Номер 2.434, страница 140 - гдз по алгебре 7 класс учебник Арефьева, Пирютко

Алгебра, 7 класс Учебник, авторы: Арефьева Ирина Глебовна, Пирютко Ольга Николаевна, издательство Народная асвета, Минск, 2022, зелёного цвета

Авторы: Арефьева И. Г., Пирютко О. Н.

Тип: Учебник

Издательство: Народная асвета

Год издания: 2022 - 2026

Цвет обложки: зелёный с графиком

ISBN: ISBN 978-985-03-3770-2

Допущено Министерством образования Республики Беларусь

Глава 2. Выражения и их преобразования. Параграф 14. Разложение многочлена на множители - номер 2.434, страница 140.

№2.434 (с. 140)
Условие. №2.434 (с. 140)
скриншот условия
Алгебра, 7 класс Учебник, авторы: Арефьева Ирина Глебовна, Пирютко Ольга Николаевна, издательство Народная асвета, Минск, 2022, зелёного цвета, страница 140, номер 2.434, Условие

2.434. Разложите многочлен на множители:

а) $36 - 49(n + 2)^2$

б) $(x + 5)^2 - 9(x - 1)^2$

в) $4(3a^2 + 2b)^2 - (3a^2 - 2b)^2$

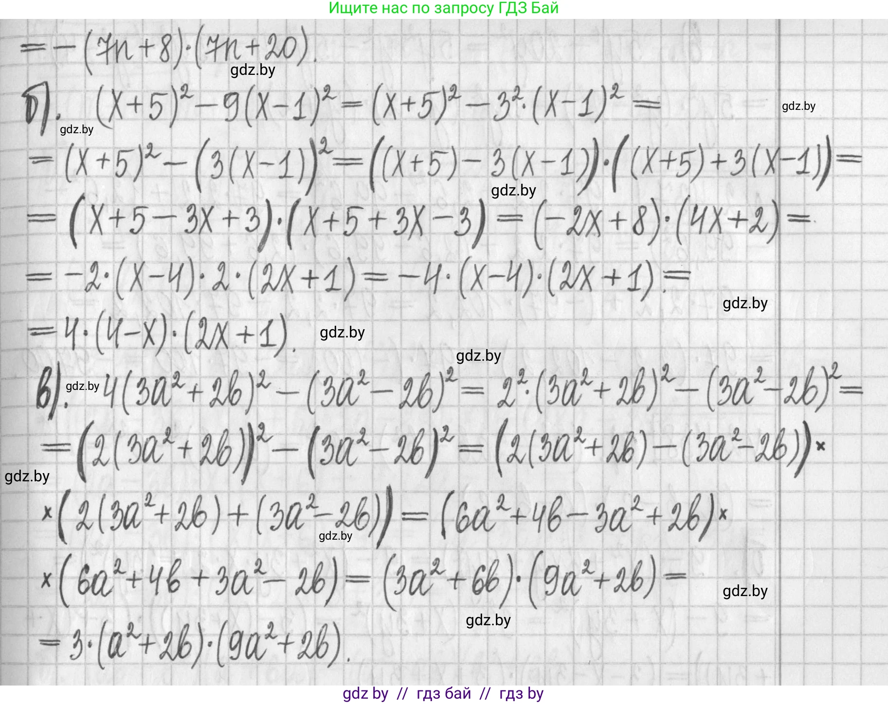
Решение. №2.434 (с. 140)
Алгебра, 7 класс Учебник, авторы: Арефьева Ирина Глебовна, Пирютко Ольга Николаевна, издательство Народная асвета, Минск, 2022, зелёного цвета, страница 140, номер 2.434, Решение Алгебра, 7 класс Учебник, авторы: Арефьева Ирина Глебовна, Пирютко Ольга Николаевна, издательство Народная асвета, Минск, 2022, зелёного цвета, страница 140, номер 2.434, Решение (продолжение 2)
Решение 2. №2.434 (с. 140)

Для решения всех пунктов используется формула сокращённого умножения "разность квадратов": $a^2 - b^2 = (a - b)(a + b)$.

а) $36 - 49(n + 2)^2$

Представим каждый член выражения в виде квадрата: $36 = 6^2$ и $49(n + 2)^2 = (7(n + 2))^2$.
Теперь применим формулу разности квадратов:

$36 - 49(n + 2)^2 = 6^2 - (7(n + 2))^2 = (6 - 7(n + 2))(6 + 7(n + 2))$

Раскроем скобки внутри каждого множителя и упростим:

Первый множитель: $6 - 7(n + 2) = 6 - 7n - 14 = -7n - 8$.

Второй множитель: $6 + 7(n + 2) = 6 + 7n + 14 = 7n + 20$.

Результат разложения: $(-7n - 8)(7n + 20)$.

Ответ: $(-7n - 8)(7n + 20)$

б) $(x + 5)^2 - 9(x - 1)^2$

Представим выражение в виде разности квадратов. Первый член уже является квадратом $(x+5)^2$. Второй член: $9(x - 1)^2 = (3(x - 1))^2$.
Применим формулу разности квадратов:

$(x + 5)^2 - (3(x - 1))^2 = ((x + 5) - 3(x - 1))((x + 5) + 3(x - 1))$

Раскроем внутренние скобки и упростим выражения в каждом множителе:

Первый множитель: $x + 5 - 3(x - 1) = x + 5 - 3x + 3 = -2x + 8$.

Второй множитель: $x + 5 + 3(x - 1) = x + 5 + 3x - 3 = 4x + 2$.

Получаем произведение: $(-2x + 8)(4x + 2)$.
Для дальнейшего упрощения вынесем общие множители из каждой скобки: $2(4 - x)$ и $2(2x + 1)$.

Итоговое разложение: $2(4 - x) \cdot 2(2x + 1) = 4(4 - x)(2x + 1)$.

Ответ: $4(4 - x)(2x + 1)$

в) $4(3a^2 + 2b)^2 - (3a^2 - 2b)^2$

Представим первый член в виде квадрата: $4(3a^2 + 2b)^2 = (2(3a^2 + 2b))^2$.
Теперь всё выражение является разностью квадратов. Применим формулу:

$(2(3a^2 + 2b))^2 - (3a^2 - 2b)^2 = (2(3a^2 + 2b) - (3a^2 - 2b))(2(3a^2 + 2b) + (3a^2 - 2b))$

Раскроем скобки и упростим выражения в каждом множителе:

Первый множитель: $2(3a^2 + 2b) - (3a^2 - 2b) = 6a^2 + 4b - 3a^2 + 2b = 3a^2 + 6b$.

Второй множитель: $2(3a^2 + 2b) + (3a^2 - 2b) = 6a^2 + 4b + 3a^2 - 2b = 9a^2 + 2b$.

Получаем произведение: $(3a^2 + 6b)(9a^2 + 2b)$.
Вынесем общий множитель 3 из первой скобки:

$3(a^2 + 2b)(9a^2 + 2b)$.

Ответ: $3(a^2 + 2b)(9a^2 + 2b)$

Помогло решение? Оставьте отзыв в комментариях ниже.

Присоединяйтесь к Телеграм-группе @gdz_by_belarus

Присоединиться

Мы подготовили для вас ответ c подробным объяснением домашего задания по алгебре за 7 класс, для упражнения номер 2.434 расположенного на странице 140 к учебнику 2022 года издания для учащихся школ и гимназий.

Теперь на нашем сайте ГДЗ.ТОП вы всегда легко и бесплатно найдёте условие с правильным ответом на вопрос «Как решить ДЗ» и «Как сделать» задание по алгебре к упражнению №2.434 (с. 140), авторов: Арефьева (Ирина Глебовна), Пирютко (Ольга Николаевна), учебного пособия издательства Народная асвета.