Номер 3.52, страница 158 - гдз по алгебре 7 класс учебник Арефьева, Пирютко

Алгебра, 7 класс Учебник, авторы: Арефьева Ирина Глебовна, Пирютко Ольга Николаевна, издательство Народная асвета, Минск, 2022, зелёного цвета

Авторы: Арефьева И. Г., Пирютко О. Н.

Тип: Учебник

Издательство: Народная асвета

Год издания: 2022 - 2026

Цвет обложки: зелёный с графиком

ISBN: ISBN 978-985-03-3770-2

Допущено Министерством образования Республики Беларусь

Глава 3. Линейные уравнения. Линейные неравенства. Линейная функция. Параграф 15. Линейные уравнения с одной переменной - номер 3.52, страница 158.

№3.52 (с. 158)
Условие. №3.52 (с. 158)
скриншот условия
Алгебра, 7 класс Учебник, авторы: Арефьева Ирина Глебовна, Пирютко Ольга Николаевна, издательство Народная асвета, Минск, 2022, зелёного цвета, страница 158, номер 3.52, Условие

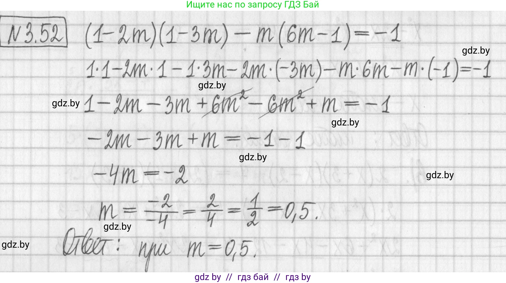
3.52. Найдите значение переменной, при котором разность значений выражений $(1-2m)(1-3m)$ и $m(6m-1)$ равна $-1$.

Решение. №3.52 (с. 158)
Алгебра, 7 класс Учебник, авторы: Арефьева Ирина Глебовна, Пирютко Ольга Николаевна, издательство Народная асвета, Минск, 2022, зелёного цвета, страница 158, номер 3.52, Решение
Решение 2. №3.52 (с. 158)

Согласно условию, разность значений выражений $(1 - 2m)(1 - 3m)$ и $m(6m - 1)$ равна $-1$. Чтобы найти значение переменной $m$, составим и решим уравнение:

$(1 - 2m)(1 - 3m) - m(6m - 1) = -1$

Раскроем скобки в левой части уравнения. Сначала перемножим два двучлена:

$(1 \cdot 1 - 1 \cdot 3m - 2m \cdot 1 + 2m \cdot 3m) - (m \cdot 6m - m \cdot 1) = -1$

$(1 - 3m - 2m + 6m^2) - (6m^2 - m) = -1$

Приведем подобные слагаемые в первых скобках:

$(1 - 5m + 6m^2) - (6m^2 - m) = -1$

Теперь раскроем вторые скобки. Так как перед ними стоит знак минус, знаки всех слагаемых внутри скобок изменятся на противоположные:

$1 - 5m + 6m^2 - 6m^2 + m = -1$

Приведем подобные слагаемые. Члены $6m^2$ и $-6m^2$ взаимно уничтожаются.

$1 + (-5m + m) = -1$

$1 - 4m = -1$

Перенесем число 1 из левой части уравнения в правую, изменив его знак:

$-4m = -1 - 1$

$-4m = -2$

Чтобы найти $m$, разделим обе части уравнения на $-4$:

$m = \frac{-2}{-4}$

$m = \frac{1}{2}$

Поскольку полученная дробь $\frac{1}{2}$ является правильной, выделить целую часть из нее невозможно (целая часть равна 0).

Ответ: $\frac{1}{2}$

Помогло решение? Оставьте отзыв в комментариях ниже.

Присоединяйтесь к Телеграм-группе @gdz_by_belarus

Присоединиться

Мы подготовили для вас ответ c подробным объяснением домашего задания по алгебре за 7 класс, для упражнения номер 3.52 расположенного на странице 158 к учебнику 2022 года издания для учащихся школ и гимназий.

Теперь на нашем сайте ГДЗ.ТОП вы всегда легко и бесплатно найдёте условие с правильным ответом на вопрос «Как решить ДЗ» и «Как сделать» задание по алгебре к упражнению №3.52 (с. 158), авторов: Арефьева (Ирина Глебовна), Пирютко (Ольга Николаевна), учебного пособия издательства Народная асвета.