Номер 2.32, страница 52 - гдз по алгебре 7 класс учебник Арефьева, Пирютко

Алгебра, 7 класс Учебник, авторы: Арефьева Ирина Глебовна, Пирютко Ольга Николаевна, издательство Народная асвета, Минск, 2022, зелёного цвета

Авторы: Арефьева И. Г., Пирютко О. Н.

Тип: Учебник

Издательство: Народная асвета

Год издания: 2022 - 2026

Цвет обложки: зелёный с графиком

ISBN: ISBN 978-985-03-3770-2

Допущено Министерством образования Республики Беларусь

Глава 2. Выражения и их преобразования. Параграф 4. Числовые выражения и выражения с переменными - номер 2.32, страница 52.

№2.32 (с. 52)
Условие. №2.32 (с. 52)
скриншот условия
Алгебра, 7 класс Учебник, авторы: Арефьева Ирина Глебовна, Пирютко Ольга Николаевна, издательство Народная асвета, Минск, 2022, зелёного цвета, страница 52, номер 2.32, Условие

2.32. Найдите значение выражения $2a + b$ при:

а) $a = 0,1, b = -\frac{1}{7}$;

б) $a = -1,5, b = -3$.

Подберите две пары не равных между собой значений переменных, при которых значение данного выражения равно нулю.

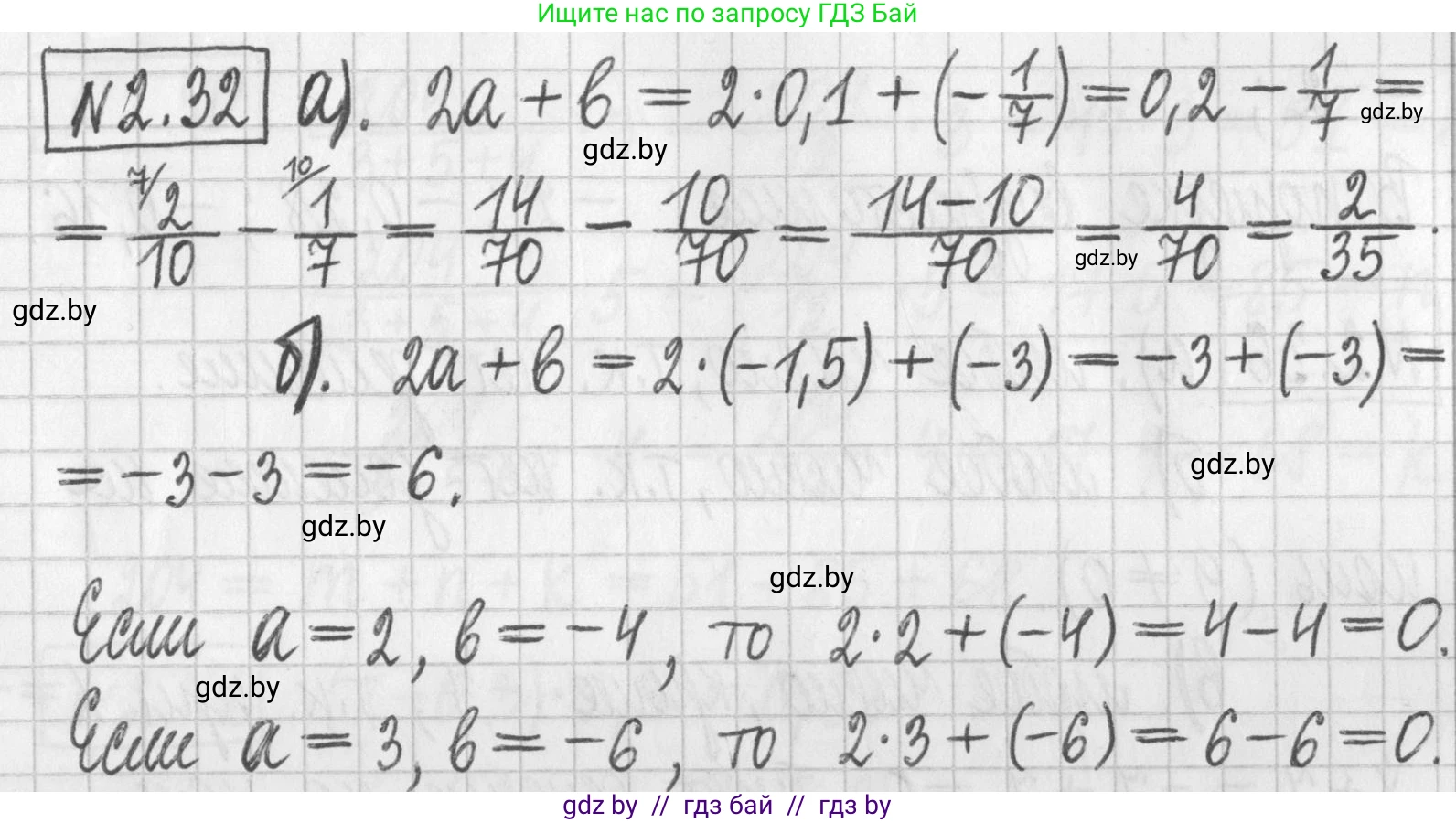
Решение. №2.32 (с. 52)
Алгебра, 7 класс Учебник, авторы: Арефьева Ирина Глебовна, Пирютко Ольга Николаевна, издательство Народная асвета, Минск, 2022, зелёного цвета, страница 52, номер 2.32, Решение
Решение 2. №2.32 (с. 52)

Необходимо найти значение выражения $2a + b$ для заданных значений переменных, а также подобрать две пары значений, при которых выражение равно нулю.

а) При $a = 0,1$ и $b = -\frac{1}{7}$

Подставим значения в выражение:

$2a + b = 2 \cdot 0,1 + (-\frac{1}{7})$

Представим десятичную дробь в виде обыкновенной для удобства вычислений:

$0,1 = \frac{1}{10}$

Тогда выражение примет вид:

$2 \cdot \frac{1}{10} - \frac{1}{7} = \frac{2}{10} - \frac{1}{7} = \frac{1}{5} - \frac{1}{7}$

Приведем дроби к общему знаменателю, равному 35:

$\frac{1 \cdot 7}{5 \cdot 7} - \frac{1 \cdot 5}{7 \cdot 5} = \frac{7}{35} - \frac{5}{35} = \frac{2}{35}$

Ответ: $\frac{2}{35}$

б) При $a = -1,5$ и $b = -3$

Подставим значения в выражение:

$2a + b = 2 \cdot (-1,5) + (-3)$

Выполним умножение, а затем сложение:

$-3 - 3 = -6$

Ответ: -6


Подбор значений, при которых выражение равно нулю

Чтобы найти значения переменных, при которых выражение $2a + b$ равно нулю, необходимо решить уравнение:

$2a + b = 0$

Отсюда можно выразить $b$ через $a$:

$b = -2a$

Теперь подберем две пары не равных между собой значений $a$ и $b$, удовлетворяющих этому условию.

Пара 1:

Пусть $a = 2$. Тогда $b = -2 \cdot 2 = -4$.

Проверка: $2 \cdot 2 + (-4) = 4 - 4 = 0$. Значения $a=2$ и $b=-4$ не равны.

Ответ: $a = 2, b = -4$.

Пара 2:

Пусть $a = -1$. Тогда $b = -2 \cdot (-1) = 2$.

Проверка: $2 \cdot (-1) + 2 = -2 + 2 = 0$. Значения $a=-1$ и $b=2$ не равны.

Ответ: $a = -1, b = 2$.

Помогло решение? Оставьте отзыв в комментариях ниже.

Присоединяйтесь к Телеграм-группе @gdz_by_belarus

Присоединиться

Мы подготовили для вас ответ c подробным объяснением домашего задания по алгебре за 7 класс, для упражнения номер 2.32 расположенного на странице 52 к учебнику 2022 года издания для учащихся школ и гимназий.

Теперь на нашем сайте ГДЗ.ТОП вы всегда легко и бесплатно найдёте условие с правильным ответом на вопрос «Как решить ДЗ» и «Как сделать» задание по алгебре к упражнению №2.32 (с. 52), авторов: Арефьева (Ирина Глебовна), Пирютко (Ольга Николаевна), учебного пособия издательства Народная асвета.