Номер 2.302, страница 114 - гдз по алгебре 7 класс учебник Арефьева, Пирютко

Алгебра, 7 класс Учебник, авторы: Арефьева Ирина Глебовна, Пирютко Ольга Николаевна, издательство Народная асвета, Минск, 2022, зелёного цвета

Авторы: Арефьева И. Г., Пирютко О. Н.

Тип: Учебник

Издательство: Народная асвета

Год издания: 2022 - 2026

Цвет обложки: зелёный с графиком

ISBN: ISBN 978-985-03-3770-2

Допущено Министерством образования Республики Беларусь

Глава 2. Выражения и их преобразования. Параграф 12. Формулы сокращенного умножения: квадрат суммы и квадрат разности двух выражений - номер 2.302, страница 114.

№2.302 (с. 114)
Условие. №2.302 (с. 114)
скриншот условия
Алгебра, 7 класс Учебник, авторы: Арефьева Ирина Глебовна, Пирютко Ольга Николаевна, издательство Народная асвета, Минск, 2022, зелёного цвета, страница 114, номер 2.302, Условие

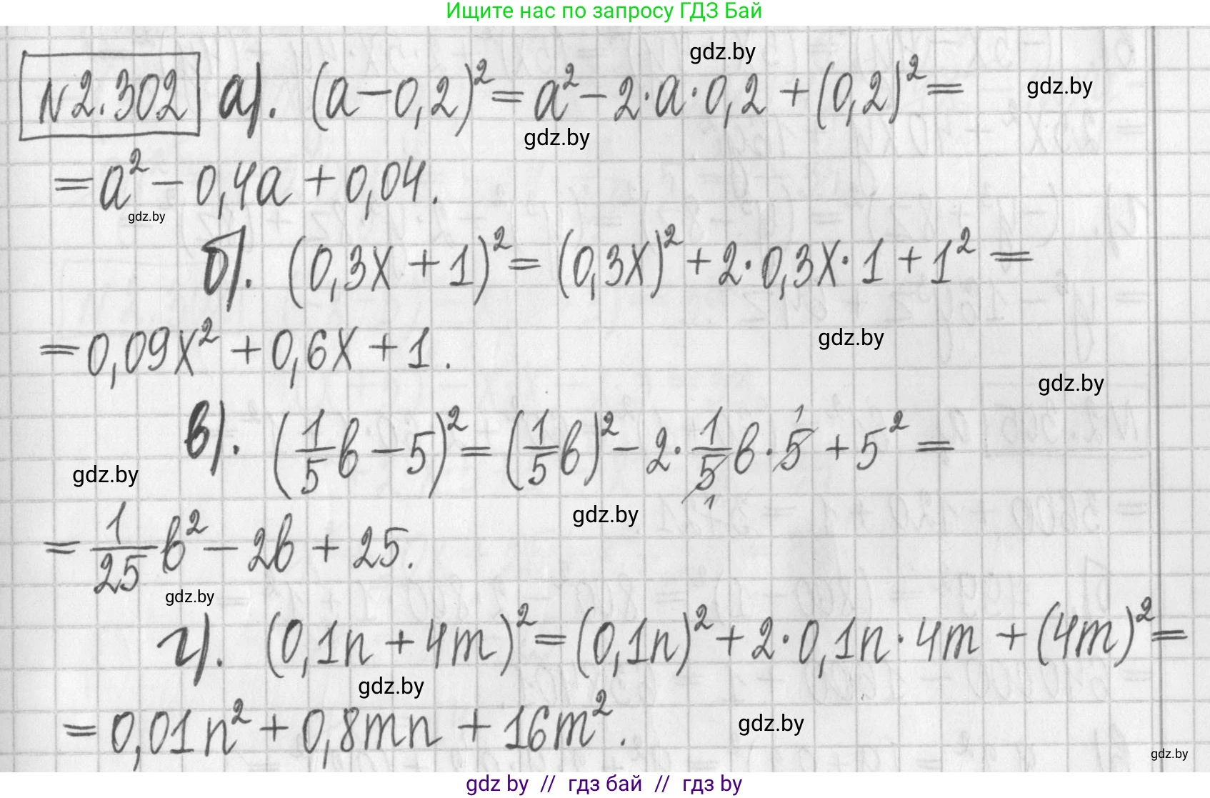
2.302. Представьте в виде трехчлена:

а) $(a - 0,2)^2$;

б) $(0,3x + 1)^2$;

в) $(\frac{1}{5}b - 5)^2$;

г) $(0,1n + 4m)^2$.

Решение. №2.302 (с. 114)
Алгебра, 7 класс Учебник, авторы: Арефьева Ирина Глебовна, Пирютко Ольга Николаевна, издательство Народная асвета, Минск, 2022, зелёного цвета, страница 114, номер 2.302, Решение
Решение 2. №2.302 (с. 114)

Для решения данной задачи необходимо представить каждое выражение в виде трехчлена, используя формулы сокращенного умножения: квадрат суммы и квадрат разности.

  • Формула квадрата суммы: $(a + b)^2 = a^2 + 2ab + b^2$
  • Формула квадрата разности: $(a - b)^2 = a^2 - 2ab + b^2$

а) $(a - 0,2)^2$

Используем формулу квадрата разности. Здесь $a$ — это первое слагаемое, а $0,2$ — второе.

$(a - 0,2)^2 = a^2 - 2 \cdot a \cdot 0,2 + (0,2)^2 = a^2 - 0,4a + 0,04$.

Ответ: $a^2 - 0,4a + 0,04$.

б) $(0,3x + 1)^2$

Используем формулу квадрата суммы. Здесь $0,3x$ — это первое слагаемое, а $1$ — второе.

$(0,3x + 1)^2 = (0,3x)^2 + 2 \cdot 0,3x \cdot 1 + 1^2 = 0,09x^2 + 0,6x + 1$.

Ответ: $0,09x^2 + 0,6x + 1$.

в) $(\frac{1}{5}b - 5)^2$

Используем формулу квадрата разности. Здесь $\frac{1}{5}b$ — это первое слагаемое, а $5$ — второе.

$(\frac{1}{5}b - 5)^2 = (\frac{1}{5}b)^2 - 2 \cdot \frac{1}{5}b \cdot 5 + 5^2 = \frac{1^2}{5^2}b^2 - \frac{2 \cdot 5}{5}b + 25 = \frac{1}{25}b^2 - 2b + 25$.

Ответ: $\frac{1}{25}b^2 - 2b + 25$.

г) $(0,1n + 4m)^2$

Используем формулу квадрата суммы. Здесь $0,1n$ — это первое слагаемое, а $4m$ — второе.

$(0,1n + 4m)^2 = (0,1n)^2 + 2 \cdot 0,1n \cdot 4m + (4m)^2 = 0,01n^2 + 0,8nm + 16m^2$.

Ответ: $0,01n^2 + 0,8nm + 16m^2$.

Помогло решение? Оставьте отзыв в комментариях ниже.

Присоединяйтесь к Телеграм-группе @gdz_by_belarus

Присоединиться

Мы подготовили для вас ответ c подробным объяснением домашего задания по алгебре за 7 класс, для упражнения номер 2.302 расположенного на странице 114 к учебнику 2022 года издания для учащихся школ и гимназий.

Теперь на нашем сайте ГДЗ.ТОП вы всегда легко и бесплатно найдёте условие с правильным ответом на вопрос «Как решить ДЗ» и «Как сделать» задание по алгебре к упражнению №2.302 (с. 114), авторов: Арефьева (Ирина Глебовна), Пирютко (Ольга Николаевна), учебного пособия издательства Народная асвета.