Номер 2.5, страница 49 - гдз по алгебре 7 класс учебник Арефьева, Пирютко

Алгебра, 7 класс Учебник, авторы: Арефьева Ирина Глебовна, Пирютко Ольга Николаевна, издательство Народная асвета, Минск, 2022, зелёного цвета

Авторы: Арефьева И. Г., Пирютко О. Н.

Тип: Учебник

Издательство: Народная асвета

Год издания: 2022 - 2026

Цвет обложки: зелёный с графиком

ISBN: ISBN 978-985-03-3770-2

Допущено Министерством образования Республики Беларусь

Глава 2. Выражения и их преобразования. Параграф 4. Числовые выражения и выражения с переменными - номер 2.5, страница 49.

№2.5 (с. 49)
Условие. №2.5 (с. 49)
скриншот условия
Алгебра, 7 класс Учебник, авторы: Арефьева Ирина Глебовна, Пирютко Ольга Николаевна, издательство Народная асвета, Минск, 2022, зелёного цвета, страница 49, номер 2.5, Условие

2.5. Установите порядок действий и найдите значение выражения:

а) $0,6 \cdot \frac{5}{6} + \left(2\frac{2}{15} - 3\frac{5}{9}\right) : 9,6;$

б) $\left(-1\frac{2}{3} + \left(-1\frac{1}{3}\right)^2\right) \cdot \left(-\frac{3}{11}\right).$

Решение. №2.5 (с. 49)
Алгебра, 7 класс Учебник, авторы: Арефьева Ирина Глебовна, Пирютко Ольга Николаевна, издательство Народная асвета, Минск, 2022, зелёного цвета, страница 49, номер 2.5, Решение
Решение 2. №2.5 (с. 49)
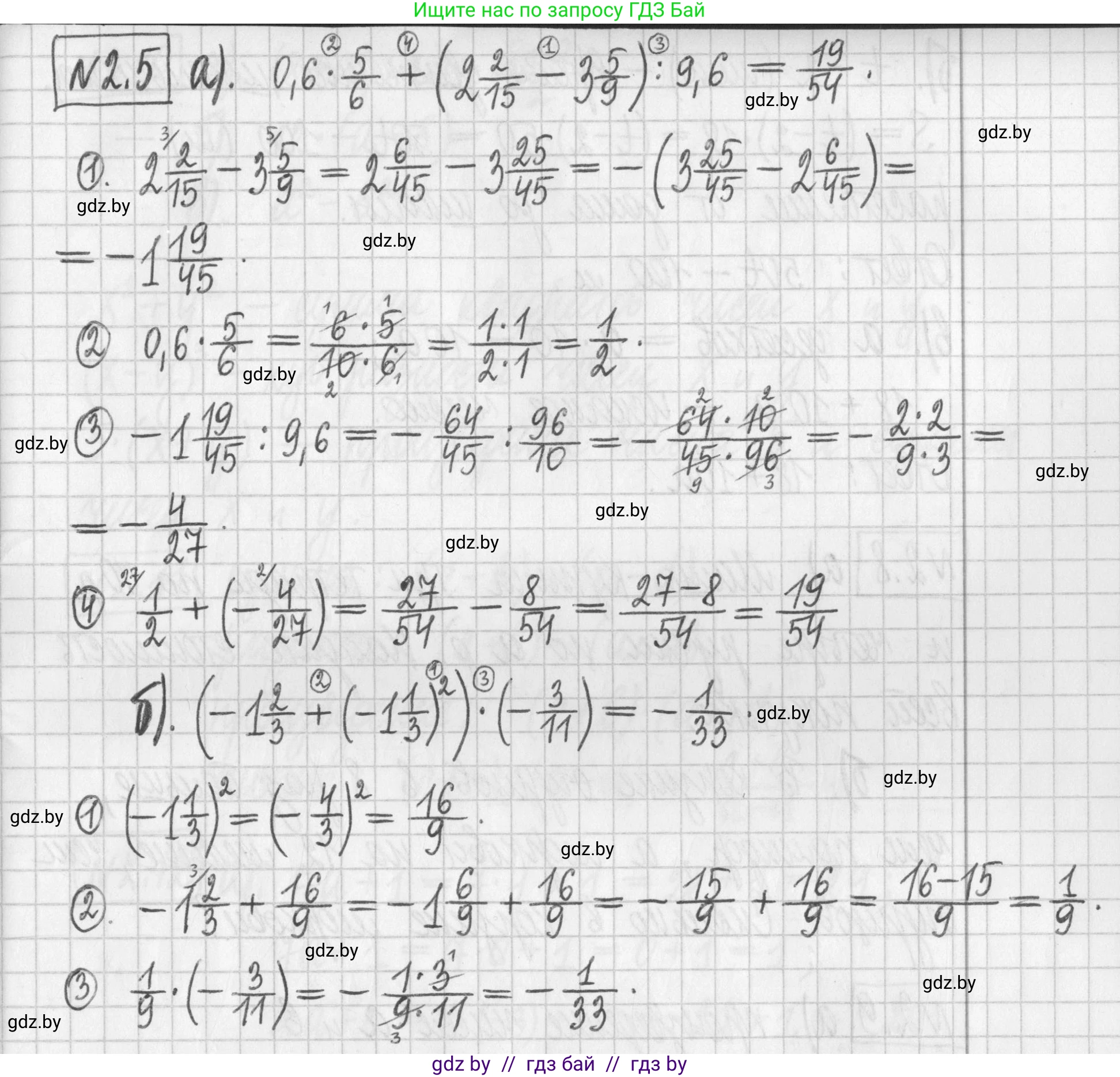
а) $0,6 \cdot \frac{5}{6} + (2\frac{2}{15} - 3\frac{5}{9}) : 9,6$

Порядок действий:

  1. Вычитание в скобках: $2\frac{2}{15} - 3\frac{5}{9}$
  2. Умножение: $0,6 \cdot \frac{5}{6}$
  3. Деление: результат первого действия разделить на $9,6$
  4. Сложение: результат второго действия сложить с результатом третьего действия.

Выполняем вычисления по шагам:

1. $2\frac{2}{15} - 3\frac{5}{9} = \frac{2 \cdot 15 + 2}{15} - \frac{3 \cdot 9 + 5}{9} = \frac{32}{15} - \frac{32}{9}$
Приводим дроби к общему знаменателю 45 (НОК(15, 9) = 45):
$\frac{32 \cdot 3}{15 \cdot 3} - \frac{32 \cdot 5}{9 \cdot 5} = \frac{96}{45} - \frac{160}{45} = \frac{96 - 160}{45} = -\frac{64}{45}$

2. $0,6 \cdot \frac{5}{6}$
Переводим десятичную дробь в обыкновенную: $0,6 = \frac{6}{10} = \frac{3}{5}$
$\frac{3}{5} \cdot \frac{5}{6} = \frac{3 \cdot 5}{5 \cdot 6} = \frac{15}{30} = \frac{1}{2}$

3. $(-\frac{64}{45}) : 9,6$
Переводим десятичную дробь в обыкновенную: $9,6 = \frac{96}{10} = \frac{48}{5}$
$(-\frac{64}{45}) : \frac{48}{5} = -\frac{64}{45} \cdot \frac{5}{48} = -\frac{64 \cdot 5}{45 \cdot 48}$
Сокращаем дробь:
$-\frac{16 \cdot 4 \cdot 5}{9 \cdot 5 \cdot 16 \cdot 3} = -\frac{4}{9 \cdot 3} = -\frac{4}{27}$

4. $\frac{1}{2} + (-\frac{4}{27}) = \frac{1}{2} - \frac{4}{27}$
Приводим дроби к общему знаменателю 54 (НОК(2, 27) = 54):
$\frac{1 \cdot 27}{54} - \frac{4 \cdot 2}{54} = \frac{27 - 8}{54} = \frac{19}{54}$

Ответ: $\frac{19}{54}$

б) $(-1\frac{2}{3} + (-1\frac{1}{3})^2) \cdot (-\frac{3}{11})$

Порядок действий:

  1. Возведение в степень в скобках: $(-1\frac{1}{3})^2$
  2. Сложение в скобках: $-1\frac{2}{3}$ сложить с результатом первого действия.
  3. Умножение: результат второго действия умножить на $(-\frac{3}{11})$

Выполняем вычисления по шагам:

1. $(-1\frac{1}{3})^2$
Переводим смешанное число в неправильную дробь: $-1\frac{1}{3} = -\frac{1 \cdot 3 + 1}{3} = -\frac{4}{3}$
$(-\frac{4}{3})^2 = \frac{16}{9}$

2. $-1\frac{2}{3} + \frac{16}{9}$
Переводим смешанное число в неправильную дробь: $-1\frac{2}{3} = -\frac{1 \cdot 3 + 2}{3} = -\frac{5}{3}$
$-\frac{5}{3} + \frac{16}{9}$
Приводим дроби к общему знаменателю 9:
$-\frac{5 \cdot 3}{9} + \frac{16}{9} = \frac{-15 + 16}{9} = \frac{1}{9}$

3. $\frac{1}{9} \cdot (-\frac{3}{11}) = -\frac{1 \cdot 3}{9 \cdot 11} = -\frac{3}{99}$
Сокращаем дробь на 3:
$-\frac{1}{33}$

Ответ: $-\frac{1}{33}$

Помогло решение? Оставьте отзыв в комментариях ниже.

Присоединяйтесь к Телеграм-группе @gdz_by_belarus

Присоединиться

Мы подготовили для вас ответ c подробным объяснением домашего задания по алгебре за 7 класс, для упражнения номер 2.5 расположенного на странице 49 к учебнику 2022 года издания для учащихся школ и гимназий.

Теперь на нашем сайте ГДЗ.ТОП вы всегда легко и бесплатно найдёте условие с правильным ответом на вопрос «Как решить ДЗ» и «Как сделать» задание по алгебре к упражнению №2.5 (с. 49), авторов: Арефьева (Ирина Глебовна), Пирютко (Ольга Николаевна), учебного пособия издательства Народная асвета.