Номер 2.260, страница 103 - гдз по алгебре 7 класс учебник Арефьева, Пирютко

Алгебра, 7 класс Учебник, авторы: Арефьева Ирина Глебовна, Пирютко Ольга Николаевна, издательство Народная асвета, Минск, 2022, зелёного цвета

Авторы: Арефьева И. Г., Пирютко О. Н.

Тип: Учебник

Издательство: Народная асвета

Год издания: 2022 - 2026

Цвет обложки: зелёный с графиком

ISBN: ISBN 978-985-03-3770-2

Допущено Министерством образования Республики Беларусь

Глава 2. Выражения и их преобразования. Параграф 11. Умножение многочленов - номер 2.260, страница 103.

№2.260 (с. 103)
Условие. №2.260 (с. 103)
скриншот условия
Алгебра, 7 класс Учебник, авторы: Арефьева Ирина Глебовна, Пирютко Ольга Николаевна, издательство Народная асвета, Минск, 2022, зелёного цвета, страница 103, номер 2.260, Условие

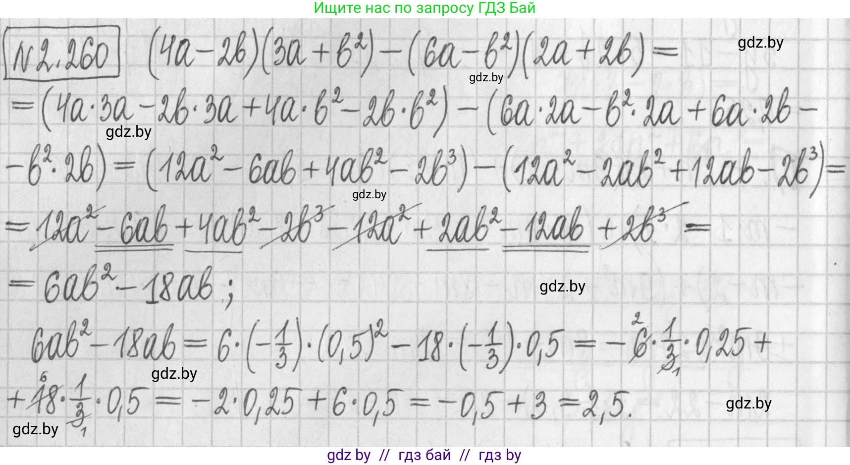
2.260. Упростите выражение

$(4a - 2b)(3a + b^2) - (6a - b^2)(2a + 2b)$

и найдите его значение при $a = -\frac{1}{3}$ и $b = 0,5$.

Решение. №2.260 (с. 103)
Алгебра, 7 класс Учебник, авторы: Арефьева Ирина Глебовна, Пирютко Ольга Николаевна, издательство Народная асвета, Минск, 2022, зелёного цвета, страница 103, номер 2.260, Решение
Решение 2. №2.260 (с. 103)

Упростите выражение

Исходное выражение: $(4a - 2b)(3a + b^2) - (6a - b^2)(2a + 2b)$.
Для упрощения раскроем скобки и приведем подобные слагаемые.

1. Раскрываем произведение первых двух многочленов:
$(4a - 2b)(3a + b^2) = 4a \cdot 3a + 4a \cdot b^2 - 2b \cdot 3a - 2b \cdot b^2 = 12a^2 + 4ab^2 - 6ab - 2b^3$

2. Раскрываем произведение второй пары многочленов:
$(6a - b^2)(2a + 2b) = 6a \cdot 2a + 6a \cdot 2b - b^2 \cdot 2a - b^2 \cdot 2b = 12a^2 + 12ab - 2ab^2 - 2b^3$

3. Вычитаем второе полученное выражение из первого:
$(12a^2 + 4ab^2 - 6ab - 2b^3) - (12a^2 + 12ab - 2ab^2 - 2b^3)$
Раскрываем скобки, меняя знаки у второго выражения на противоположные:
$= 12a^2 + 4ab^2 - 6ab - 2b^3 - 12a^2 - 12ab + 2ab^2 + 2b^3$

4. Группируем и приводим подобные слагаемые:
$(12a^2 - 12a^2) + (4ab^2 + 2ab^2) + (-6ab - 12ab) + (-2b^3 + 2b^3) = 0 + 6ab^2 - 18ab + 0 = 6ab^2 - 18ab$

Ответ: $6ab^2 - 18ab$

Найдите его значение при $a = -\frac{1}{3}$ и $b = 0,5$

Подставим значения $a = -\frac{1}{3}$ и $b = 0,5$ (что равно $\frac{1}{2}$) в упрощенное выражение $6ab^2 - 18ab$.

$6ab^2 - 18ab = 6 \cdot (-\frac{1}{3}) \cdot (0,5)^2 - 18 \cdot (-\frac{1}{3}) \cdot 0,5$

Представим $0,5$ в виде дроби $\frac{1}{2}$ и выполним вычисления:

$6 \cdot (-\frac{1}{3}) \cdot (\frac{1}{2})^2 - 18 \cdot (-\frac{1}{3}) \cdot \frac{1}{2} = 6 \cdot (-\frac{1}{3}) \cdot \frac{1}{4} - 18 \cdot (-\frac{1}{3}) \cdot \frac{1}{2}$

$= (-\frac{6}{3}) \cdot \frac{1}{4} - (-\frac{18}{3}) \cdot \frac{1}{2}$

$= -2 \cdot \frac{1}{4} - (-6) \cdot \frac{1}{2}$

$= -\frac{2}{4} + \frac{6}{2} = -\frac{1}{2} + 3$

$= -\frac{1}{2} + \frac{6}{2} = \frac{5}{2}$

Чтобы выделить целую часть из неправильной дроби $\frac{5}{2}$, делим числитель 5 на знаменатель 2. Получаем 2 целых и 1 в остатке.

$\frac{5}{2} = 2\frac{1}{2}$

Ответ: $2\frac{1}{2}$

Помогло решение? Оставьте отзыв в комментариях ниже.

Присоединяйтесь к Телеграм-группе @gdz_by_belarus

Присоединиться

Мы подготовили для вас ответ c подробным объяснением домашего задания по алгебре за 7 класс, для упражнения номер 2.260 расположенного на странице 103 к учебнику 2022 года издания для учащихся школ и гимназий.

Теперь на нашем сайте ГДЗ.ТОП вы всегда легко и бесплатно найдёте условие с правильным ответом на вопрос «Как решить ДЗ» и «Как сделать» задание по алгебре к упражнению №2.260 (с. 103), авторов: Арефьева (Ирина Глебовна), Пирютко (Ольга Николаевна), учебного пособия издательства Народная асвета.