Номер 2.250, страница 102 - гдз по алгебре 7 класс учебник Арефьева, Пирютко

Алгебра, 7 класс Учебник, авторы: Арефьева Ирина Глебовна, Пирютко Ольга Николаевна, издательство Народная асвета, Минск, 2022, зелёного цвета

Авторы: Арефьева И. Г., Пирютко О. Н.

Тип: Учебник

Издательство: Народная асвета

Год издания: 2022 - 2026

Цвет обложки: зелёный с графиком

ISBN: ISBN 978-985-03-3770-2

Допущено Министерством образования Республики Беларусь

Глава 2. Выражения и их преобразования. Параграф 11. Умножение многочленов - номер 2.250, страница 102.

№2.250 (с. 102)
Условие. №2.250 (с. 102)
скриншот условия
Алгебра, 7 класс Учебник, авторы: Арефьева Ирина Глебовна, Пирютко Ольга Николаевна, издательство Народная асвета, Минск, 2022, зелёного цвета, страница 102, номер 2.250, Условие

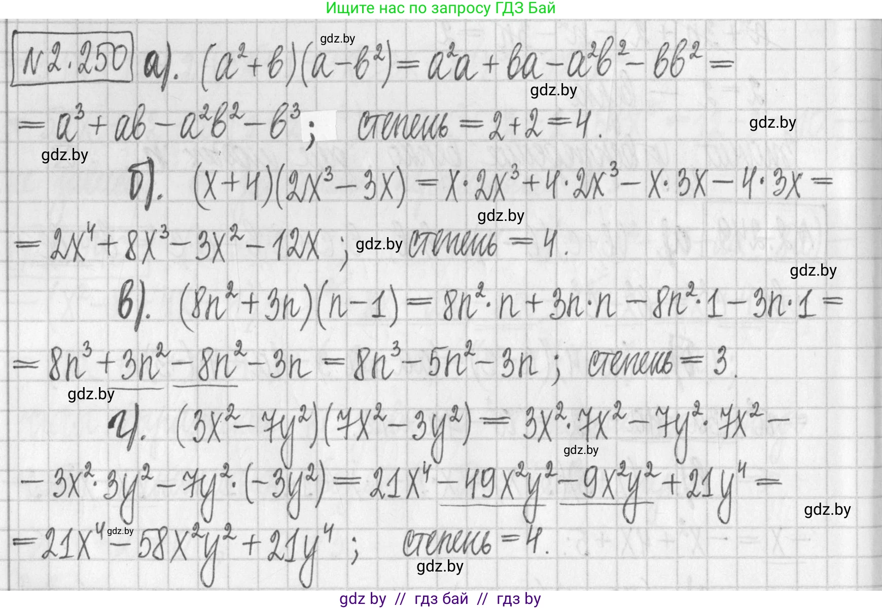
2.250. Представьте выражение в виде многочлена

и определите его степень:

a) $(a^2 + b)(a - b^2)$;

б) $(x + 4)(2x^3 - 3x)$;

в) $(8n^2 + 3n)(n - 1)$;

г) $(3x^2 - 7y^2)(7x^2 - 3y^2)$.

Решение. №2.250 (с. 102)
Алгебра, 7 класс Учебник, авторы: Арефьева Ирина Глебовна, Пирютко Ольга Николаевна, издательство Народная асвета, Минск, 2022, зелёного цвета, страница 102, номер 2.250, Решение
Решение 2. №2.250 (с. 102)

а) Для того чтобы представить выражение в виде многочлена, необходимо умножить каждый член из первой скобки на каждый член из второй скобки (правило раскрытия скобок):

$(a^2 + b)(a - b^2) = a^2 \cdot a + a^2 \cdot (-b^2) + b \cdot a + b \cdot (-b^2) = a^3 - a^2b^2 + ab - b^3$

Полученный многочлен: $a^3 - a^2b^2 + ab - b^3$.

Степень многочлена – это наибольшая из степеней его одночленов. Найдем степени для каждого члена:

  • $a^3$: степень 3
  • $-a^2b^2$: степень $2+2=4$
  • $ab$: степень $1+1=2$
  • $-b^3$: степень 3

Наибольшая степень равна 4. Следовательно, степень многочлена равна 4.

Ответ: $a^3 - a^2b^2 + ab - b^3$; степень многочлена 4.

б) Раскроем скобки, умножая каждый член первой скобки на каждый член второй:

$(x + 4)(2x^3 - 3x) = x \cdot 2x^3 + x \cdot (-3x) + 4 \cdot 2x^3 + 4 \cdot (-3x) = 2x^4 - 3x^2 + 8x^3 - 12x$

Запишем многочлен в стандартном виде, упорядочив члены по убыванию степеней:

$2x^4 + 8x^3 - 3x^2 - 12x$

Степень многочлена определяется по наибольшей степени его членов. В данном случае это степень члена $2x^4$, которая равна 4.

Ответ: $2x^4 + 8x^3 - 3x^2 - 12x$; степень многочлена 4.

в) Умножим многочлены $(8n^2 + 3n)$ и $(n - 1)$:

$(8n^2 + 3n)(n - 1) = 8n^2 \cdot n + 8n^2 \cdot (-1) + 3n \cdot n + 3n \cdot (-1) = 8n^3 - 8n^2 + 3n^2 - 3n$

Приведем подобные члены (члены с одинаковой переменной в одинаковой степени):

$-8n^2 + 3n^2 = -5n^2$

Полученный многочлен в стандартном виде:

$8n^3 - 5n^2 - 3n$

Наибольшая степень члена $8n^3$ равна 3, значит, степень всего многочлена равна 3.

Ответ: $8n^3 - 5n^2 - 3n$; степень многочлена 3.

г) Раскроем скобки в выражении $(3x^2 - 7y^2)(7x^2 - 3y^2)$:

$(3x^2 - 7y^2)(7x^2 - 3y^2) = 3x^2 \cdot 7x^2 + 3x^2 \cdot (-3y^2) - 7y^2 \cdot 7x^2 - 7y^2 \cdot (-3y^2)$

$= 21x^4 - 9x^2y^2 - 49x^2y^2 + 21y^4$

Приведем подобные члены:

$-9x^2y^2 - 49x^2y^2 = -58x^2y^2$

Полученный многочлен: $21x^4 - 58x^2y^2 + 21y^4$.

Найдем степени для каждого члена:

  • $21x^4$: степень 4
  • $-58x^2y^2$: степень $2+2=4$
  • $21y^4$: степень 4

Наибольшая степень равна 4, значит, степень многочлена равна 4.

Ответ: $21x^4 - 58x^2y^2 + 21y^4$; степень многочлена 4.

Помогло решение? Оставьте отзыв в комментариях ниже.

Присоединяйтесь к Телеграм-группе @gdz_by_belarus

Присоединиться

Мы подготовили для вас ответ c подробным объяснением домашего задания по алгебре за 7 класс, для упражнения номер 2.250 расположенного на странице 102 к учебнику 2022 года издания для учащихся школ и гимназий.

Теперь на нашем сайте ГДЗ.ТОП вы всегда легко и бесплатно найдёте условие с правильным ответом на вопрос «Как решить ДЗ» и «Как сделать» задание по алгебре к упражнению №2.250 (с. 102), авторов: Арефьева (Ирина Глебовна), Пирютко (Ольга Николаевна), учебного пособия издательства Народная асвета.