое положительное число в любой степени остается положительным. Выражение $-5^2$ следует понимать как $-(5^2)$. Согласно порядку действий, сначала выполняется возведение в степень, а затем применяется унарный минус. Таким образом, $-5^2$ — это отрицательное число. Любое положительное число всегда больше любого отрицательного.

Ответ: $5^2 > -5^2$

б) $5^2$ и $(-5)^2$

Выражение $5^2$ — это положительное число. Выражение $(-5)^2$ означает произведение $(-5) \times (-5)$. При возведении отрицательного числа в четную степень (в данном случае 2) результат всегда будет положительным. Поскольку основания степеней равны по модулю ($|5| = |-5|$), а показатель степени (2) — четное число, значения выражений будут равны.

Ответ: $5^2 = (-5)^2$

в) $-5^2$ и $(-5)^2$

Как было показано в пункте а), $-5^2$ является отрицательным числом. Как было показано в пункте б), $(-5)^2$ является положительным числом. Отрицательное число всегда меньше положительного.

Ответ: $-5^2 < (-5)^2$

г) $2^3$ и $-2^3$

Выражение $2^3$ является положительным числом. Выражение $-2^3$ означает $-(2^3)$, что является отрицательным числом. Положительное число всегда больше отрицательного.

Ответ: $2^3 > -2^3$

д) $(-2)^3$ и $2^3$

Выражение $(-2)^3$ означает произведение $(-2) \times (-2) \times (-2)$. При возведении отрицательного числа в нечетную степень (в данном случае 3) результат всегда будет отрицательным. Выражение $2^3$ — положительное число. Следовательно, отрицательное значение $(-2)^3$ меньше положительного значения $2^3$.

Ответ: $(-2)^3 < 2^3$

е) $-2^3$ и $(-2)^3$

Выражение $-2^3$ — это отрицательное число $-(2 \times 2 \times 2)$. Выражение $(-2)^3$ также является отрицательным, так как отрицательное число возводится в нечетную степень. В данном случае, $(-2)^3 = -(2^3)$. Таким образом, значения этих двух выражений равны.

Ответ: $-2^3 = (-2)^3$

Помогло решение? Оставьте отзыв в комментариях ниже.

Присоединяйтесь к Телеграм-группе @gdz_by_belarus

Присоединиться

Мы подготовили для вас ответ c подробным объяснением домашего задания по алгебре за 7 класс, для упражнения номер 1.65 расположенного на странице 18 к учебнику 2022 года издания для учащихся школ и гимназий.

Теперь на нашем сайте ГДЗ.ТОП вы всегда легко и бесплатно найдёте условие с правильным ответом на вопрос «Как решить ДЗ» и «Как сделать» задание по алгебре к упражнению №1.65 (с. 18), авторов: Арефьева (Ирина Глебовна), Пирютко (Ольга Николаевна), учебного пособия издательства Народная асвета.