Номер 2.360, страница 124 - гдз по алгебре 7 класс учебник Арефьева, Пирютко

Алгебра, 7 класс Учебник, авторы: Арефьева Ирина Глебовна, Пирютко Ольга Николаевна, издательство Народная асвета, Минск, 2022, зелёного цвета

Авторы: Арефьева И. Г., Пирютко О. Н.

Тип: Учебник

Издательство: Народная асвета

Год издания: 2022 - 2026

Цвет обложки: зелёный с графиком

ISBN: ISBN 978-985-03-3770-2

Допущено Министерством образования Республики Беларусь

Глава 2. Выражения и их преобразования. Параграф 13. Формулы сокращенного умножения: произведение суммы и разности двух выражений - номер 2.360, страница 124.

№2.360 (с. 124)
Условие. №2.360 (с. 124)
скриншот условия
Алгебра, 7 класс Учебник, авторы: Арефьева Ирина Глебовна, Пирютко Ольга Николаевна, издательство Народная асвета, Минск, 2022, зелёного цвета, страница 124, номер 2.360, Условие

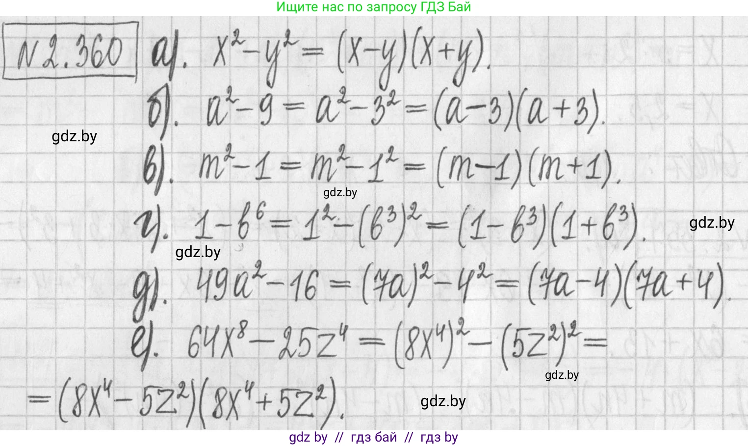
2.360. Используя алгоритм, представьте в виде произведения разность квадратов двух выражений:

а) $x^2 - y^2$;

б) $a^2 - 9$;

в) $m^2 - 1$;

г) $1 - b^6$;

д) $49a^2 - 16$;

е) $64x^8 - 25z^4$.

Решение. №2.360 (с. 124)
Алгебра, 7 класс Учебник, авторы: Арефьева Ирина Глебовна, Пирютко Ольга Николаевна, издательство Народная асвета, Минск, 2022, зелёного цвета, страница 124, номер 2.360, Решение
Решение 2. №2.360 (с. 124)

Для решения данной задачи используется формула сокращенного умножения, известная как "разность квадратов":

$A^2 - B^2 = (A - B)(A + B)$

Алгоритм решения состоит в том, чтобы представить каждый член исходного выражения в виде квадрата некоторого выражения, а затем применить указанную формулу.

а) $x^2 - y^2$

В данном выражении мы имеем разность двух квадратов. Первое выражение в квадрате - это $x$, второе - $y$.

Применяем формулу разности квадратов, где $A=x$ и $B=y$:

$x^2 - y^2 = (x - y)(x + y)$

Ответ: $(x - y)(x + y)$

б) $a^2 - 9$

Представим число 9 как квадрат числа 3, то есть $9 = 3^2$.

Выражение принимает вид: $a^2 - 3^2$.

Теперь это разность квадратов, где $A=a$ и $B=3$. Применяем формулу:

$a^2 - 3^2 = (a - 3)(a + 3)$

Ответ: $(a - 3)(a + 3)$

в) $m^2 - 1$

Представим число 1 как квадрат самого себя, то есть $1 = 1^2$.

Выражение принимает вид: $m^2 - 1^2$.

Это разность квадратов, где $A=m$ и $B=1$. Применяем формулу:

$m^2 - 1^2 = (m - 1)(m + 1)$

Ответ: $(m - 1)(m + 1)$

г) $1 - b^6$

Представим каждый член выражения в виде квадрата. $1 = 1^2$. Степень $b^6$ можно представить как $(b^3)^2$, используя свойство степеней $(a^n)^k = a^{nk}$.

Выражение принимает вид: $1^2 - (b^3)^2$.

Это разность квадратов, где $A=1$ и $B=b^3$. Применяем формулу:

$1^2 - (b^3)^2 = (1 - b^3)(1 + b^3)$

Ответ: $(1 - b^3)(1 + b^3)$

д) $49a^2 - 16$

Представим каждый член выражения в виде квадрата. $49a^2 = (7a)^2$, так как $7^2=49$. $16 = 4^2$.

Выражение принимает вид: $(7a)^2 - 4^2$.

Это разность квадратов, где $A=7a$ и $B=4$. Применяем формулу:

$(7a)^2 - 4^2 = (7a - 4)(7a + 4)$

Ответ: $(7a - 4)(7a + 4)$

е) $64x^8 - 25z^4$

Представим каждый член выражения в виде квадрата. $64x^8 = (8x^4)^2$, так как $8^2=64$ и $(x^4)^2 = x^8$. Аналогично, $25z^4 = (5z^2)^2$, так как $5^2=25$ и $(z^2)^2=z^4$.

Выражение принимает вид: $(8x^4)^2 - (5z^2)^2$.

Это разность квадратов, где $A=8x^4$ и $B=5z^2$. Применяем формулу:

$(8x^4)^2 - (5z^2)^2 = (8x^4 - 5z^2)(8x^4 + 5z^2)$

Ответ: $(8x^4 - 5z^2)(8x^4 + 5z^2)$

Помогло решение? Оставьте отзыв в комментариях ниже.

Присоединяйтесь к Телеграм-группе @gdz_by_belarus

Присоединиться

Мы подготовили для вас ответ c подробным объяснением домашего задания по алгебре за 7 класс, для упражнения номер 2.360 расположенного на странице 124 к учебнику 2022 года издания для учащихся школ и гимназий.

Теперь на нашем сайте ГДЗ.ТОП вы всегда легко и бесплатно найдёте условие с правильным ответом на вопрос «Как решить ДЗ» и «Как сделать» задание по алгебре к упражнению №2.360 (с. 124), авторов: Арефьева (Ирина Глебовна), Пирютко (Ольга Николаевна), учебного пособия издательства Народная асвета.