Номер 2.335, страница 121 - гдз по алгебре 7 класс учебник Арефьева, Пирютко

Алгебра, 7 класс Учебник, авторы: Арефьева Ирина Глебовна, Пирютко Ольга Николаевна, издательство Народная асвета, Минск, 2022, зелёного цвета

Авторы: Арефьева И. Г., Пирютко О. Н.

Тип: Учебник

Издательство: Народная асвета

Год издания: 2022 - 2026

Цвет обложки: зелёный с графиком

ISBN: ISBN 978-985-03-3770-2

Допущено Министерством образования Республики Беларусь

Глава 2. Выражения и их преобразования. Параграф 13. Формулы сокращенного умножения: произведение суммы и разности двух выражений - номер 2.335, страница 121.

№2.335 (с. 121)
Условие. №2.335 (с. 121)
скриншот условия
Алгебра, 7 класс Учебник, авторы: Арефьева Ирина Глебовна, Пирютко Ольга Николаевна, издательство Народная асвета, Минск, 2022, зелёного цвета, страница 121, номер 2.335, Условие

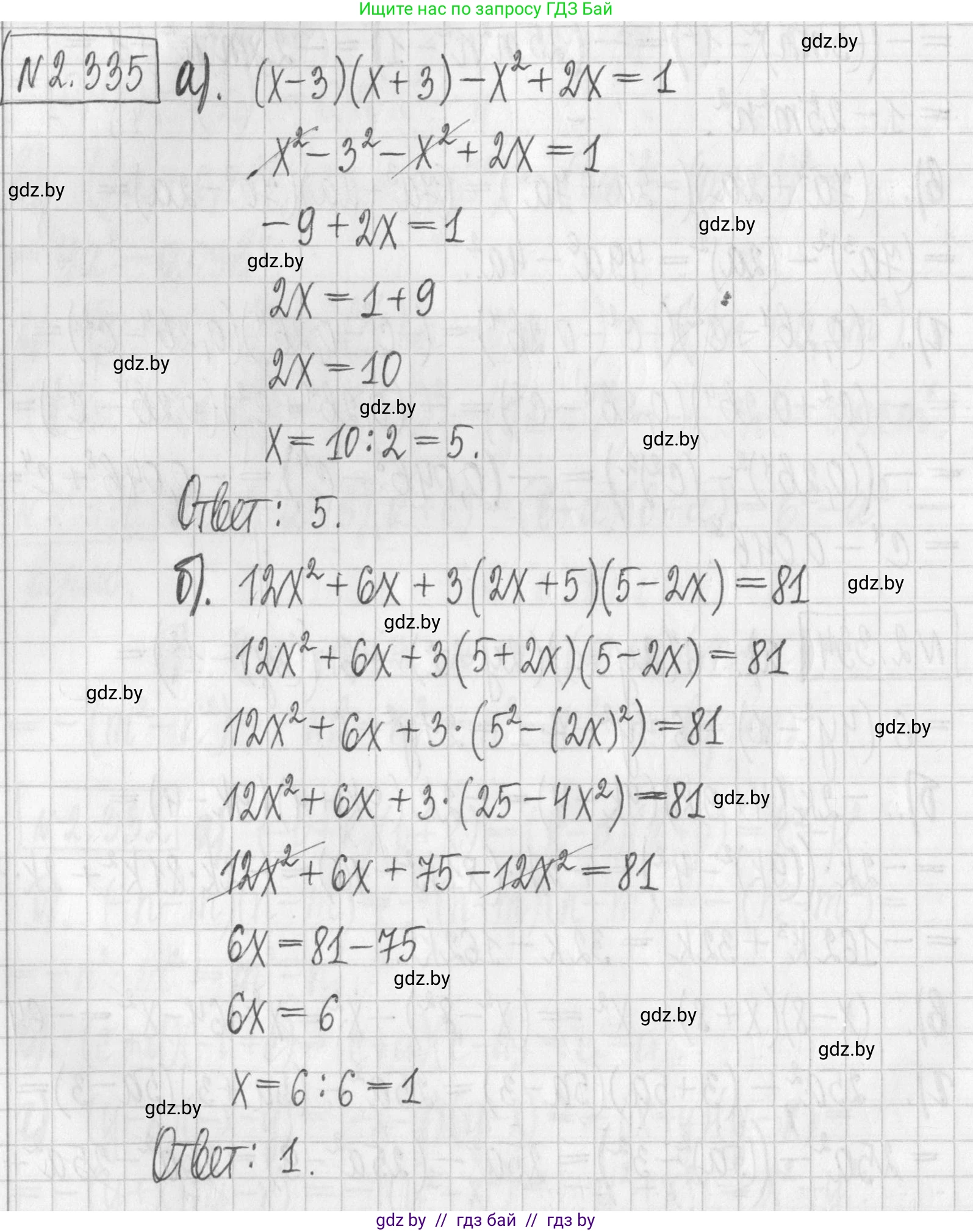
2.335. Выполните тождественные преобразования в левой части уравнения и решите его:

a) $(x-3)(x+3)-x^2+2x=1;$

б) $12x^2+6x+3(2x+5)(5-2x)=81.$

Решение. №2.335 (с. 121)
Алгебра, 7 класс Учебник, авторы: Арефьева Ирина Глебовна, Пирютко Ольга Николаевна, издательство Народная асвета, Минск, 2022, зелёного цвета, страница 121, номер 2.335, Решение
Решение 2. №2.335 (с. 121)
а) $(x - 3)(x + 3) - x^2 + 2x = 1$

Преобразуем левую часть уравнения. Для произведения $(x - 3)(x + 3)$ используем формулу разности квадратов $(a - b)(a + b) = a^2 - b^2$:

$(x^2 - 3^2) - x^2 + 2x = 1$

$x^2 - 9 - x^2 + 2x = 1$

Приводим подобные слагаемые. Члены $x^2$ и $-x^2$ взаимно уничтожаются:

$2x - 9 = 1$

Теперь решаем полученное линейное уравнение. Переносим $-9$ в правую часть, меняя знак на противоположный:

$2x = 1 + 9$

$2x = 10$

Находим $x$:

$x = \frac{10}{2}$

$x = 5$

Ответ: 5

б) $12x^2 + 6x + 3(2x + 5)(5 - 2x) = 81$

Преобразуем произведение $(2x + 5)(5 - 2x)$. Заметим, что это можно записать как $(5 + 2x)(5 - 2x)$, что соответствует формуле разности квадратов:

$(5 + 2x)(5 - 2x) = 5^2 - (2x)^2 = 25 - 4x^2$

Подставим это выражение обратно в исходное уравнение:

$12x^2 + 6x + 3(25 - 4x^2) = 81$

Раскроем скобки:

$12x^2 + 6x + 75 - 12x^2 = 81$

Приводим подобные слагаемые. Члены $12x^2$ и $-12x^2$ взаимно уничтожаются:

$6x + 75 = 81$

Решаем полученное уравнение. Переносим $75$ в правую часть:

$6x = 81 - 75$

$6x = 6$

Находим $x$:

$x = \frac{6}{6}$

$x = 1$

Ответ: 1

Помогло решение? Оставьте отзыв в комментариях ниже.

Присоединяйтесь к Телеграм-группе @gdz_by_belarus

Присоединиться

Мы подготовили для вас ответ c подробным объяснением домашего задания по алгебре за 7 класс, для упражнения номер 2.335 расположенного на странице 121 к учебнику 2022 года издания для учащихся школ и гимназий.

Теперь на нашем сайте ГДЗ.ТОП вы всегда легко и бесплатно найдёте условие с правильным ответом на вопрос «Как решить ДЗ» и «Как сделать» задание по алгебре к упражнению №2.335 (с. 121), авторов: Арефьева (Ирина Глебовна), Пирютко (Ольга Николаевна), учебного пособия издательства Народная асвета.