Номер 3.241, страница 202 - гдз по алгебре 7 класс учебник Арефьева, Пирютко

Алгебра, 7 класс Учебник, авторы: Арефьева Ирина Глебовна, Пирютко Ольга Николаевна, издательство Народная асвета, Минск, 2022, зелёного цвета

Авторы: Арефьева И. Г., Пирютко О. Н.

Тип: Учебник

Издательство: Народная асвета

Год издания: 2022 - 2026

Цвет обложки: зелёный с графиком

ISBN: ISBN 978-985-03-3770-2

Допущено Министерством образования Республики Беларусь

Глава 3. Линейные уравнения. Линейные неравенства. Линейная функция. Параграф 18. Линейные неравенства с одной переменной - номер 3.241, страница 202.

№3.241 (с. 202)
Условие. №3.241 (с. 202)
скриншот условия
Алгебра, 7 класс Учебник, авторы: Арефьева Ирина Глебовна, Пирютко Ольга Николаевна, издательство Народная асвета, Минск, 2022, зелёного цвета, страница 202, номер 3.241, Условие

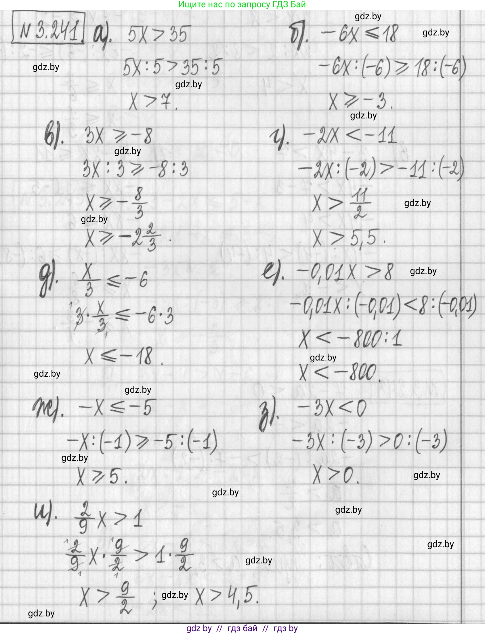
3.241. Решите линейное неравенство:

а) $5x > 35;$

б) $-6x \le 18;$

в) $3x \ge -8;$

г) $-2x < -11;$

д) $\frac{x}{3} \le -6;$

е) $-0,01x > 8;$

ж) $-x \le -5;$

з) $-3x < 0;$

и) $\frac{2}{9}x > 1.$

Решение. №3.241 (с. 202)
Алгебра, 7 класс Учебник, авторы: Арефьева Ирина Глебовна, Пирютко Ольга Николаевна, издательство Народная асвета, Минск, 2022, зелёного цвета, страница 202, номер 3.241, Решение
Решение 2. №3.241 (с. 202)

а) Дано линейное неравенство $5x > 35$.
Чтобы найти $x$, разделим обе части неравенства на 5. Так как 5 — положительное число, знак неравенства сохраняется.
$x > \frac{35}{5}$
$x > 7$
Ответ: $x > 7$.

б) Дано линейное неравенство $-6x \le 18$.
Чтобы найти $x$, разделим обе части неравенства на -6. При делении на отрицательное число знак неравенства меняется на противоположный (с $\le$ на $\ge$).
$x \ge \frac{18}{-6}$
$x \ge -3$
Ответ: $x \ge -3$.

в) Дано линейное неравенство $3x \ge -8$.
Разделим обе части неравенства на 3. Знак неравенства сохраняется.
$x \ge -\frac{8}{3}$
Преобразуем неправильную дробь в смешанное число (выделим целую часть):
$-\frac{8}{3} = -2\frac{2}{3}$
$x \ge -2\frac{2}{3}$
Ответ: $x \ge -2\frac{2}{3}$.

г) Дано линейное неравенство $-2x < -11$.
Разделим обе части неравенства на -2. При делении на отрицательное число знак неравенства меняется на противоположный (с $<$ на $>$).
$x > \frac{-11}{-2}$
$x > \frac{11}{2}$
Преобразуем неправильную дробь в смешанное число (выделим целую часть):
$\frac{11}{2} = 5\frac{1}{2}$
$x > 5\frac{1}{2}$
Ответ: $x > 5\frac{1}{2}$.

д) Дано линейное неравенство $\frac{x}{3} \le -6$.
Чтобы найти $x$, умножим обе части неравенства на 3. Знак неравенства сохраняется.
$x \le -6 \cdot 3$
$x \le -18$
Ответ: $x \le -18$.

е) Дано линейное неравенство $-0,01x > 8$.
Разделим обе части неравенства на -0,01. При делении на отрицательное число знак неравенства меняется на противоположный (с $>$ на $<$).
$x < \frac{8}{-0,01}$
$x < -800$
Ответ: $x < -800$.

ж) Дано линейное неравенство $-x \le -5$.
Умножим (или разделим) обе части неравенства на -1. При этом знак неравенства меняется на противоположный (с $\le$ на $\ge$).
$x \ge 5$
Ответ: $x \ge 5$.

з) Дано линейное неравенство $-3x < 0$.
Разделим обе части неравенства на -3. При делении на отрицательное число знак неравенства меняется на противоположный (с $<$ на $>$).
$x > \frac{0}{-3}$
$x > 0$
Ответ: $x > 0$.

и) Дано линейное неравенство $\frac{2}{9}x > 1$.
Чтобы найти $x$, умножим обе части неравенства на число, обратное $\frac{2}{9}$, то есть на $\frac{9}{2}$. Так как $\frac{9}{2}$ — положительное число, знак неравенства сохраняется.
$x > 1 \cdot \frac{9}{2}$
$x > \frac{9}{2}$
Преобразуем неправильную дробь в смешанное число (выделим целую часть):
$\frac{9}{2} = 4\frac{1}{2}$
$x > 4\frac{1}{2}$
Ответ: $x > 4\frac{1}{2}$.

Помогло решение? Оставьте отзыв в комментариях ниже.

Присоединяйтесь к Телеграм-группе @gdz_by_belarus

Присоединиться

Мы подготовили для вас ответ c подробным объяснением домашего задания по алгебре за 7 класс, для упражнения номер 3.241 расположенного на странице 202 к учебнику 2022 года издания для учащихся школ и гимназий.

Теперь на нашем сайте ГДЗ.ТОП вы всегда легко и бесплатно найдёте условие с правильным ответом на вопрос «Как решить ДЗ» и «Как сделать» задание по алгебре к упражнению №3.241 (с. 202), авторов: Арефьева (Ирина Глебовна), Пирютко (Ольга Николаевна), учебного пособия издательства Народная асвета.