Номер 3.104, страница 170 - гдз по алгебре 7 класс учебник Арефьева, Пирютко

Алгебра, 7 класс Учебник, авторы: Арефьева Ирина Глебовна, Пирютко Ольга Николаевна, издательство Народная асвета, Минск, 2022, зелёного цвета

Авторы: Арефьева И. Г., Пирютко О. Н.

Тип: Учебник

Издательство: Народная асвета

Год издания: 2022 - 2026

Цвет обложки: зелёный с графиком

ISBN: ISBN 978-985-03-3770-2

Допущено Министерством образования Республики Беларусь

Глава 3. Линейные уравнения. Линейные неравенства. Линейная функция. Параграф 16. Решение текстовых задач с помощью линейных уравнений - номер 3.104, страница 170.

№3.104 (с. 170)
Условие. №3.104 (с. 170)
скриншот условия
Алгебра, 7 класс Учебник, авторы: Арефьева Ирина Глебовна, Пирютко Ольга Николаевна, издательство Народная асвета, Минск, 2022, зелёного цвета, страница 170, номер 3.104, Условие Алгебра, 7 класс Учебник, авторы: Арефьева Ирина Глебовна, Пирютко Ольга Николаевна, издательство Народная асвета, Минск, 2022, зелёного цвета, страница 170, номер 3.104, Условие (продолжение 2)

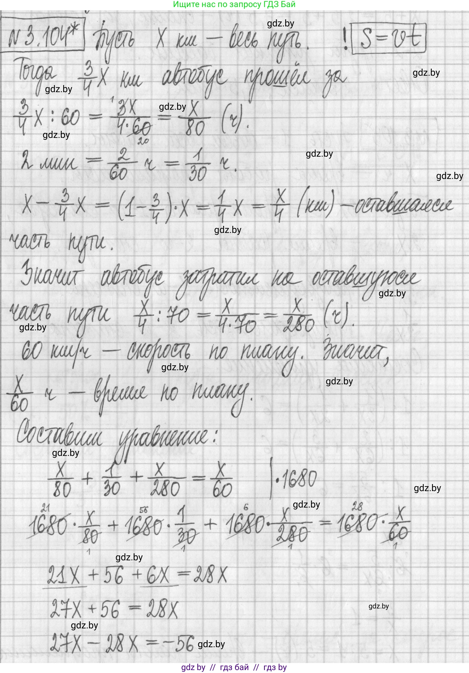
3.104*. Автобус прошел $\frac{3}{4}$ пути со скоростью $60 \frac{\text{КМ}}{\text{ч}}$, а затем задержался на 2 мин. Чтобы прибыть в конечный пункт вовремя, оставшуюся часть пути он шел со скоростью $70 \frac{\text{КМ}}{\text{ч}}$. Найдите путь, пройденный автобусом.

Решение. №3.104 (с. 170)
Алгебра, 7 класс Учебник, авторы: Арефьева Ирина Глебовна, Пирютко Ольга Николаевна, издательство Народная асвета, Минск, 2022, зелёного цвета, страница 170, номер 3.104, Решение Алгебра, 7 класс Учебник, авторы: Арефьева Ирина Глебовна, Пирютко Ольга Николаевна, издательство Народная асвета, Минск, 2022, зелёного цвета, страница 170, номер 3.104, Решение (продолжение 2)
Решение 2. №3.104 (с. 170)

Для решения этой задачи необходимо составить уравнение, исходя из того, что время, сэкономленное за счет увеличения скорости на последнем участке пути, равно времени задержки. Это позволит автобусу прибыть в конечный пункт вовремя.

Пусть $S$ (в км) — это весь путь, который проехал автобус.
Первая часть пути составляет $\frac{3}{4}S$, и автобус проехал ее со скоростью $v_1 = 60$ км/ч.
Оставшаяся часть пути составляет $S - \frac{3}{4}S = \frac{1}{4}S$.

Задержка составила 2 минуты. Переведем это время в часы, так как скорость дана в км/ч:

$t_{задержки} = 2 \text{ мин} = \frac{2}{60} \text{ ч} = \frac{1}{30} \text{ ч}$.

Чтобы прибыть вовремя, автобус должен был компенсировать эту задержку. Это означает, что он должен был проехать оставшийся участок пути быстрее, чем планировалось. Можно предположить, что плановая скорость на втором участке была такой же, как на первом, то есть 60 км/ч.

Время, которое было бы потрачено на второй участок при плановой скорости 60 км/ч:

$t_{план} = \frac{\text{Расстояние}}{\text{Скорость}} = \frac{\frac{1}{4}S}{60} = \frac{S}{240}$ часов.

Фактическое время, потраченное на второй участок при скорости 70 км/ч:

$t_{факт} = \frac{\frac{1}{4}S}{70} = \frac{S}{280}$ часов.

Разница между плановым и фактическим временем как раз и есть сэкономленное время, которое равно времени задержки. Составим уравнение:

$t_{план} - t_{факт} = t_{задержки}$

$\frac{S}{240} - \frac{S}{280} = \frac{1}{30}$

Решим это уравнение относительно $S$. Вынесем $S$ за скобки:

$S \left( \frac{1}{240} - \frac{1}{280} \right) = \frac{1}{30}$

Приведем дроби в скобках к общему знаменателю. Наименьшее общее кратное для 240 и 280 равно 1680:

$S \left( \frac{7}{1680} - \frac{6}{1680} \right) = \frac{1}{30}$

$S \cdot \frac{1}{1680} = \frac{1}{30}$

Теперь выразим $S$:

$S = \frac{1680}{30} = 56$ км.

Найдите путь, пройденный автобусом.
Ответ: 56 км.

Помогло решение? Оставьте отзыв в комментариях ниже.

Присоединяйтесь к Телеграм-группе @gdz_by_belarus

Присоединиться

Мы подготовили для вас ответ c подробным объяснением домашего задания по алгебре за 7 класс, для упражнения номер 3.104 расположенного на странице 170 к учебнику 2022 года издания для учащихся школ и гимназий.

Теперь на нашем сайте ГДЗ.ТОП вы всегда легко и бесплатно найдёте условие с правильным ответом на вопрос «Как решить ДЗ» и «Как сделать» задание по алгебре к упражнению №3.104 (с. 170), авторов: Арефьева (Ирина Глебовна), Пирютко (Ольга Николаевна), учебного пособия издательства Народная асвета.