Номер 3.226, страница 200 - гдз по алгебре 7 класс учебник Арефьева, Пирютко

Алгебра, 7 класс Учебник, авторы: Арефьева Ирина Глебовна, Пирютко Ольга Николаевна, издательство Народная асвета, Минск, 2022, зелёного цвета

Авторы: Арефьева И. Г., Пирютко О. Н.

Тип: Учебник

Издательство: Народная асвета

Год издания: 2022 - 2026

Цвет обложки: зелёный с графиком

ISBN: ISBN 978-985-03-3770-2

Допущено Министерством образования Республики Беларусь

Глава 3. Линейные уравнения. Линейные неравенства. Линейная функция. Параграф 18. Линейные неравенства с одной переменной - номер 3.226, страница 200.

№3.226 (с. 200)
Условие. №3.226 (с. 200)
скриншот условия
Алгебра, 7 класс Учебник, авторы: Арефьева Ирина Глебовна, Пирютко Ольга Николаевна, издательство Народная асвета, Минск, 2022, зелёного цвета, страница 200, номер 3.226, Условие

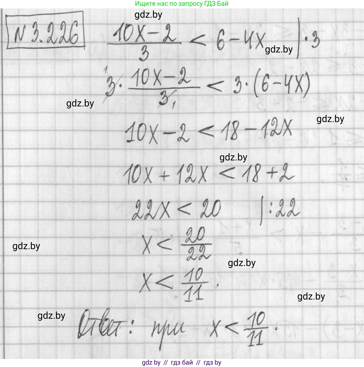
3.226. При каких значениях переменной значение $\frac{10x-2}{3}$ меньше значения двучлена $6-4x$?

Решение. №3.226 (с. 200)
Алгебра, 7 класс Учебник, авторы: Арефьева Ирина Глебовна, Пирютко Ольга Николаевна, издательство Народная асвета, Минск, 2022, зелёного цвета, страница 200, номер 3.226, Решение
Решение 2. №3.226 (с. 200)

Чтобы найти значения переменной, при которых значение выражения $\frac{10x-2}{3}$ меньше значения двучлена $6-4x$, необходимо составить и решить следующее неравенство:

$$ \frac{10x - 2}{3} < 6 - 4x $$

1. Избавимся от знаменателя. Для этого умножим обе части неравенства на 3. Знак неравенства при умножении на положительное число не меняется.

$$ 3 \cdot \frac{10x - 2}{3} < 3 \cdot (6 - 4x) $$

$$ 10x - 2 < 18 - 12x $$

2. Сгруппируем слагаемые с переменной $x$ в левой части неравенства, а постоянные слагаемые — в правой. При переносе слагаемых из одной части в другую их знаки меняются на противоположные.

$$ 10x + 12x < 18 + 2 $$

3. Приведем подобные слагаемые в обеих частях неравенства.

$$ 22x < 20 $$

4. Найдем $x$, разделив обе части неравенства на 22. Знак неравенства не меняется, так как 22 — положительное число.

$$ x < \frac{20}{22} $$

5. Сократим полученную дробь на 2.

$$ x < \frac{10}{11} $$

Следовательно, неравенство выполняется при всех значениях $x$, которые меньше $\frac{10}{11}$.

Ответ: $x < \frac{10}{11}$.

Помогло решение? Оставьте отзыв в комментариях ниже.

Присоединяйтесь к Телеграм-группе @gdz_by_belarus

Присоединиться

Мы подготовили для вас ответ c подробным объяснением домашего задания по алгебре за 7 класс, для упражнения номер 3.226 расположенного на странице 200 к учебнику 2022 года издания для учащихся школ и гимназий.

Теперь на нашем сайте ГДЗ.ТОП вы всегда легко и бесплатно найдёте условие с правильным ответом на вопрос «Как решить ДЗ» и «Как сделать» задание по алгебре к упражнению №3.226 (с. 200), авторов: Арефьева (Ирина Глебовна), Пирютко (Ольга Николаевна), учебного пособия издательства Народная асвета.